|
X Coloquio Internacional de Geocrítica
DIEZ AÑOS DE CAMBIOS EN EL MUNDO, EN LA GEOGRAFÍA Y EN LAS CIENCIAS SOCIALES, 1999-2008 Barcelona, 26 - 30 de mayo de 2008 |
Antonio Gómez Ortiz*, Ferran Salvador Franch*, José Juan Sanjosé Blasco**,
David Palacios Estremera***, Lothar Schulte* & Alan Atkinson Gordo**
*Universidad de Barcelona, **Universidad de Extremadura
***Universidad Complutense de Madrid
Evolución morfodinámica de un enclave montañoso recién deglaciado: el caso del Corral del Veleta (Sierra Nevada), ¿consecuencia del Cambio Climático? (Resumen)
El Corral del Veleta (Sierra Nevada. España) cobija en su seno y bajo manto detrítico hielo glaciar fósil y permafrost alpino, restos, como mínimo, de la Pequeña Edad del Hielo (siglos XV/XIX). En la actualidad, estas masas heladas se encuentran en proceso de degradación. Los análisis y controles que desde 2001 se vienen llevando a cabo en un glaciar rocoso incipiente instalado en el tercio oriental del Corral del Veleta muestran procesos continuados de subsidencia de su manto detrítico, apoyado sobre las masas heladas referidas. La merma del manto nival durante el verano, las aguas de fusión y el grado de penetración de la onda de radiación externa en el suelo, son parámetros clave que explican este mecanismo de subsidencia, que podría estar relacionado con variaciones climáticas que vienen detectándose desde hace décadas.
Palabras clave: degradación, España, glaciar rocoso, hielo glaciar fósil, permafrost, Sierra Nevada, subsidencia
Morphodynamic evolution in recent deglaciated high mountain areas: The case of the Veleta Cirque, Sierra Nevada. Consequence of climate change? (Abstract)
Dead ice and alpine permafrost in the Veleta cirque are remnants of the environmental conditions during the Little Ice Age (15th to 19th century). Topographic control and thermal monitoring of the Veleta cirque rock glacier indicate the degradation of dead ice and discontinuous permafrost since 2001. This degradation triggers the subsidence of the overlying detritus cover. Snow cover, thawing water and propagation of external radiation are the main factors of the subsidence of the detritus and may be related to climate variability, especially to the global warming after the Little Ice Age.
Key words: Degradation, Spain, rock glacier, dead ice, permafrost, Sierra Nevada subsidence.
Sierra Nevada compone un espacio montañoso singular en el conjunto de las montañas de la península Ibérica, en particular por haber cobijado en sus cabeceras de barrancos (“hoyas”, “corrales”) los focos glaciares históricos más meridionales de Europa. De ellos, el del Corral del Veleta, que perduró hasta bien entrado el siglo XX y del que aún se conservan hielos y bolsas de permafrost en estado de degradación atrapadas bajo manto de clastos. Desde la perspectiva glaciológica este reducto es un enclave de reciente deglaciación sumido, en la actualidad, a un proceso acelerado de fusión de sus últimos restos de masas heladas. El artículo que se presenta tiene como objetivo principal explicar el origen de estas masas heladas, mostrar su evolución física y plantear, a partir de datos de campo recopilados desde 2001, las causas y procesos de su degradación.
El glaciarismo de Sierra Nevada
La variabilidad climática cuaternaria tuvo un significado geomorfológico importante en los principales sistemas montañosos de las latitudes medias y el desarrollo de glaciares fue una de sus manifestaciones más relevantes. En el caso de las montañas europeas, Sierra Nevada, instalada en el sureste de la península Ibérica (37º de latitud norte) y con orientación este-oeste, constituyó su foco más meridional. Sus principales sistemas glaciares quedaron relegados en los tramos más elevados de la montaña, concentrándose en las cabeceras de los barrancos, pues así lo manifiestan las formas de relieve labradas (figura 1).
Los sistemas glaciares de Sierra Nevada se extendieron desde el cerro de Trevelez (2877 m) hasta el cerro del Caballo (3011 m), que es donde los cordales cimeros sobrepasan los 3000 m (Mulhacén, 3482 m; Veleta, 3398 m; Alcazaba, 3366 m). Las lenguas glaciares fueron de corto recorrido y no parece probable que sobrepasaran los 15 km. Los análisis realizados en diferentes registros glaciares (morfológicos y sedimentológicos) tienden a mostrar la posibilidad de que la Sierra fuera afectada por más de una glaciación (Gómez Ortiz et al., 2002). Por lo que respecta a la desaparición generalizada de los glaciares hay que señalar que se fijaría a partir de los 15000 BP, que es cuando los hielos quedaron encerrados en el seno de los circos. Los primeros estudios sobre el glaciarismo cuaternario de Sierra Nevada debieron iniciarse a mediados del siglo XIX y se han venido prolongando de manera sostenida hasta nuestros días (Schimper, 1848; Obermaier, 1916; García Sainz, 1942; Messerli, 1965; Gómez Ortiz et al. 1992: etc.).
Figura 1
Hoya del Mulhacén, antigua cabecera glaciar
Fuente: Gómez Ortiz, 2000
El glaciarismo histórico o de la Pequeña Edad del Hielo
Históricamente Sierra Nevada, como otros núcleos de montañas de la península Ibérica –Pirineos y Picos de Europa, por ejemplo- también fue afectada por la denominada Pequeña Edad del Hielo (siglos XV/finales del XIX), lo que vendría a confirmar que tal pulsación climática, con muy tenue repercusión en los modelados de la Sierra, igualmente afectó al extremo suroeste de Europa.
De tales condiciones climáticas se tiene constancia a partir de la información que se desprende de los documentos de época, a partir del siglo XVII, aunque también de aquellos otros anteriores de procedencia árabe (Torres Palomo 1967-1968), pues todos ellos vienen a coincidir en la existencia de hielos y nieves permanentes en las cumbres de Sierra Nevada. Al respecto, dos referencias significativas vienen a mostrarlo. Bermúdez de Pedraza (1638) señala: “Y no podía faltarle el agua en ella, si ha conservado la nieve que le envió el cielo después del Diluvio”. Y en el siglo siguiente Fernández Navarrete (1734): “Allí (se refiere al corral y picacho del Veleta) hizo la naturaleza un pozo perpetuo, de donde se provee todo el año de nieve no solo una ciudad tan populosa, sino que se lleva de allí para otras partes de Andalucía sin que hay miedo de que jamás se acabe”.
Una de las conclusiones más relevantes a las que se llega tras analizar el contenido de esta interesante información de época es la existencia de focos glaciares aislados en las cumbres de la Sierra, recluidos en concavidades de los antiguos circos y que debieron mantenerse, algunos de ellos, hasta bien entrado el siglo XX (Gómez Ortiz & Plana, 2006). Acerca de estos datos, los de mayor relevancia, por sus precisiones y abundancia de escritos, se refieren a la cabecera del barranco del Guarnón, antiguo circo glaciar que coincide con el Corral del Veleta, donde quedó alojado el glaciar más extenso y duradero de la Sierra. De sus características morfológicas y naturaleza de sus nieves se ocupó Ponz (1754): “… caxon ambicioso de nieve, que se cree guarda la primera que cayó después del Diluvio, reducida a piedra, pues estando descubierto hacia el norte aquí es yelo lo que es nieve en otros lugares…”. Y décadas más tarde Boissier (1845), que, tras calificarlo como diminuto glaciar alpino, señaló: “Tiene la peculiaridad de ser el único en toda la Sierra y el más meridional de Europa: debe su formación a su posición, en el fondo de un circo abrigado y dominado en todas partes por altas cumbres donde las tormentas barren la nieve en invierno”.
Instalados en el siglo XX la masa de hielo glaciar encerrada en el Corral del Veleta redujo progresivamente extensión quedando arrinconada, cada vez más, hacia el declive del cerro de los Machos, pues así se puede deducir de la noticia de García Sainz (1947) que fija la masa helada en las inmediaciones de la laguna del Corral: “La misma superposición estratigráfica de capas de nieve y de hielo azulado que se observa en los glaciares actuales del pirineo se presenta en este del Penibético”. En la actualidad no existe rastro visible de este glaciar histórico pero si masas heladas (hielo glaciar y permafrost) atrapadas bajo manto de clastos (Gómez Ortiz et al. 1999).
El Corral del Veleta: particularidad geográfica
El Corral del Veleta forma parte de la cabecera del barranco del Guarnón. Está situado en la cara norte de Sierra Nevada, al pie del picacho del Veleta (3392 m), entre el cerro de los Machos (3374 m) y la cresta de los Lastrones (figura 2). En su conjunto conforma un cuenco ovalado abierto al noreste y labrado en bancos de micasquistos feldespáticos de distinta naturaleza y resistencia. Su base, inclinada hacia el oeste, coincide con una repisa estructural (“vasar”) colmada de clastos que, en dirección sur, entra en contacto con la pared vertical del picacho del Veleta y hacia el norte, con un espeso cordón morrénico frontolateral que la aísla del valle. El Corral del Veleta tiene una longitud (W-E) superior a los 600 m y una anchura (S-N) que oscila entre los 175 y 250 m. Su desnivel es del orden de los 250-300 m, fijándose su cota más baja en los 3050 m.
Figura 2
El Corral del Veleta, en la cabecera del barranco del Guarnón
Fuente: Gómez Ortiz, 1995
La orientación y altitud del Corral del Veleta contribuyeron a que el foco glaciar formado durante la Pequeña Edad del Hielo perdurara hasta fechas muy cercanas, pues a finales del siglo XIX el cuenco aún permanecía colmado de masas de hielo y nieves (Bide, 1893) (figura 3) y parcialmente hasta bien sobrepasada la primera mitad del siglo XX (Quelle, 1908; Obermaier, 1916; Solé Sabarís,1942 y Messerlí, 1965). En la actualidad no existe rastro visible del glaciar aunque si persisten neveros o ventisqueros de fusión tardía en su base y pequeñas placas de hielo permanente atrapadas en las paredes del tajo del Veleta. La presencia de estos cuerpos helados, a los que hay que añadir el ya aludido hielo glaciar y permafrost enterrado bajo escombro detrítico, se explican a partir del proceso de deglaciación que debió sufrir el glaciar y que, una vez encerrado en su cuenco, se caracterizó por evolucionar sucesivamente de glaciar blanco a glaciar negro y de éste a hielo glaciar fósil y permafrost (Gómez Ortiz et. al. 2003, 2004).
Figura 3
Croquis orográfico de las cumbres de Sierra Nevada y glaciar del Corral del Veleta
Fuente: Bide, 1893
Evolución física de las masas heladas del Corral del Veleta
Fue a finales del mes de agosto de 1995 cuando la totalidad del cuenco del Corral del Veleta se mostró sin rastro de nieve, lo que permitió analizar en detalle los modelados más recientes de su tercio más oriental y emitir la hipótesis de la existencia de masas heladas atrapadas en profundidad, detectadas a partir de prospección geofísica (cuadro 1).
Cuadro 1
Resistividades extremas (Ohm/m) en diferentes sectores de la
base del Corral (Terradat LTD & ETH, 1998)

La constatación de la hipótesis se realizó en agosto de 1999 y, al tiempo, la determinación del área afectada por tales masas heladas subyacentes, que coincidió en el tercio más oriental del surco basal cubriendo una superficie planimétrica que podría situarse en torno a las 2 ha . (figura 4).
Figura 4
Dominio de las masas heladas en el tercio oriental del Corral del Veleta

La presencia de estas masas heladas enterradas (mezcolanza de hielo fósil y permafrost) se interpretan como restos del glaciar histórico que colmó el Corral del Veleta y que, iniciada su deglaciación y ya encerrado en su cuenco, tendió a arrinconarse paulatinamente hacia la ladera del cerro de los Machos, al tiempo que los hielos se cubrían de clastos procedentes de derrumbes de la propia pared del Corral. Una muestra del techo de estas masas heladas, identificado a partir de -120 cm en el tramo medio de un incipiente glaciar rocoso, fue extraída tras perforación mecánica del manto de clastos que la cubría (Gómez Ortiz et al. 2004). A partir de entonces, agosto de 2001, y con la finalidad de determinar la evolución térmica de la capa activa y movimiento del manto de clastos se vienen realizando sistemáticamente diferentes registros de control, que a continuación se describen.
Registros de control e instrumentación
Los diferentes registros de control son:
- Evolución térmica de la capa activa.
- Evolución del movimiento del paquete clástico que recubre a la masa helada.
- Evolución del manto nival en el suelo durante el verano
En cuanto a la instrumentación y metodología particular que se utiliza conviene señalar:
Evolución térmica de la capa activa
El control de la temperatura de la capa activa se lleva a cabo a través de una cadena de sensores térmicos de registro continuo tipo UTL-1 (3 unidades, a -15/-20 cm, -40/-50 cm y -90/100 cm) (figura 5). Esta cadena, convenientemente aislada, está instalada en el seno de la perforación abierta que sirvió para la extracción del testigo helado ya mencionado. Los controles son anuales, a finales de agosto, y se tratan estadísticamente (periodo: agosto 2001-agosto 2007).
Figura 5
Sensor térmico tipo UTL-1
Fuente: Salvador Franch, 2006
Cuadro 2
Temperatura media mensual a diferentes profundidades y número de días con temperatura media positiva (2002-2007)

Evolución del movimiento del paquete clástico que recubre a la masa helada
Se detecta a través del seguimiento de 27 puntos fijos (varillas metálicas de 80-120 cm) instalados sobre la superficie de un incipiente glaciar rocoso asentado sobre masas heladas (figura 6). Es en este mismo glaciar rocoso donde también se llevan a cabo los controles térmicos descritos en el anterior apartado. La distancia recorrida por los puntos fijos (planimétrica y altimétrica) se obtiene a través de protocolos topográficos, GPS y fotogramétricos (Sanjosé et al., 2007). Los controles son anuales, a finales de agosto, y se tratan estadísticamente (periodo: agosto 2001-agosto 2007).
Figura 6
Testigo fijo instalado sobre la superficie del glaciar rocoso
Fuente: Gómez Ortiz, 2004
Evolución del manto nival en el suelo durante el verano
Se realiza a partir del análisis y tratamiento informatizado de fotografías panorámicas del conjunto del Corral del Veleta y de su base (figura 7). Éstas se obtienen con cámara digital desde puntos fijos (mirador del Corral: panorámica oblicua; borde el picacho del Veleta: panorámica cuasivertical). Las diferentes tomas son anuales, a finales de agosto (periodo: agosto 2001-agosto 2007).
Figura 7
Manto nival cubriendo el Corral del Veleta
Fuente: Gómez Ortiz, 2001
Resultados de los controles (periodo 2001-2007)
Los diferentes controles llevados a término durante el periodo 2001-2007 han mostrado los resultados que a continuación se describen.
Evolución térmica de la capa activa
La temperatura de la capa activa del glaciar rocoso se ha venido controlando en su tramo medio (3.107 m), a distintas profundidades, de manera continua y a intervalos de cada 4 horas (cuadro 2). De la información suministrada, desde 2001, la de mayor interés por su continuidad es la de los niveles -15/-20 cm, -40/-50 cm y -90/-100 cm. A continuación se ofrecen los valores medios (ºC) así como el número de días con temperatura positiva. El periodo seleccionado corresponde a los meses de mayo-agosto (mayo, por ser cuando se inicia la fusión de la nieve en el suelo y agosto, por realizarse durante su última semana los diferentes controles topográficos y de nieves). Los valores, en su conjunto, permiten apreciar en el tiempo la progresión de la onda térmica de radiación en el suelo.
Evolución del movimiento del paquete clástico que recubre a la masa helada
Los testigos fijos instalados sobre el glaciar rocoso (altitud media: 3.106 m; dimensiones: 129,6 m de longitud, 37,5 m de anchura, 8 m de espesor medio y una superficie planimétrica en torno a los 4860 m2) se han distribuído cubriendo el tramo frontal, medio y final del mismo (en total 27 puntos). El control de la evolución del movimiento del paquete clástico ha permitido distinguir el desplazamiento planimétrico, a favor de la pendiente, y el desplazamiento altimétrico, hundimiento-ascenso. Los resultados anuales de cada uno de los puntos fijos durante el periodo de observación se ofrecen en el cuadro 3 donde se distinguen mayores rangos de valor altimétrico (hundimiento) que planimétrico (avance a favor de pendiente).
Cuadro 3
Control de desplazamiento anual de los testigos fijos
Evolución del manto nival en el suelo durante el verano
La evolución del manto nival en la base del Corral del Veleta se ha seguido a través de fotografía digital desde puntos fijos. Las imágenes más representativas son las de los últimos días del mes de agosto, que es cuando la nieve en el suelo cubre menor superficie. Las diferentes tomas se han realizado desde el mirador del Corral ( 3139 m , visión oblicua) y picacho del Veleta ( 3398 m , visión cuasivertical). Respecto al sector estudiado (tercio más oriental del cuenco del Corral) los resultados más relevantes para el periodo analizado se ofrecen en el cuadro 4.
Cuadro 4
Cobertura del manto nival (tercio oriental
del
corral
del Veleta, final de agosto)

Interpretación
La idea central que deseamos desarrollar es que la masa helada atrapada bajo material clástico (hielo glaciar y permafrost) pudiera encontrarse en proceso de degradación y para ello se toma como modelo la evolución física del incipiente glaciar rocoso de la laguna del Corral del Veleta, ya descrito, y de él su ritmo térmico de la capa activa y los movimientos a que está sumido, en particular el de subsidencia. El punto de partida para defender esta idea central hay que situarlo en la época en que el glaciar histórico del Corral del Veleta quedó arrinconado en su circo –en el tercio oriental- y cubierto de clastos procedentes de la destrucción de la pared limítrofe del propio Corral, acontecimientos que probablemente debieron suceder a partir de la segunda mitad del siglo XX (Gómez Ortiz et al, 2004).
Grado de penetración de la radiación en el suelo
El control térmico ha permitido conocer la eficacia de la radiación térmica exterior y su grado de penetración en el suelo (capa activa). Los datos referidos en el cuadro 2, que aglutinan a los meses postnivales y cálidos, muestran que los valores positivos alcanzan con seguridad hasta los -90/100 cm, lo que significa suministro de cierto grado de energía calorífica en el techo de las masas heladas, el suficiente como para propiciar procesos de fusión temporales durante los meses respectivos. Pero la mayor eficacia de estos hechos se alcanza en julio-agosto, que es cuando es mayor la acumulación térmica en los niveles más profundos del suelo. En cuanto a la evolución interanual de este ritmo térmico, ejemplificado en el número total de días con temperatura positiva, resulta desigual, como lo refleja el periodo 2001-2004 frente al 2004-2007 (cuadros 2 y 4).
Subsidencia de la masa clástica del glaciar rocoso
La lectura de los datos del cuadro 3 viene a mostrar dos hechos relevantes relativos al movimiento de la masa clástica: mayores desplazamientos verticales que planares, tal como se recoge en el resumen del cuadro 5. Este hecho permite calificar al glaciar rocoso como de decrépito o cuasi inactivo (0,746 m de desplazamiento a favor de la pendiente, frente a 2,107 m de subsidencia), lo que pone de manifiesto el escaso cometido impermeabilizante de las masas heladas en las que está asentado ante la llegada de las aguas de fusión que circulan en el seno del paquete clástico suprayacente. Los datos térmicos, ya comentados, vienen a confirmarlo, en particular el número de días con temperatura positiva que se extienden, sobre todo, durante julio y agosto.
Cuadro 5
Valores medios anuales de los desplazamientos

Irregularidad del manto nival en el suelo
La cobertura de nieve en el suelo se ha mostrado como eficaz regulador térmico por lo que se refiere a las temperaturas en el seno de la capa activa (Lewkowicz, 1987) o permafrost (Ishikawa, 2003). Los diferentes valores de recubrimiento (cuadro 4) resultan coherentes con la eficacia de la penetración de la radiación térmica exterior (cuadro 2) y con el grado de desplazamiento planar y vertical de la masa detrítica del glaciar rocoso (cuadro 5). En síntesis hay que señalar que a mayor recubrimiento nival del suelo menor grado de desplazamiento del manto clástico y menores valores de temperaturas en el seno del suelo. De nuevo estos hechos quedan reflejados en los periodos estudiados: 2001-2004 frente al 2004-2007 y, de manera muy relevante, entre el 2003-2004, con grado de recubrimiento superior al 50 por ciento y el 2004-2005, con ausencia de manto nival (figuras 8 y 9).
Figuras 8 y 9
Recubrimiento nival en el Corral del Veleta durante agosto de 2004 y agosto de 2005, respectivamente
|
![]() |
Fuente: Gómez Ortiz
Discusión: procesos físicos en cascada
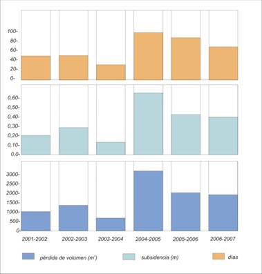
El análisis y contraste de los resultados obtenidos denota estrechas relaciones entre la superficie de nieve cubriendo el suelo, la temperatura de la capa activa y la magnitud del movimiento de la masa clástica, en particular el vertical negativo (subsidencia), lo que permite interpretar estos hechos como la respuesta a una sucesión de procesos físicos en cascada iniciados a partir de la radiación solar incidente en el suelo. Pero, además, todos estos resultados también facilitan la aproximación al cálculo de pérdida de volumen de masa helada en la que se asienta el glaciar rocoso. Este cálculo se ha realizado teniendo en cuenta la superficie planimétrica que cubre el referido glaciar rocoso y el movimiento vertical negativo medio detectado (hundimiento). Los resultados anuales de todos los parámetros indicados se reflejan en el cuadro 6. De ellos y como modelo de comportamiento significativo se ofrecen en detalle los periodos 2003-2004 y 2004-2005, en los que se visualiza con mayor nitidez la relación entre subsidencia del paquete clástico, recubrimiento nival del suelo, número de días con temperatura positiva y pérdida de volumen de masas heladas subyacentes (cuadro 7).
Cuadro 6
Comparación anual de valores obtenidos (2001-2007)

Cuadro 7
Relación de valores extremos (2003-2004/2004-2005)

Por lo que se refiere al periodo 2003-2004 (cuadro 7) la cobertura nival en agosto resultó máxima (>50 por ciento), consiguiendo mitigar el efecto térmico de la radiación externa en profundidad (en total 26 días con temperatura positiva a –90/-100 cm). La respuesta a todo ello fue una merma de volumen de 651 m3 (subsidencia media de 0,134 m). En el extremo opuesto a la situación anterior se encuentra el periodo 2004-2005 que ofrece los máximos valores de pérdida. En este caso la ausencia de nieve fue total en agosto y considerable desde mayo (cuadro 2), a tenor de los datos térmicos de -15/-20 cm y –90/-100 cm, (en total 105 días con valores positivos). Estas circunstancias propiciaron una muy eficaz propagación de la onda térmica de radiación en el seno de la capa activa con resultados medios de subsidencia de 0,655 m, (equivalentes a 3.183 m3 de pérdida de volumen de masa helada).
La interpretación de estos datos viene a confirmar las experiencias de Haeberli et al., (1997) en los Alpes y, recientemente, las de Harris et al. (2003) y Schiermeir (2003) en otras montañas europeas con permafrost en sus laderas, y que concluyen en resaltar el papel protector que tiene el manto nival en el control del movimiento del suelo. En nuestro caso debemos señalar, de acuerdo con las experiencias referidas, que las masas heladas en las que se asienta el glaciar rocoso (hielo glaciar fósil y permafrost colindante) han de encontrarse sumidas en procesos de degradación avanzado (fusión y/o merma de compacidad), de acuerdo con el grado de eficacia de la onda térmica y de las aguas de fusión internas que llegan hasta el techo de ellas, aunque resulte variable según la relación que se establezca entre la radiación solar incidente en el suelo y la merma que de ella pudiera realizar el manto nival por efecto albedo (figura 10).
Resalta igualmente en esta explicación de procesos físicos en cascada la acusada diferencia de magnitud que se opera en el desplazamiento del glaciar rocoso, en particular entre los valores de dirección planar frente a los de dirección vertical: 0,746 m, frente a -2,107 m, respectivamente (cuadro 5). La conclusión más tajante es que el incipiente glaciar rocoso tiende a su inmovilización y a su progresiva subsidencia, al contrario de lo que viene sucediendo en aquellos otros de los Alpes (Frauenfelder et al., 2003). Para nuestro caso la razón principal podría residir en dos hechos: ausencia de cuerpos helados en el seno de su paquete clástico (así lo indican las temperaturas positivas hasta los -100 cm, cuadro 2) y eficacia de las aguas de fusión de las nieves en su contacto con las masas heladas subyacentes. El primero de ellos limitando plasticidad al paquete clástico, es decir movilidad planar y, el segundo, contribuyendo a la degradación del techo de los hielos glaciares fósiles y permafrost colindante, es decir movilidad vertical (subsidencia).
Figura 10
Relaciones pérdida de volumen de masa helada, subsidencia del manto clástico y
días con temperatura positiva

Conclusiones
El Corral del Veleta responde al modelo morfogenético de enclave montañoso recién deglaciado en el que los procesos paraglaciares y periglaciares cobran especial relevancia. En 1999 pudo comprobarse que en su tercio más oriental aún existían restos de hielos de la Pequeña Edad del Hielo (Gómez et al., 2003) bajo escombro detrítico caído de la pared que enmarca al propio cuenco del Corral. El mantenimiento de este hielo glaciar fósil hasta nuestros días se explica por el efecto combinado de amortiguador térmico que ejerce el manto detrítico que lo recubre y las nieves que perduran en el suelo hasta entrado el verano. Sin embargo, en los últimos años, a causa de la frecuente desaparición de la nieve en el estío, estos efectos son cada vez más limitados por lo que la radiación externa tiende a propagarse en el seno de la capa activa hasta alcanzar el techo de las masas heladas, a partir de una serie de procesos físicos en cascada (figura 11).
Figura 11
Procesos físicos en cascada
Los resultados de los controles realizados desde 2001 (inestabilidad del glaciar rocoso, evolución térmica de la capa activa y duración del manto nival en verano), vienen a demostrar degradación continuada -pérdida de volumen- del hielo glaciar fósil y del permafrost colindante en el que se asienta el glaciar rocoso monitorizado y, por extensión, también, del resto de masas heladas que guarda bajo mantos de clastos el Corral del Veleta en su tercio más oriental, con lo que, presumiblemente, nos situaríamos en la fase final de la total deglaciación histórica del Corral.
El periodo de observación es limitado para obtener conclusiones sólidas de carácter climático. Sin embargo, los resultados acumulados durante estos años y las observaciones que venimos haciendo de la permanencia de los neveros de fusión tardía en las cumbres de Sierra Nevada desde hace ya décadas nos permiten plantearnos una serie de reflexiones acerca del comportamiento actual del clima (figura 12). Al respecto, no resulta aventurado afirmar que las actuales condiciones climáticas que dominan los tramos cimeros de Sierra Nevada no resultan favorables al mantenimiento permanente de la nieve en el suelo, bien porque los valores de las temperaturas sean superiores a los que se registraban durante periodos anteriores (fig. 12A), bien porque la innivación ha venido mermando (figura 12B), bien porque coinciden ambos supuestos (figura 12C), o bien porque los regímenes termopluviométricos en la Sierra han sufrido variaciones en su comportamiento temporal estacional (figura 12D).
Figura 12
Tendencia climática en Sierra Nevada (hipótesis de trabajo)

Lo cierto es que desde finales de la década de los setenta del siglo pasado, que es cuando empezamos a analizar la permanencia de la nieve en el suelo, el tiempo de su duración es cada vez menor, a juzgar por el comportamiento de los neveros de fusión tardía: tendencia a la escasez, progresivo refugio en cotas cada vez más elevadas y predilección por enclaves topográficos al resguardo de la radiación (Gómez Ortiz et al. 2008). Acontecimientos, todos ellos, que, contemplados en los Alpes, se traducen en un aumento de las temperaturas del aire (Kääb et al., 2007) con repercusión en el incremento de la movilidad de muchos de sus glaciares rocosos (Ikeda et al., 2003; Roer et al., 2005).
Desconocemos el inicio de esta situación climática adversa al mantenimiento de la nieve durante el verano en el suelo, estudios más precisos deberán ocuparse de ello, pero desde la perspectiva glaciológica ya podría resultar efectiva a partir finales del siglo XIX o comienzos del XX y, más aún, ya instalados en la segunda mitad del mismo siglo (Solé Sabarís, 1942; García Sainz, 1947), que es cuando el glaciar histórico de la Pequeña Edad del Hielo del Corral del Veleta reduce aceleradamente extensión y pasa definitivamente de ser un diminuto glaciar blanco inmovilizado a glaciar negro y rápidamente éste a recluirse en su tercio más oriental bajo manto de derrubios (Gómez Ortiz et al., 2004).
A la vista de todos estos hechos y teniendo en cuenta la sensibilidad de las montañas a las variaciones del clima, en particular aquellas de latitudes medias de reciente deglaciación, como ocurre en esta parte del extremo occidental del Mediterráneo, la experiencia llevada a cabo nos anima a plantear la hipótesis de que la degradación de las masas heladas atrapadas en el tercio más oriental del Corral del Veleta, junto al cerro de los Machos, pudiera estar relacionada con variaciones recientes del clima de Sierra Nevada (fig. 10) y, quizá, todo este proceso acelerado últimamente por los efectos del denominado Cambio Climático, aunque la limitación de datos disponibles hoy nos aconseja a ser prudentes, en particular en nuestro último planteamiento.
Agradecimiento
Al proyecto 018/2007 de Parques Nacionales, del Ministerio de Medio Ambiente. También al del Ministerio de Educación y Ciencia (CICYT), SEG2005-00504/GEOG. Igualmente al Dr. José M. Raso Nadal, por sus sugerencias y revisión en las cuestiones de contenido climático. Y a David Serrano Giner, por su buen hacer en la parte gráfica.
Bibliografía
BERMÚDEZ DE PEDRAZA, F. (1638). Historia eclesiástica de Granada . Edición facsimil. Granada: Universidad de Granada, 1989.
BIDE, J.B. Deuxième Excursion dans la Sierra Nevada. Annuaire du Club Alpin Français, 1893, vol. XX, p. 276-305.
BOISSIER, C.E. (1845). Voyage botanique dans le midi de l´Espagne pendant l´anné 1837 . Versión española en “Viaje botánico al sur de España durante el año 1837” . Granada: Fundación Caja de Granada y Universidad de Málaga, 1995.
FERNÁNDEZ NAVARRETE, F. (1732). Cielo y Suelo Granadino . Transcripción, edición, estudio e indicies por A. Gil Albarracín. Almería-Barcelona: GBG. Editora, 1997.
FRAUENFELDER, R.; HAEBERLI, W. & HOELZLE, M. Rockglacier ocurrence and related terrain parameters in a study area of the eastern Swiss Alps. 8 th International Conference on Permafrost. Zürich: Swets & Zeitlinger, Lisse, 2003, p. 253-258.
GARCÍA SAINZ, L. El glaciarismo cuaternario en Sierra Nevada. Estudios Geográficos, 1942, vol. IV, p. 233-254.
GARCÍA SAINZ, L. El clima de la España cuaternaria y los factores de su formación. Valencia: Universidad de Valencia,Secretariado de Publicaciones,1947.
GÓMEZ ORTIZ, A.; SÁNCHEZ GÓMEZ, S.; SIMÓN TORRES, M.; SALVADOR FRANCH, F. & ESTEBAN AMAT, A. Síntesis de la morfología glaciar y periglaciar en Sierra Nevada. Estudios de Geomorfología en España . Murcia: SEG-Universidad de Murcia, 1992, p. 379-392.
GÓMEZ ORTIZ, A.; SCHULTE, L.; GARCÍA NAVARRO, A. & PALACIOS ESTREMERA, D. Sobre la existencia de permafrost en Sierra Nevada. Significado geomorfológico y paleoclimático. Avances en el estudio del Cuaternario español . Girona: AEQUA-Universitat de Girona, 1999, p. 181-186.
GÓMEZ ORTIZ, A. (Coordinator) Geomorphological Map of Sierra nevada. Glacial and periglacial Geomorphology. Granada: Junta de Andalucia, Consejería de Medio Ambiente, 2002.
GÓMEZ ORTIZ, A.; PALACIOS ESTREMERA, D.; LUENGO, E.; TANARRO, L.M.; SCHULTE, L. & RAMOS, M. Talus instability in a recent deglaciation area and its relationship to buried ice and snow cover evolution (picacho del Velet a. Sierra Nevada, Spain). Geographiska Annaler , 2003, 85A (2), p. 165-182.
GÓMEZ ORTIZ, A.; SCHULTE, L.; SALVADOR FRANCH, F.; PALACIOS ESTREMERA, D.; SANJOSÉ BLASCO, JJ. & ATKINSON GORDO, A. Deglaciación reciente de Sierra Nevada. Repercusiones morfogénicas, nuevos datos y perspectivas de estudio futuro. Cuadernos de Investigación Geográfica , 2004, nº 30, p. 147-168.
GÓMEZ ORTIZ, A. & PLANA CASTELLVÍ, J.A. La Pequeña Edad del Hielo en Sierra Nevada a partir de los escritos de época (siglos XIII-XIX) y su relación con el progreso de la geografía física y geomorfología española. Boletín de la Asociación de Geógrafos Españoles , 2006, nº 42, p. 71-98.
GÓMEZ ORTIZ, A.; SALVADOR FRANCH, F.; SANJOSÉ BLASCO, JJ.; PALACIOS ESTREMERA, P.; SCHULTE, L. & ATKINSON GORDO, A. Degradación de hielo glaciar fósil y permafrost en Sierra Nevada (periodo 2001-2007). Trabajos de Geomorfología en España . Cádiz: SEG-Universidad de Cádiz (en prensa). 2008.
HAEBERLI, W.; WEGMANN, M. & VONDER MÜLL, D. Slope stability problems related to glacier shrinkage and permafrost degradation in the Alps. Eclogae Geologicae Helvetiane, 1997, 90, p. 407-414.
HARRIS, C.; VONDER MÜHLL, D.; ISAKEN, K.; HAEBERLI, W.; LUDVIG SOLLING, J.; KING, L.; HOLMLUND, P.; DRAMIS, F.; GUELMIN, M.; PALACIOS, D. Warming permafrost in European mountains. Global and Planetary Change , 2003, nº 39, p. 215-225.
IKEDA, A.; MATSOUKA, N. & KÄÄB, A. A rapidly moving small rock glacier at the lower limit of the mountain permafrost belt in the Swiss Alps. 8 th International Conference on Permafrost. Zurich: Swets & Zeitlinger, Lisse, 2003, p. 455-460.
ISHIKAWA, M. Thermal regimes at the snow-ground interface and their implications for permafrost investigation. Geomorphology, 2003, nº 52, p. 105-120.
KÄÄB, A.; FRAUENFELDER, R. & ROER, I. (2007). On the response of rockglacier creep to surface temperature increase. Global and Planetary Change , 56, p. 172-187.
LEWKOWICZ, AG. (1988). Slope processes. In Clark, MJ (Eds). Advance in Periglacial Geomorphology , John Wiley and Sans. Chichister, p. 325-368.
MESSERLI, B. (1965). Beiträge zur Geomorphologie der Sierra Nevada (Andalusien). Juris Verlag. Zürich.
OBERMAIER, H. (1916). Los glaciares cuaternarios de Sierra Nevada. Trabajos del Museo Nacional de Ciencias Naturales (Geología) , Vol. 17, p. 1-68.
PONZ, A. (1754). Relación del viaje que hizo desde Granada a Sierra Nevada D. Antonio Ponz a influxo del Excmo. Sr. Marqués de la Ensenada. Mensajero Económico y Erudito de Granada . Granada
QELLE, O. (1908). Beitragë zur Kenntnis der Spanischen Sierra Nevada . Tesis doctoral. Berlin. Universidad Friedrich-Wilhelm.
ROER, I.; KÄÄB, A. & DIKAU, R. (2005). Rockglacier acceleration in the Turtmann valley (Swiss Alps) probable controls. Norwegian Jornal of Geography , 59 (2), p. 157-163.
SANJOSÉ BLASCO, JJ.; ATKINSON GORDO, A.; SALVADOR FRANCH, F. & GÓMEZ ORTIZ, A. (2007). Aplication of geomatic techniques to monitoring of the dinamics and to maping of the Veleta rock glacier (Sierra Nevada, Spa in). Zeitschrift für Geomorphologie NF., 51, p. 78-89.
SCHIERMEIR, Q. (2003). Alpine thaw breaks ice over permafrost´s role. Nature , 424, p. 712.
SCHIMPER, P. (1848). Voyage géologique et botanique au Sud de l´Espagne . Journal de l´Institut. Paris.
SOLÉ SABARÍS, L. (1942). 2ª. Reunión de Estudios Geográficos. Estudios Geográficos , 9, p. 687-726.
TERRADAT LTD & ETH, (1998). Geophysical Survey réport. Permafrost Investigation Veleta & Mulhacén . Sierra Nevada. PACE.
TORRES PALOMO (1967-1968). Sierra Nevada en los escritores árabes. Miscelánea de Estudios Árabes y Hebraicos. Vol. XVI-XVII, p. 57-88.
Referencia bibliográfica
GÓMEZ ORTIZ, A.; SALVADOR FRANCH, F.; SANJOSÉ BLASCO, J. J.; PALACIOS ESTREMERA, D.; SCHULTE, L.; ATKINSON GORDO, A. Evolución morfodinámica de un enclave montañoso recién deglaciado: el caso del Corral del Veleta (Sierra Nevada), ¿consecuencia del Cambio Climático?. Diez años de cambios en el Mundo, en la Geografía y en las Ciencias Sociales, 1999-2008. Actas del X Coloquio Internacional de Geocrítica, Universidad de Barcelona, 26-30 de mayo de 2008. <http://www.ub.es/geocrit/-xcol/42.htm>