| Menú principal |
| Scripta Nova REVISTA ELECTRÓNICA DE GEOGRAFÍA Y CIENCIAS SOCIALES Universidad de Barcelona. ISSN: 1138-9788. Depósito Legal: B. 21.741-98 Vol. IX, núm. 182, 1 de febrero de 2005 |
EL TURNO FORESTAL,
LA PROPIEDAD DE LOS MONTES Y LA RECEPCIÓN DE LA FÓRMULA DE FAUSTMANN EN
ESPAÑA, 1849-1918
Contenido:
La
polémica sobre el turno forestal
Montes,
matemáticas y propiedad en España
El
final de una polémica
La
difusión en España de la fórmula de Faustmann
Bibliografía
Selección de textos
Anexo 1. Junta Facultativa del Cuerpo de Ingenieros de Montes. Real Decreto de 26 de octubre de 1855 para la ejecución de la Ley de 1º de mayo del mismo año en la parte relativa a la desamortización de los montes, y el informe emitido con este objeto por la Junta facultativa del Cuerpo de Ingenieros del ramo (1855).
Anexo 2. A. B. (seudónimo de Lucas de Olazábal). Montes. Cinco artículos publicados en La América acerca de este importante ramo (1862).
Anexo 3. Francisco García Martino. "Consideraciones económicas sobre la propiedad forestal" (1869).
Anexo 4. Hilarión Ruiz Amado. Estudios forestales. Los montes en sus relaciones con las necesidades de los pueblos (1872).
Anexo 5. Gustavo Heyer. Compendio de valoración de montes. Traducido del alemán y prólogo por Francisco de P. Arrillaga (1872).
Anexo 6. Federico Judeich. La ordenación de montes (1913).
Anexo 7. “Monte”. Enciclopedia Universal Europeo-Americana Espasa-Calpe (1918).El turno forestal, la propiedad de los montes y la recepción de la fórmula de Faustmann en España, 1849-1918 (Resumen)
La cuestión del turno forestal óptimo fue un tema ampliamente debatido por los forestales europeos durante el siglo XIX y que todavía en la actualidad continúa generando polémica. Una contribución importante a la solución de este problema (y el de la renta del suelo, con el que se relaciona) se debe al forestal alemán Martin Faustmann, que en 1849 publicó un artículo pionero en el exponía una fórmula matemática para su cálculo. Este artículo se convirtió, con el transcurso del tiempo, en un texto clásico de la económica forestal, en especial a partir de su "descubrimiento" por los economistas a raíz de un conocido trabajo de Samuelson de 1976.
En el presente artículo estudiamos aspectos de esta polémica, así como varios episodios de su desarrollo en España durante la segunda mitad del siglo XIX, y su relación con la propiedad de los montes, que entonces se encontraban inmersos en el proceso desamortizador. Seguidamente, rastreamos la difusión en España de la fórmula de Faustmann y como se fue incorporando al cuerpo teórico de la ciencia forestal en nuestro país.
Se ha incluido en forma de anexos diversos documentos relativos a la mencionada polémica sobre el turno forestal y a la recepción de los planteamientos de Martin Faustmann.
Palabras clave: desamortización, Faustmann, montes, Pressler, propiedad, turno forestal.En 1849 el forestal alemán Martin Faustmann publicó un artículo en la prestigiosa revista Allgemeine Forst- und Jagd-Zeitung destinado a tener una amplia repercusión para la economía forestal en el futuro. El artículo, titulado “Berechnung des Wertes welchen Waldboden sowie noch nicht haubare Holzbestände für die Waldwirtschaft besitzen” (Cálculo del valor que el suelo forestal y las existencias de madera tienen para la silvicultura), era en realidad una contestación a un escrito anterior publicado en la misma revista por otro forestal, von Gehren, en el que desarrollaba sus puntos de vista sobre la determinación del valor del suelo forestal desnudo de árboles. Faustmann discrepa de este autor, del que le separan aspectos importantes, en especial sobre el método de cálculo, en los que se muestra partidario de utilizar la fórmula del interés compuesto, un tema polémico en aquella época pues muchos forestales alemanes, entre los que se encontraba von Gehren, preferían la fórmula del interés simple o fórmulas mixtas para sus cálculos económicos.
Señala también Faustmann que su cálculo del valor del suelo forestal se refiere exclusivamente a su uso para finalidades silvicultoras. Asimismo, señala que la solución completa desde el punto de vista de la silvicultura debe tener en cuenta el valor de las existencias todavía inmaduras, es decir, de los árboles que todavía no han alcanzado su edad de cortabilidad, y que este valor no debe calcularse referido al presente sino por el valor que alcanzarán en el futuro, cuando lleguen a la edad de corta, es decir, por el valor que les confiere su pertenencia a un sistema de explotación selvícola.
La importancia de encontrar la solución adecuada a esta cuestión era grande, según este autor, pues permitía obtener el valor económico del suelo forestal aplicable a casos como las expropiaciones de montes o la destrucción de bosques a consecuencia de incendios, plagas o determinadas actividades humanas. Pero, sobre todo, la solución permitía elegir el sistema selvícola más adecuado y la determinación del turno forestal óptimo, uno de los temas centrales de la ciencia de los montes.
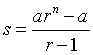
Faustmann sintetiza su solución en varias expresiones matemáticas, en las que la renta anual del suelo vendría expresada por la fórmula:
E representa el valor en efectivo de la producción final,
D, el valor de las claras (aprovechamientos intermedios) durante la rotación,
rD, el valor de los aprovechamientos intermedios al final de la rotación,
C, los gastos de plantación necesarios al principio de la rotación,
A, los gastos anuales para administración, vigilancia, etc.,
u, el turno de la rotación,
p, el tanto por ciento de interés, y
R, la renta anual del suelo[1].
De ahí es fácil deducir el valor del suelo, B, que viene dado por la capitalización simple de la renta:
He aquí la "fórmula de Faustmann" tal como fue publicada en Allgemeine Forst- und Jagd-Zeitung en 1849, que haría famoso a su autor y estaba destinada a disfrutar de un fecundo porvenir no sólo entre los forestales sino también entre los economistas, una vez estos la hubieron descubierto.
La polémica sobre el turno forestal
Por turno se entiende en la literatura forestal “el número de años necesario para el aprovechamiento y renovación de un monte”, según definición del introductor de la ciencia de los montes en España, el ingeniero Agustín Pascual (Pascual, 1852-55: 487), en una definición en la que seguía muy de cerca a su maestro Heinrich Cotta, el que fuera fundador y primer director de la alemana Academia Forestal de Tharandt. Federico Judeich, que unas décadas después también fue director de la mencionada Academia, lo definía de forma parecida como “el espacio de tiempo que transcurre desde la creación de un rodal hasta su aprovechamiento, combinado con la nueva repoblación” (Judeich, 1913: 100). A la edad del rodal en el momento de su corta se la llama cortabilidad: “se dice cuando las plantas han adquirido aquel grado de sazón o madurez que deben tener para su derribo” (Pascual, 1852-55: 488), de manera que cada turno corresponde a un determinado tipo de cortabilidad.
1 |
2 ![]() |
|
| Figura 1. Los fundadores: 1) el alemán Heinrich Cotta (1763-1844), que desempeñó un papel fundamental en el establecimiento de la ciencia forestal moderna, y 2) Agustín Pascual (1818-1884), introductor de la ciencia forestal en España. |
||
Los diferentes autores que se han ocupado de este tema, aunque reconocen la existencia de unos tipos básicos de cortabilidad, varían en el número de los que toman en consideración. Tampoco coinciden con frecuencia en el nombre. Así, para Agustín Pascual (1852-55: 488) cabe distinguir entre cortabilidad natural (“se dice cuando el rodal adquiere el grado de perfección necesaria para hacer por sí el repoblado”), cortabilidad industrial (“se dice del rodal cuyas plantas tienen las dimensiones propias para los usos de la industria”) y cortabilidad económica (“cuando las plantas han llegado a aquel momento en que dan el máximo de renta”). Por su parte, Lucas de Olazábal, uno de los ingenieros forestales más influyentes, si no el que más, del siglo XIX, en su obra sobre Ordenación y valoración de montes (1883:178) diferenciaba entre las cortabilidades natural, mercantil y económica o técnica. La cortabilidad natural se refiere al periodo de tiempo comprendido entre el momento en que un árbol adquiere la capacidad de reproducirse hasta que la pierde. Por cortabilidad económica o técnica entiende la cortabilidad que se efectúa en el momento en que el árbol presenta el máximo crecimiento medio anual, es decir, en el momento en que rinde la mayor renta en especie. Finalmente, la cortabilidad mercantil es aquella que atiende exclusivamente a criterios económicos, a los intereses lucrativos del propietario, sin preocuparse por la continuidad del monte[2]. Para Olazábal, la cortabilidad financiera (a la que corresponde un turno financiero, que él denomina hacendístico) es una variedad de la cortabilidad mercantil que, dice, es aquella cuyo turno “tiene por objeto fijar en cada rodal la edad de corta, en el año que mayor beneficio pecuniario reporte al dueño del monte” (p. 183).
Por la misma época en que escribía Olazábal en España, en Alemania Friedrich Judeich presentaba un panorama más amplio de cortabilidades, distinguiendo cinco tipos básicos que caracterizaba de la manera siguiente:
- Cortabilidad física. Es la adecuada para la repoblación natural de las especies o bien la que coincide con la duración de la vida de los árboles.
- Cortabilidad de máximo rendimiento en especie. La considera como la cortabilidad propiamente forestal y es la que en el aprovechamiento de un rodal proporciona el máximo volumen de productos leñosos.
- Cortabilidad técnica. Es la que permite efectuar unos aprovechamientos aptos para ser destinados a determinadas aplicaciones, por ejemplo piezas de grandes dimensiones, postes, etc.
- Cortabilidad de máxima renta del monte. Es la que permite que el aprovechamiento del monte produzca el máximo rendimiento en dinero.
- Cortabilidad financiera. Es la que se corresponde con “aquel turno que produce la máxima renta del suelo en la hipótesis de un determinado interés para la explotación” (Judecih, 1913, 107).
Un autor más moderno, Octavio Elorrieta (1920:172), considera que en realidad las distintas cortabilidades –y en consecuencia turnos– pueden reducirse a tres, física, forestal y financiera, de manera parecida a la distinción efectuada por Olazábal.
La cuestión del turno era importante porque de la misma se desprendían diversos modelos de aprovechamiento del monte y, en consecuencia, determinaba el papel económico, social y ambiental de los recursos forestales. En efecto, los turnos que buscaban el máximo rendimiento en especie (madera), eran turnos largos o muy largos que implicaban aprovechamientos que priorizaban el monte alto y productos de grandes dimensiones. Por otro lado era, en principio, el que parecía adecuarse mejor a las finalidades protectoras del bosque.
Por contra, si lo que se buscaba era la máxima renta en dinero, los turnos cortos o medios eran los adecuados, lo que, por otra parte, implicaba que el método de beneficio a aplicar al monte sería el de monte bajo, básicamente destinado a la producción de leñas o madera de dimensiones más pequeñas, y que buscaba un beneficio pecuniario a corto o medio plazo. En este caso, el papel de protección ambiental del monte quedaba muy disminuido.
El caso del turno financiero, tal como lo formuló el forestal alemán Max Robert Pressler basándose, entre otros autores, en la formulación matemática efectuada por Faustmann, es más complicado, puesto que lo que intentaba era integrar plenamente la economía forestal dentro del sistema económico capitalista como un sector productivo más e igualmente rentable.
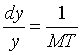
En efecto, la busqueda de una formulación adecuada para la cuestión de la renta del suelo forestal va vinculada al desarrollo de las doctrinas económicas liberales. Bajo el influjo del liberalismo, ya a principios del siglo XIX forestales como Pfeil (1820-21) y Hundeshagen (1821) sentaron las primeras bases de la teoría. Unos años después, en 1835, Gottlob König aportó la primera formulación matemática del problema, luego perfeccionada por Faustmann en 1849 y desarrollada por Pressler una década después, haciendo operativo el planteamiento teórico. Durante el resto de siglo, la teoría de la renta del suelo forestal y sus aplicaciones se vieron incrementadas con las básicas aportaciones de Gustav Heyer (1865), Friedrich Judeich (1869) y Max Endres (1894).
El momento de eclosión de estos planteamientos de corte más o menos liberal en la economía de los montes se da sobre todo a comienzos de la segunda mitad del siglo XIX, por forestales jóvenes, vinculados a determinadas publicaciones, interesados en la formulación de modelos matemáticos aplicables al monte. Una breve reseña biográfica de algunos de estos autores pone de manifiesto su convergencia de intereses.
Martin Faustmann nació en 1822 y murió en 1876. Estudió ciencia forestal en Giessen y Darmstadt. Entre sus maestros se encontraba Carl Heyer, padre de Gustav Heyer. Muy pronto estableció relaciones de colaboración con G. W. von Wedekind, redactor-jefe de Allgemeine Forst- und Jagd-Zeitung, una de las más prestigiosas revistas forestales, en la que colaboró activamente entre 1847 y 1855, período en el que hizo sus principales contribuciones en el campo teórico. De hecho, su artículo de 1849 fue el primero que escribió a la edad de 27 años, al que le siguieron otros tres de menor valor[3]. Es conocido sobre todo por su fórmula para el cálculo del valor del suelo forestal y por la construcción de un hipsómetro para calcular de la altura de los árboles.
|
|
2 |
| Figura 2. 1) Esquema del spiegel hypsometer de Martin Faustmann (Löfgren, 2000: 152); 2) Imagen de un spiegel hypsometer del año 1856 (http://www.tu-dresden.de/kustodie/kustodie/samm_019.htm) |
|
Max Robert Pressler nació en 1815 y falleció en 1886. Su principal interés radicaba en extender el conocimiento y la aplicación de las matemáticas a la ciencia forestal. Él mismo fue profesor de matemáticas en la Academia Forestal de Tharandt, asignatura que impartió en diferentes momentos de su carrera profesional. Su defensa de la necesidad de la reducción del turno forestal encontró la oposición de muchos de sus colegas, con la notable excepción de Gustav Heyer. Sus planteamientos y formalización matemática parten de los planteamientos de König, así como del trabajo de Martín Faustmann de 1849. Sus primeros trabajos sobre el tema que aquí tratamos datan de 1858, 1859 y 1860, cuando contaba entre 43 y 45 años. Al igual que Faustmann, también diseñó aparatos para facilitar el estudio de las masas forestales, como la muy conocida barrena de Pressler.
Gustav Friedrich Heyer (1826-1883). Descendiente de una antigua familia de forestales. Su padre, Carl Heyer fue un destacado forestal y profesor en Darmstadt. Estudió ciencias forestales en la universidad de Giessen y, de 1847 a 1848, estuvo destinado a la Inspección de Darmstadt, donde seguramente coincidió con Martin Faustmann. A la muerte de Wedekind, se hizo cargo de la dirección de la Allgemeine Forst- und Jagd-Zeitung en 1856, cuando contaba 30 años, cargo en el que permaneció hasta 1878. Como profesor de varias universidades y academias forestales adquirió un enorme prestigio, que se vio reforzado por sus destacadas obras forestales, que se cuentan entre las más influyentes de la segunda mitad del siglo XIX. Algunas de ellas, como el Anleitung zur Waldwerthberechung (Compendio de valoración de montes) fue sucesivamente editado en 1865, 1876 y 1883 y traducido al italiano, ruso, croata, húngaro y, en 1872, al castellano de la mano de Francisco de Paula Arrillaga. En esta obra, un clásico de la literatura forestal, se recogen explícitamente los planteamientos de Faustmann-Pressler.
Friedrich Judeich (1828-1894), estudio en la Academia Forestal de Tharandt entre 1846 y 1848, de la que después, en 1866, fue nombrado director, cargo que conservó hasta su muerte. Fue el principal continuador de los trabajos de Pressler. Su principal obra, La Ordenación de Montes, fue publicada en 1871; fue traducida al castellano en 1913, por Eduardo Herbella.
1 |
2
|
|
| Figura 3. 1) Max Robert Pressler; 2) Friedrich Judeich. |
||
Estos autores de los que se ha realizado un esbozo biográfico presentan unos ciertos rasgos generacionales. Nacidos todos en la década de 1820 (con la excepción de Pressler, que lo hizo en 1815), hicieron sus principales contribuciones en torno a la cuestión del turno forestal entre 1849 y 1870 (pudiéndose distinguir una primera fase de formulación teórica, entre 1849 y 1860, y otra de consolidación del planteamiento, entre 1860 y 1865-71). Hacia 1870 puede considerarse integrado el nuevo planteamiento en el bagaje común de la ciencia forestal, pues fue incorporado a manuales tan importantes y difundidos como los de Heyer (1865) y Judeich (1871). Por otra, les caracteriza su énfasis en la utilización de las matemáticas como instrumento para la renovación del conocimiento forestal y de la misma práctica profesional, lo que no siempre era fácil. De hecho, se ha señalado en diversas ocasiones que el artículo de Faustmann, tal como fue formulado originariamente no tenía ninguna aplicación práctica inmediata y que, básicamente, fue una contribución al debate teórico.
Fue Pressler quien le confirió la dimensión aplicada que la hizo famosa. En efecto, aunque de la fórmula de Faustmann se podía deducir cuál era el turno que maximizaba la renta del suelo, de ahí no se podía concluir si la explotación forestal en cuestión, en cuanto que empresa capitalista, era o no rentable considerada en el conjunto de mercado de capitales; es decir, que el turno forestal óptimo deducido según la fórmula de Faustmann muy bien podía corresponder a una actividad cuya rentabilidad estuviera muy por debajo de la rentabilidad media de la economía y, en consecuencia, representar una actividad ruinosa. Es decir, la cortabilidad financiera presupone que el capital del suelo forestal rinde unos intereses a un determinado tanto por ciento. El problema para el propietario del monte es saber si este tanto por ciento es adecuado a sus conveniencias. Pressler dio respuesta a esta cuestión a partir de lo que denominó el tanto por ciento indicador o índice centesimal, que señala la madurez para la recolección de los rodales desde el punto de vista financiero. Este tanto por ciento indicador lo obtiene tomando en consideración todos los factores que intervienen en la constitución del capital del monte, es decir el vuelo, los gastos de administración, los impuestos, el capital suelo y los gastos de repoblación. La interpretación de este índice[4] es, en palabras de Judeich, la siguiente:
“Si es todavía más elevado que el tanto por ciento adoptado para la explotación, el rodal es inmaduro, su aprovechamiento produciría una pérdida; si ha descendido por debajo del tanto por ciento adoptado en la explotación, el dejar en pie el rodal ocasionaría pérdidas económicas. Entre ambos grados está la madurez económica del rodal o sea aquel momento en que el tanto por ciento en cuestión es igual al adoptado en la explotación” (Judeich, 1913: 82)
Las aportaciones complementarias de Faustmann y Pressler se conocen en la literatura económica con el nombre de teorema de Faustmann-Pressler, que viene a decir que interesa cortar una determinada masa forestal “cuando la tasa de cambio iguala al tipo de interés multiplicado por el valor de mercado del suelo y del vuelo” (Romero: 1997: 132; Löfgren, 1995:158). Löfgren, con anterioridad, lo había llamado también teorema de Faustmann-Pressler-Ohlin, pues este último autor, el economista Bertil Ohlin, llegó de forma independiente a la misma conclusión en 1921 (Ohlin, 1921). Ohlin recibió el premio Nobel en 1977.
A lo largo del siglo XX destacados economistas se ocuparon de la cuestión del turno forestal, a la que en general dieron soluciones menos acertadas –con la excepción de Ohlin– que las formuladas desde 1849 por los ingenieros de montes. Entre ellos se encontraban I. Fisher, H. Hotelling y K. Boulding, cuyos planteamientos, en opinión de Paul A. Samuelson, premio Nobel de Economía en 1970, resultan erróneos o insuficientes, mientras califica el planteamiento de Martin Faustmann como esencialmente correcto en un famoso artículo aparecido en Economics Inquiry (Samuelson, 1976, en especial en el apartado titulado “Bibliographical notes”, p. 143-146). A partir de la publicación de este artículo de Samuelson, la fórmula de Faustmann se convertirá en un lugar común de la literatura económica relacionada con los recursos forestales y ambientales, una tendencia que de alguna manera culminó en 1999 con la celebración en Darmstadt del 150 aniversario de la aparición del artículo de Martin Faustmann, en un Simposicio internacional de significativo título, 150 Years of the Faustmann Formula: The Consequences for Forestry and Economics in the Past, Present, and Future (Chang, 2001).
Montes, matemáticas y propiedad en España
La formalización matemática del debate en torno al turno forestal óptimo protagonizado por los forestales europeos, en especial los alemanes, durante la segunda mitad del siglo XIX, se enmarca dentro del proceso de renovación que en este periodo se da en determinadas disciplinas científicas. De forma parecida a otras ramas de la ingeniería, la de montes siempre tuvo un importante componente matemático. En realidad, la formación de los forestales basculaba, en un equilibrio no siempre estable, entre las disciplinas de tipo físico-matemático y las de tipo naturalístico. Ya a finales del siglo XVIII algunos forestales austríacos se esforzaron en elaborar modelos matemáticos que definieran con precisión el tipo de bosque óptimo que debía resultar de la aplicación de las técnicas forestales. Estos modelos se referían, por ejemplo, a la caracterización de la productividad potencial del bosque en base a relacionar las existencias con su crecimiento y las posibilidades de corta (Mendoza, 1993).
El importante desarrollo de la teoría matemática a lo largo de la primera mitad del siglo XIX estimuló esta tendencia entre los forestales, en cuyas publicaciones abundaron tal clase de planteamientos. Junto a ello, el creciente desarrollo de los mercados fue otro estímulo, probablemente decisivo, para el desarrollo de planteamientos o modelos que permitieran una rápida adaptación a las cambiantes circunstancias económicas.
Así pues, la fórmula de Faustmann apareció en el contexto de un intenso debate entre los forestales alemanes, interesados en encontrar modelos matemáticos que expresaran el comportamiento del monte. El carácter polémico del artículo de Faustmann ya es en sí mismo un reflejo de la existencia de diferentes orientaciones y puntos de vista en torno a estas cuestiones, que se referían no sólo a cómo debía calcularse el valor económico de un monte sino sobre todo en relación al muy central tema del turno forestal y, en relación con éste, sobre el papel de la propiedad privada y la propiedad del Estado en la economía forestal.
En la España de la segunda mitad del siglo XIX, con el proceso de desamortización de los montes en marcha, en torno al cual se estableció una dura polémica entre partidarios y opositores a las ventas, el tema, lógicamente, revestía el máximo interés. Aunque en ocasiones el tema del enfrenamiento en relación a la venta de los montes se sitúa entre el Cuerpo de Montes, de una parte, y sectores de la clase política vinculada a la propiedad territorial o con aspiraciones a obtenerla –sobre todo la de orientación liberal, que a los intereses sumaban razones de tipo ideológico, aunque tampoco los conservadores se quedaron atrás en los momentos decisivos–, o, como también se ha señalado con frecuencia, entre un Ministerio de Fomento supuestamente defensor de la propiedad pública de los bosques, y el Ministerio de Hacienda empeñado en venderlos por razones de orden recaudatorio, lo cierto es que entre los mismos ingenieros de montes la polémica fue igualmente virulenta desde un primer momento, y los enfrentamientos en el seno de la corporación se prolongaron a lo largo de lo que quedaba de siglo, aunque en ocasiones de forma más o menos soterrada.
Era un enfrentamiento entre ingenieros jóvenes, como no podía ser de otro modo en un Cuerpo cuyos primeros titulados lo fueron en 1852. Algunos de los ingenieros que participaron en la polémica y a los que nos referiremos en este texto pertenecen a las promociones comprendidas entre 1852 y 1859, con la excepción del más joven, que es de 1867, aunque sus tres principales protagonistas son de las promociones de 1852, 1854 y 1855. Cuando estalló la polémica, después de efectuada la Clasificación general de los montes públicos de 1859 y el inicio práctico de la desamortización forestal, estos autores esgrimieron sus primeros escritos polémicos cuando contaban entre los treinta y los cuarenta años. Fue la etapa en que se consolidaron sus respectivas concepciones teóricas y que en lo sustancial mantendrán a lo largo de su vida. La mayoría de ellos fallecerá antes de 1900.
La introducción de criterios económicos en la definición del turno tuvo consecuencias importantes en diferentes sentidos. Como hemos visto, en la concepción tradicional, el turno, en general conocido como turno técnico, viene dado por el período de tiempo necesario para que la masa forestal alcance su madurez en términos de la cantidad de productos extraíbles. Ello evidentemente depende de factores diversos (características del suelo, del clima, de la especie, etc.) de evaluación compleja y de difícil determinación desde un punto de vista teórico. Por ello, la determinación del turno técnico se efectuaba mediante la confección de tablas de base empírica, diferentes para cada lugar y especie. Experimentalmente se había hallado que el crecimiento de la masa forestal seguía de forma aproximada una progresión aritmética, hasta llegar a un punto en el que los incrementos del crecimiento comenzaban a decaer. En base a ello se decidía cual era el turno -la edad de corta- para cada especie que, para el monte alto, solía situarse entre los 60 y 200 años.
El turno financiero modificaba esta noción tradicional de turno -de base naturalística- al introducir criterios de tipo económico, situando la edad de corta por debajo del turno técnico con independencia, en general, de la especie de que se tratara.
Esta adaptación de la gestión forestal a los mecanismos del mercado tenía, sin embargo, consecuencias diversas según las circunstancias sociales y políticas del país donde tuviera que implantarse, además de encajar con dificultad en las diferentes realidades de orden físico de países distintos, es decir, según el papel protector que la cubierta forestal y en especial el monte alto debía desempeñar en la conservación de la calidad ambiental, uno de los axiomas fundamentales de la tradición forestal, en general no discutido.
Hacia mediados del pasado siglo, España se enfrentaba a una situación donde estos factores se manifestaban de una manera especialmente sensible. País profundamente desforestado, en 1855 se había decretado la ley de desamortización que afectaba de forma muy intensa a la propiedad de los montes. Como técnicos encargados de la gestión forestal, los ingenieros de montes fueron encargados de determinar las bases bajo las cuales los montes podían ser vendidos, lo que dio lugar a que la Junta Facultativa del Cuerpo elaborara un informe en el que se establecían los criterios a seguir para determinar los montes que podían pasar a manos privadas y cuáles debían permanecer bajo dominio público (Junta Facultativa, 1855). Utilizando criterios de tipo geobotánico, el informe, elaborado por Miguel Bosch y Agustín Pascual, concluía clasificando los montes públicos en tres agrandes apartados: enajenables, no enajenables y de enajenación dudosa para los que se propugnaba un estudio específico para decidir en que categoría incluirlos.
Pero además de las consideraciones sobre el papel ambientalmente protector del monte, Bosch y Pascual entraron de lleno en la cuestión económica en un apartado titulado “Constitución económica de la producción forestal y del monte maderable en particular” (parte del cual reproducimos en el anexo 1), donde contrastaban los dos métodos antes comentados de establecer el turno forestal. Para ellos, el turno técnico era el que garantizaba la mayor producción de productos al tiempo que aseguraba su función protectora. Si se examinan las tablas de crecimiento, indican, se puede ver como mientras la cantidad de productos maderables sigue una progresión aritmética creciente, “la serie de los intereses que van resultando de la comparación de las existencias y la corta anual, al prolongar el turno, disminuye siguiendo a corta diferencia una progresión aritmética decreciente. El resultado definitivo es que hay un antagonismo entre la producción leñosa y la pecuniaria; antagonismo que causa que a mayor producción en especie, no corresponde mayor producto en dinero, como sucede en todos los casos en que entra como factor principal el tiempo en periodos seculares” (Junta Facultativa, 1855). Y concluían el apartado señalando lo que llaman las “dos legítimas consecuencias”: 1. El Estado debe hacerse cargo de la conservación del monte maderable. 2. El interés privado prefiere el monte bajo al monte maderable[5].
Las conclusiones generales del informe fueron en principio aceptadas por el gobierno, aunque luego sufrieron diversas modificaciones, la más importante de las cuales fue la de calificar como enajenables el grupo de montes inicialmente clasificado como de enajenación dudosa. Aparentemente, dentro del Cuerpo forestal el informe fue aceptado sin resistencias, pero cuando unos años después, en 1859, la desamortización se puso efectivamente en marcha (lo que obligó al Cuerpo forestal a proceder a la elaboración del Catálogo de montes públicos en unos pocos meses), comenzaron a surgir entre los propios forestales algunos planteamientos divergentes. Entre ellos, la postura de Hilarión Ruiz Amado que, con el seudónimo de Un máscara sin careta, publicó en 1862, a la edad de 30 años, un fuerte alegato sobre las deficiencias de tipo geobotánico que iban a presidir los criterios finalmente acordados para decidir la venta de los montes; y, sobre todo, una virulenta serie de artículos publicados por Lucas de Olazábal en 1860 (bajo el seudónimo de A. B.) en el periódico La América, luego editados en folleto aparte en 1862.
Lucas de Olazábal, que entonces contaba 31 años y hacía seis que había recibido el título de ingeniero, abordaba directamente la cuestión económica, dirigiendo sus críticas al informe de Bosch y Pascual y a uno de los principios fundamentales que lo inspiraba, a saber, que en la explotación forestal a medida que aumenta la renta en especie disminuye la renta en dinero (en el anexo 2 reproducimos ampliamente uno los referidos artículos), tal como hemos visto se defendía en el Informe de la Junta de Montes, siguiendo de forma estricta las enseñanzas de H. Cotta, y a la supuesta incompetencia de la propiedad privada para conservar el monte alto. De posturas liberales, admirador del economista francés Bastiat (a quien calificaba, nada menos, que de ser el Kepler de la economía), se declaraba abiertamente partidario de la desamortización, aunque no de la forma en que se estaba desarrollando. Para él, la propiedad privada era perfectamente compatible con la posesión y mantenimiento del monte maderable. El problema residía en la inexistencia de capitales en España capaces de rentabilizar el monte. Por tanto, aunque provisionalmente el Estado debiera hacerse cargo de ellos, de ahí no podía deducirse ninguna ley sobre el carácter del Estado como propietario natural del monte alto. Posición idéntica a la expuesta por el forestal alemán Pressler unos pocos años antes (Pressler, 1858).
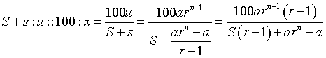
En consecuencia, aunque mantenía un acuerdo coyuntural con el planteamiento de la Junta de Montes, existía una divergencia de fondo desde el punto de vista doctrinal (lo que por otra parte quizás explique que publicara sus escritos bajo seudónimo). La posición oficiosa mayoritaria entre los forestales de aquel momento venía manifestándose a través de unas Hojas Forestales, objeto predilecto de la incisiva e hiriente pluma de Olazábal. Detrás de las Hojas no es difícil descubrir a Francisco García Martino, salido de la primera promoción de la Escuela y luego formado en la Academia Forestal de Tharandt, en Alemania, donde fue muy influido por el barón von Berg, sucesor de H. Cotta en la dirección de la citada Academia. Llamado a regresar apresuradamente en 1859 para intervenir en la realización del Catálogo de montes de aquel año, García Martino desempeñó en años posteriores un destacado papel en la Junta General de Estadística -de cuya Sección de Estadística fue director general en 1869- y más tarde como artífice del principal programa científico del Cuerpo de Montes, desarrollado a través de la Comisión del Mapa Forestal de España, que presidió durante largos años.
Dotado de excelentes conocimientos matemáticos y estadísticos, García Martino pronto intentó fundamentar sus planteamientos sobre la incompetencia de la propiedad privada para la conservación del monte maderable en argumentación matemática, algo que, por lo que sabemos, no había intentado hasta el momento ningún forestal, ni siquiera en Alemania, ya que, como se ha visto, la base de la crítica hasta aquel momento estaba en los datos empíricos exclusivamente[6]. En 1866, publicó en la Revista General de Estadística, impulsada por José Emilio de Santos, personaje igualmente destacado de la Junta General de Estadística (Muro, Nadal, Urteaga, 1996), una serie de artículos en los que abordaba directamente esta cuestión. Tres años después, García Martino los publicó nuevamente en la Revista forestal, económica y agrícola, fundada por él, y que quizá pueda ser considerada la mejor publicación científica forestal que ha existido en España hasta hoy día y que he estudiado con atención en otro lugar (Casals, 1996).
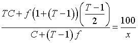
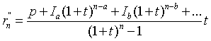
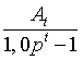
El objetivo de esta serie de artículos (de la que reproducimos parte del primero en el anexo 3), titulada “Consideraciones económicas sobre la propiedad forestal” (García Martino, 1869), está formulado explícitamente: establecer, con el mayor grado de generalidad posible, “las leyes a que la producción leñosa obedece en su lenta y sucesiva formación”. Para ello, Martino parte de la existencia de un monte-tipo cuya evolución en el tiempo expresa bajo fórmulas matemáticas, para concluir expresando en una fórmula la relación x entre el capital constante del vuelo y la renta, en términos de volumen, en los siguientes términos:
(1)en la que T es el turno, C el crecimiento y f la razón de la progresión que caracteriza la evolución de los recursos del monte.
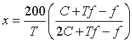
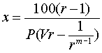
De igual modo, procede a sintetizar en una fórmula la evolución del mismo monte en términos de su valor, en el que intervienen otros factores tales como la calidad de las maderas que, supone, se incrementa con el tiempo. Toma, para este supuesto, el caso ideal, suponiendo que el valor aumentará en una progresión geométrica, llegando a la siguiente fórmula:
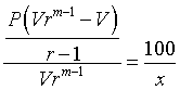
(2) donde x expresa la relación del valor del vuelo y de la renta, P el numero de partes en que se divide al monte, r la razón de la progresión geométrica del valor, m el número de períodos del turno y V el valor medio de las existencias de la superficie S/T (la superficie total, S, dividida por el número de años del turno T).
De estas fórmulas concluye
consecuencias importantes. Por una parte, la expresión (1) depende, en lo esencial,
del primer factor
,
es decir, x está en una relación inversa al turno T o, lo que
es lo mismo, que la renta en especie disminuye a medida que se eleva el turno,
lo que Martino expresa en los siguientes términos: “a medida que el turno se
eleva, la producción absoluta aumenta, y la renta disminuye en el período en
que el crecimiento medio anual es creciente, y después lo mismo la producción
que la renta, disminuyen sucesivamente”.
De (2) concluye de manera parecida, pero en términos de valor: los intereses en dinero decrecen cuando se eleva el turno y, en consecuencia, que “a mayor turno, mayor producción absoluta y menor interés en especie y en dinero”.
Martino calificó esta conclusión de teorema fundamental de la ordenación, del que dedujo consecuencias importantes para la situación política y social de la España de aquel momento, es decir, del periodo desamortizador. Si lo anterior era cierto, la propiedad individual de los montes maderables sería incapaz de garantizar su conservación, ya que la búsqueda del máximo beneficio comportaría la necesaria reducción de los turnos, convirtiendo el monte alto en monte medio y bajo, aprovechable a turnos más cortos y, en consecuencia, la destrucción del monte maderable. Sólo el Estado, concluye Martino, es capaz de conservar el monte alto, lo que vale decir que, en términos de lo que llama relaciones internas de los montes, es su propietario natural. A lo que desde luego cabe agregar la importancia de las relaciones exteriores, su papel protector desde un punto de vista ambiental, que refuerza el mencionado papel de propietario del monte alto que debe desempeñar el Estado.
La demostración matemática de la necesaria propiedad pública de los montes maderables quedaba así establecida. Pero al parecer algunos forestales cuestionaron que la fórmula (1) fuera general en todos los casos, es decir, que tuviera el carácter de ley en el sentido de la ciencia positiva. De esta cuestión, que trasladaba el problema al terreno de la matemática pura, Martino encargó su resolución al joven Alberto Bosch, alumno de los últimos cursos de la Escuela de Ingenieros de Caminos, con el que le unía una estrecha amistad. Alberto Bosch era hijo de Miguel Bosch, uno de los primeros profesores de la Escuela de Montes y destacada personalidad del período inicial de la ingeniería forestal en España. Los años de formación académica de Alberto Bosch habían coincidido con el mejor momento de la Escuela de Caminos, en la que se operó la modernización del conocimiento matemático en España, en buena medida gracias al impulso dado al mismo por José Echegaray. El mismo Alberto Bosch hizo en años posteriores contribuciones importantes al conocimiento y renovación matemática en nuestro país (en 1873 difundirá por primera vez en España la teoría de los cuaternios de Rowan Hamilton) (Bosch, 1873) y es uno de los pocos autores relevantes en materia matemática que Julio Rey Pastor menciona para la segunda mitad del siglo XIX español (Rey Pastor, 1915). Posteriormente, Alberto Bosch entró en la arena política, terreno en el que será diputado, alcalde de Madrid, ministro de Fomento y senador.
El encargo de García Martino lo resolvió Bosch con premura. Al año siguiente presentó, bajo el título de “Demostración analítica de una importante ley forestal”, un trabajo en el que realizaba una elegante demostración de que la fórmula se cumplía en todos los casos sin excepción (Bosch, 1870).
La aportación de García Martino debe verse, más allá de las polémicas doctrinales corporativas, como una respuesta al reto de la renovación del pensamiento científico en la España de la segunda mitad del siglo XIX. No debe ser casual que el año 1866, fecha de la primera publicación de sus “Consideraciones económicas”, lo sea también del alegato de Echegaray para la renovación del conocimiento matemático en España con motivo de su ingreso en la Real Academia de Ciencias (Echegaray, 1866). El sentido de la renovación del conocimiento científico, y de paso la reivindicación de la existencia de una específica ciencia forestal, lo expresó claramente García Martino al señalar que los métodos exclusivamente prácticos no podían satisfacer las aspiraciones científicas y la necesidad de buscar en “los llamados métodos racionales, la solución general y verdaderamente teórica a los problemas que estudia”, señalando seguidamente que la ciencia de los montes “quizá entre las de aplicación, sea la forestal la única, que haya conseguido plantear en una teoría general los principios en que se apoya, deduciendo de ellos a priori, las reglas generales para alcanzar el objeto que se propone” (introducción de García Martino a Clesbsch, 1869).
Unos años después, en 1872, uno de los colaboradores de la Revista forestal, económica y agrícola, Hilarión Ruiz Amado, que entonces contaba 40 años, publicó el segundo volumen de sus Estudios forestales, sin la menor duda la más importante obra de propaganda forestal escrita durante el siglo XIX. Ruiz Amado, que más tarde fue autor de obras importantes en el terreno de la topografía[7], abordaba, en la primera parte (p. 779-819, véase anexo 4) del primer y extenso capítulo del mencionado segundo volumen de los Estudios forestales, todo lo referente a las "propiedades económicas de los montes", insistiendo en algunos de los temas tratados por García Martino, al que sigue en gran medida, pero incorporando nuevas cuestiones. Concretamente la mencionada primera parte del primer capítulo está dedicada a demostrar cuatro proposiciones, de la cuales nos interesa en especial la cuarta que dice:
"A
mayor turno corresponde:
[...]
4ª Mayor
interés o rédito del capital forestal hasta la edad de la cortabilidad comercial,
en que se obtiene el máximo igual al tanto por 100 admitido en la localidad
para tales fincas, consiguiéndose aquella de ordinario, a una edad no muy avanzada
y desde ella en adelante menor interés; de manera que este siempre resulta así
respecto al rédito admitido, excepto a la edad correspondiente a dicha cortabilidad"
(p. 780).
En otras palabras, Ruiz Amado se plantea el significado de la aplicación de la cortabilidad comercial (es decir, del turno financiero) para la economía forestal, a lo que intenta responder tanto recurriendo al estudio de tablas de producción empíricas, ejemplos numéricos y formalizaciones algebraicas, siguiendo el tipo de línea argumental de García Martino antes comentado. Al igual que en el caso de éste, Ruiz Amado apunta en su texto a los planteamientos de lo que llama "nuestros ilustrados adversarios", expresión con la que claramente se refiere a Lucas de Olazábal, y la conclusión de su análisis refuerza una vez más la incompatibilidad de la conservación del monte alto maderable con la propiedad privada del mismo, también en el caso de la aplicación de turnos financieros, es decir, de las posiciones teóricas defendidas sobre todo por Max Robert Pressler en Alemania:
"[la cortabilidad comercial] es tanto menor cuanto mayor sea el rédito, mayores los gastos, menor la diferencia de los precios y peor la calidad del vuelo, hallándose siempre a una edad tan poco avanzada que, para las especies que le admiten, debe buscarse en el método de beneficio de monte bajo, a no ser que por la rapidez de su crecimiento puedan aprovecharse en monte alto a turnos muy cortos, como sucede en las especies blandas o blancas" (p. 818-819).
Es decir, la aplicación de criterios de turno financiero no reduce la incompatibilidad antes mencionada, aunque, señala Ruiz Amado, puede no ser así en el caso de determinadas especies de crecimiento rápido, una observación que con posterioridad ha adquirido gran importancia.
De hecho, en las páginas de la Revista forestal, económica y agrícola se había publicado ya con anterioridad algún artículo dedicado explícitamente a combatir las concepciones de Pressler respecto al tipo de turno a aplicar. Por ejemplo, Ramón Jordana publicó en 1870 un artículo dedicado a este fin titulado "Sobre la rentabilidad del método de beneficio de monte alto", en el que dice haber demostrado "la inexactitud de las deducciones de Pressler y que no es cierto, como pretende, que admitiendo el método de beneficio de monte alto, el propietario reporte, por la disminución del turno, las mismas ventajas económicas que convirtiendo el monte alto en bajo o en tierra de labor" (p. 123). Incluso Lucas de Olazábal, ideológicamente cercano a Pressler con el que compartía la idea de que la propiedad privada era, o podía ser, compatible con la conservación del monte alto, veía con desconfianza el turno que él llamaba hacendístico, sobre el que decía desconocer si realmente era operativo en concreto[8]. Olazábal siempre fue partidario de aplicar el llamado turno técnico o forestal.
Aparentemente la polémica quedó adormecida durante años pero súbitamente renació de nuevo en 1883 (Arrillaga, 1885). En este año, Lucas de Olazábal publicó su Ordenación y valoración de montes, obra que marcaría de forma indeleble todas las generaciones posteriores de forestales hasta bien entrado el siglo XX. En esta obra fundamental de la ciencia forestal española, Olazábal dedicaba algunas páginas a criticar la formulación matemática del problema efectuada años atrás por García Martino, de la que reconoce explícitamente su importancia (“en su género, uno de los mejores, a nuestro juicio”) pero de la que discrepa de forma radical y en la que cree detectar errores de fondo (Olazábal, 1883). García Martino, entonces ocupado en la formación del Mapa Forestal de España, no intervino al respecto pero un partidario suyo (que firma los artículos como X., y que no ha sido posible identificar) replicó en las páginas de la Revista de Montes demostrando la inconsistencia en términos matemáticos de la crítica de Olazábal (X., 1884). La respuesta de éste no se hizo esperar, contestando en términos abiertamente descalificadores para el “Sr. X.”, al que recordaba que aquella cuestión ya se la había explicado en clase no hacía mucho tiempo (Olazábal fue profesor de Ordenación en la Escuela de Montes). Aún así, no le quedó más remedio que reconocer haberse equivocado en el tratamiento matemático de la crítica a Martino que, dice, “corregiremos sin tardanza”, aunque eso sí, “sin siquiera mover una sola coma del razonamiento a que aquella se refiere” (Olazábal, 1884). Genio y figura..., hasta la sepultura, como veremos.
La Revista forestal, económica y agrícola impulsada por García Martino desapareció en 1875, en buena medida por las presiones del ministerio de Fomento, molesto por la orientación de la misma. En 1877, por iniciativa de Olazábal se creo la Revista de Montes, que se editó de forma continuada hasta 1925. Era el comienzo del ascenso de nuevas generaciones de forestales, que tuvieron su gran figura en Lucas de Olazábal, que imprimió a la profesión un marcado carácter técnico (o ingenieril, como la han calificado algunos de sus críticos). La muerte en 1884 de Agustín Pascual reforzó esta tendencia, que se impuso de forma definitiva tres años después con el defenestramiento de García Martino. La culminación de la carrera de Olazábal llegó en 1890, al crearse el servicio de Ordenaciones bajo su dirección y redactarse las nuevas “Instrucciones” de ordenación de montes. Por cierto que en las mismas el turno, y por tanto la cortabilidad, se definen en términos estrictamente técnicos. No fue hasta 1930 en que otras “Instrucciones”, redactadas de la mano de Octavio Elorrieta, introdujeron, junto al turno técnico, el turno económico, a aplicar según las circunstancias jurídicas y económicas (Elorrieta, 1930)
En 1894, Olazábal llegó a la presidencia de la Junta de Montes. Enfrentado al ministro de Hacienda, Juan Navarro Reverter, ingeniero de montes de filiación política conservadora, por un proyecto de ampliación del proceso de desamortización forestal, al que Olazábal se opuso, fue obligado a dimitir. Murió en 1897, al parecer a consecuencia del disgusto producido por el que fue su último conflicto.
No dejan de ser curiosos los elementos comunes en la vida de Olazábal y García Martino, de trayectorias tan divergentes. Este último centró su actividad profesional a partir de 1868, sobre todo a partir de la Restauración alfonsina, en las tareas de la Comisión de Mapa Forestal, en las que estuvo ocupado hasta 1887, en que después de un enfrentamiento por cuestiones presupuestarias con el director general de Agricultura, el también ingeniero de montes Benigno Quiroga, políticamente liberal, fue destituido, siendo nombrado para sustituirle... Lucas de Olazábal, quién procedió a liquidar la Comisión, a la que no se le había asignado presupuesto, en un par de meses. Francisco García Martino murió tres años después, quedando los trabajos de veinte años de existencia de la Comisión del Mapa Forestal arrinconados en la Escuela de Montes, dónde al parecer fueron pasto de las llamas en 1936, al resultar incendiada durante los combates del sitio de Madrid por las tropas franquistas.
La difusión en España de la fórmula de Faustmann
Desde la historia económica se ha señalado que la fórmula de Faustmann-Pressler debió ser muy tardíamente conocida en España, puesto que en 1920 Octavio Elorrieta aunque "habla de cortabilidad financiera y maneja las variables relevantes del problema en el que fuera manual básico de economía forestal de los ingenieros españoles en los años veinte y treinta, lo cierto es que no llega a dar solución adecuada a la cuestión del turno forestal óptimo en la línea marcada por la Regla de Faustmann-Pressler". Y aunque les parece extraño a los autores de la cita precedente que los forestales españoles, que tan al tanto estaban de lo que sucedía en Alemania, desconocieran tal formulación, lo achacan al hecho de que "la Regla de Faustmann-Pressler no formaba parte de la corriente principal del conocimiento forestal" (Ramos y Trincado, 2001: 19). Creemos que no es así y que la fórmula de Faustmann y los planteamientos de Pressler fueron prontamente conocidos en España.
Ecos del debate en torno al que se gestó el artículo de Faustmann de 1849 puede encontrarse en uno de los tempranos trabajos de Agustín Pascual de principios de la década de 1850 (Pascual 1852-55), su largo artículo sobre "Montes, Ciencia de", incluido en el Diccionario de Agricultura práctica y Economía rural. En el apartado dedicado a la "Valoración de montes" del referido artículo, Pascual se refiere a la diversidad de puntos de vista existentes sobre la cuestión y, más adelante, al tratar de la "Valoración absoluta" estudia varios casos; la solución que da para el segundo –"cuando se aprovechan todos los productos vendibles y el suelo no se puede destinar a otra producción que a la de maderas y leñas"– recuerda los planteamientos de Faustmann, aunque el estilo de escribir de Pascual, más bien oscuro y en ocasiones de difícil comprensión, hace difícil poder afirmarlo con una mínima seguridad[9].
Los análisis de García Martino y Ruiz Amado antes comentados (anexos 3 y 4) presuponen el conocimiento de la fórmula de Faustmann. En realidad, Ruiz Amado hace de la misma una aplicación práctica en uno de los ejemplos numéricos que incluye (que puede verse en el anexo 4) aunque sin explicitarla.
Que la fórmula era conocida lo prueba además el hecho de que en el mismo año en que Ruiz Amado publicaba el segundo volumen de los Estudios forestales a los que nos hemos referido (1872), Francisco de Paula Arrillaga, secretario de redacción de la Revista forestal económica y agrícola, publicaba la traducción de la obra de Gustav Heyer Anleintung zur Waldwerthberechung –cuya primera edición data de 1865– con el título de Compendio de valoración de montes, que como se ha indicado vio la luz en 1872. Esta importante y difundida obra incorpora ya plenamente el enfoque dado por Faustmann a la cuestión de la renta del suelo y expone la serie de fórmulas que permiten su cálculo. En el anexo 5 hemos reproducido estas fórmulas para la determinación del valor del suelo, la última de las cuales es propiamente la de Faustmann, aunque no se menciona su nombre. También publicamos parte del prólogo del traductor, es decir de Arrillaga, en el que éste se muestra partidario del tipo de planteamientos de García Martino (recordemos que era secretario de redacción de la Revista forestal) que vendrían avalados por las formulaciones contenidas en el libro de Heyer, fórmula de Faustmann incluida. Dice Arrillaga:
Demuéstrase, en efecto, en la determinación del valor posible del suelo, que éste alcanza su máximo a una edad tanto más avanzada dentro de ciertos límites, cuanto menor sea el interés a que se considere impuesto el capital forestal, o lo que es lo mismo, que si el propietario se contenta con un interés muy bajo, puede elevar su turno aproximándose al absoluto; pero que, cuanto mayor sea el tanto por ciento que en su especulación quiere obtener de la finca, tiene que ir rebajando el turno en términos tales que, si su codicia es mucha, no hallará modo de satisfacerla en la economía forestal, y que, aun cuando se contente con el 3 por 100, por ejemplo, para un pinar de pino silvestre, debe tratarle a un turno 20 o 30 años más corto que el absoluto que a dicha especie corresponde, si le ha de mantener en las mejores condiciones económicas. No debe, pues, nunca conservar montes altos a turno absoluto, que es el tipo del monte alto, el particular que conozca sus verdaderos intereses y las condiciones económicas de la propiedad forestal.
[...]
El ordenador, por consiguiente, dadas las condiciones del propietario, fijará ante todo el turno, dándole gran extensión si quiere obtener grandes resultados, grandes efectos climatológicos y hasta sociales, como cumple al Estado; de corta duración, si quiere movimiento, velocidad, interés al dinero, resultados inmediatos, cual corresponde a la febril actividad del especulador individual." (p. X y XIII)
|
|
|
|
| Figura 4. Dos destacados forestales españoles que intervinieron en el debate sobre el turno forestal: Lucas de Olazábal (izquierda) y Francisco de Paula Arrillaga (derecha). |
||
Por lo que conocemos, con la edición de la traducción del libro de Heyer era la primera vez que la famosa fórmula se reproducía en una publicación en español. Y desde luego no en una publicación cualquier sino en un manual de amplia difusión utilizado durante muchos años en la enseñanza de la Escuela[10]. Puede afirmarse, pues, que en la década de 1870 la fórmula de Faustmann no sólo era conocida por los forestales españoles sino que además se enseñaba en la Escuela Especial del ramo.
Otra cosa es que a la fórmula y a su asociado turno financiero se le diera un uso práctico. Probablemente las circunstancias vinculadas al proceso desamortizador, que se prolongó durante toda la segunda mitad del siglo XIX, lo hizo inviable. Las "Instrucciones de Ordenación" elaboradas por Olazábal hacia 1890 no lo toman en consideración, propugnando el turno técnico como el turno a aplicar en los aprovechamientos forestales de los montes públicos españoles. Pero hacia finales de siglo la situación parece cambiar. La evolución de la situación política y económica y la misma renovación que a principios del siglo XX se operó en la corporación forestal, que en el periodo final del siglo XIX había perdido por muerte biológica o jubilación las primeras y dinámicas promociones que lo impulsaron, planteó de nuevo la cuestión, en unas circunstancias mucho más favorables.
De hecho, en Alemania la orientación Faustmann-Pressler de la economía forestal había ganado posiciones. En la Academia de Tharandt, su director, F. Judeich, era, como ya se ha señalado al principio, el principal continuador de las ideas de Pressler. Su obra más conocida e influyente, La ordenación de montes, fue publicada en su primera edición en 1871. En 1904 iba por la sexta edición alemana, que fue traducida al castellano por Eduardo Herbella en 1913.
Pero la obra de Judeich era bien conocida por los forestales españoles antes de su traducción. De hecho, en la Revista de Montes habían aparecido con anterioridad algunas partes de la obra. Por ejemplo, en 1893 y 1894 se publicaron varios artículos bajo el título común de "El índice centesimal por Judeich" que corresponden al apartado que en la traducción de 20 años después Herbella llamará "Elementos del tanto por ciento indicador". En este apartado se expone detalladamente los planteamientos de Faustmann y Pressler, a los que se menciona expresamente. De Faustmann en concreto señala, después de reproducir la fórmula para la obtención de la renta del suelo, que "fue obtenida por primera vez por Faustmauns (sic), en el Allgemeine Forstund Jagdzeitung, de 1849, pero no se dio aplicación directa a la economía" (Revista de Montes, 1893, p. 518; véase el anexo 6, donde se reproduce la traducción posterior de Herbella). No creemos equivocarnos al afirmar que era la primera vez que su nombre se escribía –mal, por cierto– en una publicación forestal española.
En 1903, Eduardo Herbella, joven forestal de la promoción de 1896, publicó en la Revista de Montes un artículo titulado "La determinación del turno financiero", donde expone la manera como obtener de forma precisa el mencionado turno a partir de la fórmula de Faustmann. Que sepamos, es la primera vez que un autor español expone explicita y detalladamente el aparato matemático subyacente a la determinación del turno financiero a partir de Faustmann. Por cierto, el artículo tiene importancia por otra cuestión: hasta aquel momento, el turno financiero se había conocido, siguiendo a Olazábal, con el nombre de turno hacendístico. Herbella, en una nota a pie de página, rectifica a Olazábal y propone utilizar la palabra financiero "por estar aquella admitida en la última edición del Diccionario de la Academia Española, y ser la más fiel traducción de la palabra alemana finanzielle[11], con que fue designado este turno por sus autores" (Herbella, 1903: 317).
Durante las primeras décadas del siglo otros forestales se ocuparán del tema, en especial Octavio Elorrieta, uno de los redactores de la revista España Forestal y profesor de Ordenación de montes en la Escuela Especial. Tanto en la citada publicación como en la Revista de Montes, Elorrieta, ingeniero de la promoción de 1904 y uno de los primeros pensionados en el extranjero en el momento en que se retomó esta práctica a partir de 1907, publicó diversos artículos en los que abordaba diferentes cuestiones relacionadas con la economía forestal (por ejemplo, Elorrieta, 1913 y Elorrieta, 1915). Elorrieta fue probablemente el personaje más influyente en materia forestal en España del primer tercio del siglo XX. Director general de Montes durante la Dictadura de Primo de Ribera, fue el auténtico artífice de la creación del Instituto Forestal de Investigaciones y Experiencias, que desempeñó un importantísimo papel en la modernización de la ciencia forestal en España.
|
|
| Figurta 5. Octavio Elorrieta presidiendo la inauguración de la Semana Forestal en el Salón de Ciento del Ayuntamiento de Barcelona (1929). |
En 1920, publicó su libro Principios de economía forestal española, ampliamente utilizado como manual en la Escuela, y en el que se abordan ampliamente todas las cuestiones relacionadas con la renta del suelo según el enfoque de Faustmann, el índice centesimal y el turno financiero de Pressler. Sin embargo, no es a este texto al que ahora nos referiremos sino a un texto anterior, de 1918, que aunque anónimo creemos atribuible a Elorrieta[12]. El texto en cuestión, publicado bajo la entrada "Monte. Dasonomía", en la Enciclopedia Universal Europeo-Americana Espasa-Calpe, es un apretado estado de la cuestión sobre el tema, de extensión no desdeñable (32 páginas de la Enciclopedia) que inevitablemente recuerda la entrada "Monte, Ciencia de" publicado unos sesenta años antes por Agustín Pascual en el Diccionario de Agricultura práctica y Economía rural. Hemos reproducido en el anexo 7 la parte referente al funcionamiento del capital forestal, en especial en lo que se refiere a la cortabilidad financiera y al tanto por ciento indicador, que expone de forma integrada y con el recurso de métodos gráficos tomados del forestal francés Huffel. En su conjunto, son una excelente exposición del tipo de enfoque de la economía forestal según la línea Faustman-Pressler, de la que además intenta obtener orientaciones prácticas para las diferentes tipos de propiedad que presentaban los montes de aquel momento. Así, propondrá que en los montes del Estado, al desempeñar fundamentalmente un papel social y/o protector, el tipo de cortabilidad a aplicar debe ser de turnos largos y baja tasa de interés. Como en su opinión los montes pertenecientes a los municipios revisten parecida función social, los turnos deberán ser igualmente largos. En cambio, en los montes de los particulares "es si duda el turno financiero, o sea la colocación al máximo interés, el único criterio aceptable" (p. 450). Y a modo de resumen concluye el apartado del siguiente modo:
"Hoy por hoy, la disminución en la demanda de grandes piezas de construcción, procedente del empleo del hierro, acero y hormigón armado, hace casi general la conveniencia de la cortabilidad financiera, salvo en los montes de protección, o en los que por razones especiales haya que adoptar un criterio extraforestal de explotación. Por lo demás, en los primeros basta ordinariamente aplicar el turno correspondiente a la edad en que igualan el crecimiento medio anual, para satisfacer tanto el fin de protección como el de abasto del mercado de piezas de grandes dimensiones" (p. 450).
Que en una obra como la Enciclopedia Espasa vieran la luz esta clase de planteamientos es una señal clara de la existencia de un importante grado de aceptación de los mismos, a los que por otra parte la propia Enciclopedia contribuía en medida nada desdeñable.
En 1930 Elorrieta inspiró unas nuevas Instrucciones de Ordenación que debían sustituir a las elaboradas por Olazábal cuarenta años antes, y que incorporaban todos los criterios antes señalados, pero que sin embargo nunca fueron aplicadas en la práctica debido a las circunstancias políticas y sociales del período. Pero era la expresión de la incorporación plena e institucional a la ciencia forestal española de unos planteamientos que hemos ido rastreando desde mediados del siglo XIX.
Notas
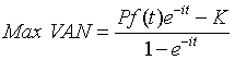
[1] En términos modernos la fórmula de Faustmann puede expresarse de la siguiente manera:
,
donde:
Máx VAN = Máximo valor actual neto
P = precio de la madera
t = turno
i = tipo de descuento
K = costes de la plantación
(Romero, 1997: 131)
[2] Olazábal incluye dentro de la cortabilidad mercantil tanto la que resulta de los intereses exclusivamente lucrativos del propietario particular, como de la es consescuencia de la necesidad de obtener piezas de grandes dimensiones (por ejemplo, para la Armada, a la que Agustín Pascual llamaba cortabilidad industrial). En consecuencia, para Olazábal, la cortabilidad mercantil tanto puede abarcar turnos cortos como muy largos:
"Estas miras, en un propietario particular, serán generalmente lucrativas, pero, en el Estado, podrán responder a previsiones gubernamentales, como las de obtener piezas de grandes dimensiones, destinadas a las construcciones de la Armada, y que no pueden lograrse, sino mediante turnos extraordinariamente prolongados, en los que sólo puede pensar una entidad imperecedera y desinteresada. Pero, lo mismo el individuo que el Estado, cada cual dentro de su objeto, atiende a la naturaleza del producto que busca, y no al monte que ha de darlo. Uno y otro miran sólo el mercado; el individuo, para ver lo que éste demanda y paga mejor; el Estado, para ver lo que hay en él, a fin de poder suplir por sí mismo lo que no hay y necesita. Ni el Estado se cuida de la mayor producción, ni el individuo de la mejor. En la cortabilidad mercantil, todo es extrínseco con relación al monte" (Olazábal, 1883: 178-179)
[3] Estos artículos fueron “Das Verhältnis zwischen Holtz und Bodenwert“, en Allgemeine Forst-und Jagd-Zeitung, 1853, 204-210,” In welchem Alter sind Holzbestände- und Bodenwerter einander Gleich“, en Allgemeine Forst- und Jagd-Zeitung, 1853, 364-68, y “Wir berechnet man den Geldwert junger, noch nicht haubarer Holtzbestände, oder überhaupt den Produktionswert eines Holzbestandes“, en Allgemeine Forst- und Jagd-Zeitung, 1854, 81-86, 330-332 (Löfgren 2000: 151-152).
[4] La fórmula a que llega Pressler para la determinación del índice centesimal o tanto por ciento indicador puede encontrarse en Pressler, 1860. Una explicación manualizada del mismo puede verse en Judeich, 1913: 80-99 y Judeich, 1893-94: 513-521 (1893), 305-311, 327-331 (1894). Una comparación de la fórmula de Pressler con las variantes utilizadas por otros autores, se encuentra en Herbella, 1911: 823-829.
[5] Eran estas unas conclusiones que sintonizaban perfectamente con la línea principal del pensamiento forestal germano, en especial con la representada por Heinrich Cotta. Una opinión, sin embargo, que por aquella época era compartida por personalidades alejadas profesionalmente de los forestales y poco sospechosas de sintonizar con el conservadurismo político y social que en ocasiones se les ha achacado. Por ejemplo, en el segundo volumen de El Capital, publicado póstumamente por F. Engels en 1886, podemos leer la opinión al respecto de Karl Marx:
“El largo período de producción (que incluye un período relativamente corto de trabajo), y por tanto la larga duración de sus períodos de rotación, , hace de los cultivos forestales una base de inversión poco favorable para una empresa privada y, por consiguiente, capitalista, la cual no perderá este carácter aunque en vez del capitalista individual la regente una sociedad capitalista. En general, el desarrollo de la cultura y de la industria se ha traducido siempre en la tendencia celosa a destruir los bosques y todo lo que se ha intentado para la conservación y producción de la riqueza forestal representa un factor verdaderamente insignificante al lado de aquella tendencia” (K. Marx, 1867-94 [1973, II]: 217).
[6] Afirmación que en cierto modo corrobora Lucas de Olazábal en su Ordenación y valoración de montes, de 1883, al indicar que García Martino había intentado dar "aire de generalidad" a este tipo de demostraciones empíricas (como por ejemplo la expuesta por el forestal francés Parade, al que concretamente se refiere) mediante "fórmulas algebraicas" y, que, aunque equivocado, el trabajo de García Martino "es, en su género, uno de los mejores" (p. 160).
[7] En especial, cabe mencionar la revista La topografía moderna y el Catastro, que fundó y dirigió entre 1895 y 1897, y su Tratado de topografía moderna (Barcelona, 1903, 2 vols.)
[8] "Y mientras, en particular no se sepa, todo cuanto se diga acerca de la edad, en que los valores de cada rodal denotan la renta media anual máxima, gira inseguro. Háblase mucho de ello, sin embargo, y aún se asienta, por algunos, con cierto aplomo, que el Turno Hacendístico, se señala en todos los casos, años antes que el Técnico" (Olazábal, 1883, p. 184)
[9] "En el segundo caso, o sea cuando se puede cortar toda la parte aprovechable sin obtener renta constante y sin destinar el terreno a otro empleo que a la producción de maderas y leñas, hay que valuar separadamente las existencias, el suelo y los productos secundarios. Como no se puede realizar de una vez todas las existencias, porque las plantas nuevas apenas tienen valor y todas ellas no hallarían mercado a la vez, hay que distinguir la cantidad de productos que se pueden vender después. Las primeras se gradúan por su valor presente y las segundas por las probabilidades de su valor futuro, considerando además el crecimiento y la pérdida del interés.
Determínase además el valor del suelo como medio para la producción forestal, se agrega a este resultado el valor de los productos secundarios, y la suma total, menos los gastos de administración y de contribuciones, representa el valor real del monte" (t. IV, p. 557)
[10] Arrillaga, el traductor de Heyer, fue profesor de Ordenación y Valoración de montes desde 1870 hasta 1872, y en tal contexto se enmarca su traducción, para ser utilizada como manual en la Escuela. Lucas de Olazábal, que también fue profesor de Ordenación en los años siguientes, utilizaba también la traducción de Heyer como manual, según consta en la Revista de Montes (1880, p. 453-454), y debió continuar utilizándose durante bastante tiempo.
[11] En el artículo publicado en la Revista de Montes, se utiliza la inexistente palabra finalciell, sin duda debido a un error tipográfico.
[12] Octavio Elorrieta formaba parte del cuerpo de redactores de la Enciclopedia Espasa y, cuando se publicó el referido artículo, era profesor de Ordenación en la Escuela de Montes, lo que le convertía en la persona idónea para redactarlo. De todas formas, lo que nos induce a pensar que el artículo fue escrito por Elorrieta son las numerosas coincidencias en la formulación de los temas con otros escritos suyos, tanto anteriores como posteriores, incluidos algunos de los gráficos.
ARRILLAGA, Francisco de Paula (1872). Prólogo a Gustavo HEYER, 1872.
ARRILLAGA, Francisco de Paula. Ordenación y valoración de montes, por D. Lucas de Olazábal. Revista de Montes, t. VIII, 1885, p. 144-155.
BALAGUER, Víctor, GARCÍA MARTINO, Francisco. Memoria elevada al Excmo. Sr. Presidente del Consejo de Ministros por la Dirección General de Estadística sobre los trabajos ejecutados por la misma desde 1º de octubre de 1868, hasta 31 de diciembre de 1869. Madrid: Manuel Minuesa, 1870, 563 p.
BOSCH, Alberto. Juicio crítico acerca de los cuadrinomios de Rowan Hamilton. 1873, p. 526.
BOSCH, Alberto. Demostración analítica de una importante ley forestal. Revista forestal, económica y agrícola, t. III, 1870, p. 505-516.
BOULDING, K. E. The Theory of a Single Investment. Quarterly Journal of Economics, t. 49, 1935, p. 475-494.
CASALS COSTA, Vicente. Los ingenieros de montes en la España contemporánea (1848-1936). Barcelona: Ediciones del Serbal, 1996, 432 p.
CHANG, Sun Joseph. One formula, myriad conclusions, 150 years of practicing the Faustmann Formula in Central Europe and the USA. Forest Policy and Economics 2, 2001, p. 97-99.
CLEBSCH, A. Un problema de la ciencia de montes. Revista forestal, económica y agrícola, t. II, 1869, p. 513-523, 577-589, 641-650, 705-717. La serie de artículos van firmados por Francisco García Martino, aunque en realidad éste sólo es autor de una pequeña introducción y de la traducción del original alemán, como por otra parte explícitamente García Martino señala en la mentada introducción.
DÍAZ BALTEIRO, Luis. Elección de la tasa de descuento en la gestión forestal. I Congreso Forestal Hispano Luso. II Congreso Forestal Español. Libro de Actas Mesa 8. Pamplona: Gobierno de Navarra, 1997, p. 443-448.
ECHEGARAY, José [1866]. Historia de las matemáticas puras en nuestra España. En GARCÍA CAMARERO, Ernesto y Enrique (comp.). La polémica de la ciencia española, Madrid: Alianza Editorial, 1970, p. 161-190.
ELORRIETA, Octavio. La Economía forestal. Revista de Montes, t. XXXVI, 1913, p. 355-363.
ELORRIETA, Octavio. El capital de los montes y su rendimiento. España Forestal, t. I, 1915, p. 12-15, 32-35.
[ELORRIETA, Octavio]. Montes. Enciclopedia Universal Europeo-Americana Espasa-Calpe t. 36. Madrid: Espasa-Calpe S.A., 1918, p. 437-469.
ELORRIETA, Octavio. Principios de economía forestal española. Madrid: Librería Internacional de Romo, 1920, 228 p.
ELORRIETA, Octavio. Instrucciones para la ordenación y organización económica de la producción forestal. Gaceta de Madrid, núm. 37, 1930, p.996-1013.
ENDERS, Max. Lehrbuch der Waldwertrechnung und Forststatik. Berlín: J. Springuer, 1894.
FAUSTMANN, Martin. Berechnung des Wertes welchen Walden sowie noch nicht haubare Holzbestände für die Waldwirtschaft besitzen. Allgemeine Forst- und Jagd-Zeitung, 15, 1849, p. 441-455. Versión inglesa en Journal of Forest Economics 1:1, 1995, p. 743.
FERNÁNDEZ TOMÁS, J. G. Bases económicas de la ordenación de montes arbolados. II. Modelos económicos de turno financiero. En MADRIGAL COLLAZO, Alberto. Ordenación de montes arbolados. Madrid: ICONA, 1994, p. 111-124.
GARCÍA MARTINO, Francisco. Consideraciones generales sobre la historia y la literatura de la ciencia forestal en Alemania. Revista forestal, económica y agrícola, t. I, 1868, p. 197-205, 383-395, 514-537, 612-630.
GARCÍA MARTINO, Francisco. Consideraciones económicas sobre la propiedad forestal. Revista forestal, económica y agrícola, t. II, 1869, p. 27-42, 79-97, 129-144, 193-226, 257-270, 321-339, 385-403, 449-459.
HELLES, Find and LINDDALL, Michael. Early Danish Contributions to Forest Economics. Journal of Forest Economics 3:1, 1997, p. 87-103.
HERBELLA, Eduardo. La determinación del turno financiero. Revista de Montes t. XXVI, 1903, p. 317-321.
HERBELLA, Eduardo. Fórmulas del tanto de crecimiento por ciento. Revista de Montes t. XXXIV, 1911, p. 823-829.
HEYER, Gustavo. Compendio de valoración de montes. Madrid: Imprenta Nacional, 1872, 123 p. Traducido del alemán por Francisco de P. Arrillaga.
HOTELLING, H. The Economics of Exhaustible Resources. Journal of Political Economy, 39, 1931, p. 137-175.
JOHANSSON, P.-O., LÖFGREN, K.-G. The Economics of Forestry and Natural Resources. Oxford: Basil Blackwell, 1985.
JORDANA, Ramón: Sobre la rentabilidad del método de beneficio de monte alto, Revista forestal, económica y agrícola, t. III, 1870, p. 111-123.
JUDEICH, Federico. El índice centesimal. Revista de Montes t. XVI, 1893-94, p. 513-521 (1893), 305-311, 327-331 (1894).
JUDEICH, Federico. La ordenación de montes. Madrid: Imprenta de Ricardo F. de Rojas, 1913. Traducida al castellano por Eduardo Herbella y Zobel a partir de la sexta edición alemana ampliada por el Dr. Max Neumeister, 1904.
JUNTA FACULTATIVA DEL CUERPO DE INGENIEROS DE MONTES. Real Decreto de 26 de octubre de 1853 para la ejecución de la Ley de 1º de mayo del mismo año en la parte relativa a la desamortización de los montes y el informe emitido con este objeto por la unta Facultativo del Cuerpo de Ingenieros del ramo. Madrid: Imprenta del Colegio de Sordo-mudos, 1855, 105 p.
LEUSCHNER, William A., WISDOM, Harold W., KLEMPERER, W. David. Uso múltiple de los recursos forestales. En YOUNG, Raymond A. (compilador). Introducción a las ciencias forestales. México: Noriega Limusa, 1991, p. 305-335.
LÖFGREN, Karl-Gustaf. Knut Wicksell on the Optimal Rotation Problem in Forestry. Journal of Forestry Economics 1:2, 1995, p. 153-164
LÖFGREN, Karl-Gustaf. Faustmann and the Invention of das Spiegel-Hypsometer. Journal of Forest Economics 6:3, 2000, p. 151-152
MARX, Karl. El Capital. Crítica de la Economía Política. México: Fondo de Cultura Económica, 1973 [1867-1894], 3 vol.
MENDOZA BRISEÑO, Martín Alfonso. Conceptos básicos de manejo forestal. México: UTEHA, 1993,161 p.
MILLÁN GÓMEZ, J. A., MILLÁN GÓMEZ, J. S. Desarrollos recientes en modelos de turno financiero. I Congreso Forestal Hispano Luso. II Congreso Forestal Español. Libro de Actas Mesa 4, Pamplona: Gobierno de Navarra, 1997, p. 411-416.
MÖHRING, Bernhard. The German struggle between the ’Bodenreinertragslehre’ (land rend theory) and ’Waldreinertragslehre’ (theory of the highest revenue) belongs to the past – but what is left? Forest Policy and Economics 2, 2001, p. 195-201.
MOOG, Martin, BORCHERT, Herbert. Increasing rotation periods during a time of decreasing profitability of forestry – a paradox?. Forest Policy and Economics 2, 2001, p. 101-116.
MURO, J. I., NADAL, F., URTEAGA, L. Geografía, estadística y catastro en España, 1856-1870. Barcelona: Ediciones del Serbal, 1996, 275 p.
OHLIN, B. Till frågan om skogarnas omloppstid. Ekonomisk Tidskrift, 22, 1921. Traducido en Journal of Forest Economics 1:1, 1995, p. 89-114.
OLAZÁBAL, Lucas de [con el seudónimo de A. B.] Montes. Cinco artículos publicados en La América acerca de este importante ramo. Pamplona: Imprenta de la Unión Artística, 1862, 38 p.
OLAZÁBAL, Lucas de. Ordenación y valoración de montes. Madrid: Imprenta de Moreno y Rojas, 1883, 517 p.
OLAZÁBAL, Lucas de. A cada cual lo suyo. Revista de Montes, t. VIII, 1884, pág. 313-316.
PASCUAL, Agustín Elogio del Ilmo. Sr. D. José Mariano Vallejo, leído en la sesión pública de la Sociedad Económica Matritense del día 28 de diciembre de 1848 por el socio D. Agustín Pascual. Madrid: Imprenta del Colegio de Sordo-mudos, 1849, 20 p.
PASCUAL, Agustín. Montes, Ciencia de. En ESTEBAN COLLANTES, A., ALFARO, A. Diccionario de Agricultura práctica y Economía rural. Madrid: Imprenta de D. Antonio Pérez Dubrull, t. IV, 1852-1855, p. 485-567.
PASCUAL, Agustín. Sistemas forestales. Revista forestal, económica y agrícola, t. III, 1870, p. 49-59, 97-110, 145-162, 193-207, 241-255, 289-306, 337-358, 385-396, 433-452, 529-539.
PASCUAL, Agustín. Rapport sur l’état, l’organisation et le progrès de la statistique en Espagne présenté a la huitieme session du Congrès International de Statistique. Madrid: Imprimerie de T. Fortanet, 1872, 64 p.
PASCUAL, Agustín. Don Miguel Bosch y Juliá. Revista de Montes, t. III, 1879, p. 441-467.
PRESSLER, M. R. Der Rationella Waldwirth und sein Walbau des höchsten Ertrags. Zweites Buch: Die Forstliche Finanzrechnung mit Anwendung auf Wald-Wertschätzung und –Wirtschaftsbetrieb. Dresde: Woldemar Türk, 1859.
PRESSLER, M. R. Aus der Holzzuwachlehre (zweiter Artikel). Allgemeine Forst- und Jagd-Zeitung, 36, 1860, p. 173-191. Traducción inglesa Journal of Forest Economics 1:1, 1995, p. 45-86.
RAMOS GOROSTIZA, José Luis y TRINCADO AZNAR, Estrella. Ideas económicas y gestión forestal en el ámbito ibérico, 1848-1936 (I): España. Documentos de Trabajo de la Facultad de Ciencias Económicas y Empresriales, Universidad Complutense de Madrid, 2001. <http://www.ucm.es/BUCM/cee/doc/01-28/0128.pdf>
REY PASTOR, Julio, BABINI, José. Historia de la Matemática. Barcelona: Gedisa editorial, 1997, 2 vols.
REY PASTOR, Julio. Las Matemáticas en España durante el siglo XIX. Revista de Montes, t. XXXIX, 1915, p. 898-904, 936-949. Puede encontrarse otra edición con el título de “El Progreso de España en las ciencias y el progreso de las ciencias en España” en La polémica de la ciencia española, compilada por Ernesto y Enrique García Camarero (Madrid: Alianza Editorial, 1970), en la que han sido suprimidas todas las notas y referencias bibliográficas.
ROMERO, Carlos. Economía de los recursos ambientales y naturales. Madrid: Alianza Editorial, [2ª ed.], 1997, 214 p.
RUIZ AMADO, Hilarión [bajo el seudónimo de Un máscara sin careta]. Los montes españoles bajo el punto de vista de su desamortización y administración. Gerona: Imprenta de Dorca, 1862, 127 p. + anexo estadístico.
RUIZ AMADO, Hilarión. Cortabilidad. Revista forestal, económica y agrícola, t. II, 1869, p. 65-78, 283-292.
RUIZ AMADO, Hilarión. Estudios forestales. Los montes en sus relaciones con las necesidades de los pueblos. Tarragona: Imprenta de Puigrubí y Aris, 1870-1872, 2 vol.
SAMUELSON, P. A. Economics of Forestry in an Evolving Society. Economics Inquiry, 14, 1976, p. 466-492. Reproducido en Journal of Forest Economics 1:1, 1995, p. 115-149.
SCHUMPETER, Joseph A. Historia del análisis económico. Barcelona: Ariel, 1995, 1377 p.
SECKENDORF, V. Gustavo Heyer. Revista de Montes t. VII, 1883, p. 453-459.
WILLIAMS, M. R. W.La presa de decisions en la gestió forestal. Barcelona: Diputació de Barcelona, 1990, 140 p.
X. Un problema forestal. Revista de Montes, t. VIII, 1884, p. 196-207.
X. Dos palabras. Revista de Montes, t. VIII, 1884, p. 337.Junta facultativa del CUERPO DE INGENIEROS DE MONTES. Real Decreto de 26 de octubre de 1855 para la ejecución de la Ley de 1º de mayo del mismo año en la parte relativa a la desamortización de los montes, y el informe emitido con este objeto por la Junta facultativa del Cuerpo de Ingenieros del ramo. Madrid: Imprenta del Colegio de sordomudos, 1855, p. 18-23
La mayor producción en especie da la menor renta en el beneficio de los montes
Si en el aprovechamiento de los montes la mayor producción en dinero correspondiese a los mayores productos en especie, el problema de los montes sería fácil de resolver: en rigor no habría cuestión bajo el punto de vista económico. Pero la producción forestal es de índole singular, como vamos a ver.
La ciencia dasonómica conoce la ley que sigue el crecimiento de los montes. Para representar las variables de las fuerzas forestales entre los extremos de la fertilidad y la esterilidad se han fijado ciertos valores, expresando cada uno de ellos la cantidad en volumen de maderas y leñas que se puede obtener de los vegetales leñosos, en una edad cualquiera, según los diferentes sistemas de beneficio y los diversos métodos de cortas. Comparando entre sí los valores de las tablas de productibilidad forestal se nota que los productos absolutos van aumentando a medida que aumenta el turno, o sea, la edad del aprovechamiento. Los productos medios anuales se obtienen dividiendo los productos absolutos por el número de años a que se ha fijado el turno. En todas las especies leñosas estudiadas hasta aquí se halla que el mayor producto anual siempre se verifica en turnos muy altos. Las especies de madera dura, como el roble, dan el máximo de producto anual a los 150 años; las coníferas, de 80 a 120 años; los árboles de madera blanda, de 55 a 65 años. De manera que, sea cual fuere la especie arbórea y la naturaleza del suelo, únicamente se obtiene el máximo de los productos leñosos cuando la propiedad forestal se beneficia en monte alto o maderable. Y no es seguramente insignificante la diferencia: los robledales colocados en tierras de igual calidad dan la relación de uno o dos, en los productos anuales de 25 a 150 años. La fisiología vegetal está de acuerdo con este principio, resultado de observaciones irrecusables y de gran importancia práctica. De él se infiere que dando el monte alto mayores cantidades de productos leñosos que los montes bajo y medio, es el que más aumenta la riqueza pública. Desgraciadamente, es el que menos se aviene a los intereses privados.
Desde el momento en que se empieza a crear un monte principian también las operaciones de la acumulación de réditos en este género de producción. Por un lado está el capital del terreno, cuyos réditos se van acumulando, gradual y sucesivamente, y por otro están los gastos de producción, cuyos réditos se acumulan. Se concibe con facilidad que en un monte figuran dos capitales: el del suelo y el capital aditivo, procedente del crecimiento anual de los árboles, el cual va aumentando a medida que es mayor el turno del aprovechamiento.
La suma del capital del suelo y del capital aditivo, o sea del valor de las existencias del monte después de verificada la corta, comparada con esta misma corta, que viene a ser la renta, nos da la medida del interés de la producción. En los hayales beneficiados al turno de 120 años, es menester conservar en pie 39 veces la cantidad del crecimiento anual. Una cosa análoga pasa en los robledales; y en las coníferas hay que conservar en pie cantidades mucho mayores. Beneficiados los hayales en monte bajo, al turno de 10 años, por ejemplo, sólo debe conservarse en pie el quíntuplo del crecimiento anual.
La escala de crecimientos sucesivos en especie nos sirve para conocer, al cabo del turno en cada edad, el volumen de la corta anual y el de las existencias, y con estos datos se puede determinar la relación entre el rédito y el capital. Dos montes de la misma cabida, situados en el mismo país, en un suelo de igual calidad, poblados por las mismas especies, pero ordenados a distintos turnos, si bien pueden dar la misma renta, es porque representan dos partidas diferentes en capital y que sólo dan igual renta por la diferencia del interés. La simple inspección de los números que figuran en las tablas del crecimiento de las especies arbóreas, ponen de manifiesto que ese crecimiento sigue una marcha que se aproxima a una progresión aritmética creciente, así como la serie de los intereses que van resultando de la comparación de las existencias y la corta anual, al prolongar el turno, disminuye siguiendo a corta diferencia una progresión aritmética decreciente. El resultado definitivo es, que hay un antagonismo entre la producción leñosa y la producción pecuniaria; antagonismo que causa, que a mayor producción en especie, no corresponda mayor producto en dinero, como sucede en todos los casos en que no entra como factor principal el tiempo en períodos seculares. La pequeñez del rédito a turnos largos; los riesgos a que quedan expuestos los capitales por el peligro que corre la conservación de la gran cantidad de existencias que hay que sostener en pie para llegar a obtener productos maderables; el aumento del rédito cuando aquellos son cortos; la facilidad de realizar las existencias leñosas que hay y debe haber siempre en esta clase de fincas; la inferioridad de su producto neto, comparado con el de la mayor parte de las tierras de labor; el alto precio de los transportes inherentes al volumen extraordinario de sus productos; las aplicaciones erróneas del principio de la división de la propiedad, y el aprovechamiento ilimitado de pastos, son las causas poderosas que impiden al interés individual aplicar sus colosales recursos a las maderas de grandes dimensiones.
Esta es en resumen la clave que explica una porción de hechos estadísticos, económicos, legislativos y administrativos dignos de llamar la atención de los Gobiernos. Ya no debe sorprender, al examinar la estadística forestal de Europa, que por regla general los montes que rinden la menor cantidad de productos leñosos y que dan un rédito de 3 a 4 por 100, con relación al capital en metálico que representan, se encuentren en poder de los particulares, de los Propios y Comunes; que los montes cuyos turnos están entre 60 y 140 años, que dan una producción media en especie y una renta de 2½ a 1¾ por 100, se hallen en poder del Estado de los Propios y Comunes ricos; que los montes cuyos turnos están entre 140 y 240 años, que dan una gran producción en especie y un rédito de 1½ a 1 por 100, pertenezcan por lo regular al Estado; y, por último, que todos los montes cuyos turnos están entre 240 y 300 años, que dan una producción exuberante en especie, y una renta mínima de ¾ a ½ por 100 estén exclusivamente en poder del Estado. Esta clasificación de la riqueza forestal significa, que unos montes sirven para la producción de pastos y leñas, otros para producción de maderas de medianas dimensiones, y otros para satisfacer el consumo de maderas de gran tamaño. Que ningún capital empleado en montes produce mucho, si se atiende a lo que suele ganar el dinero en nuestro país. Que los montes producen más o menos según las funciones económicas llamadas a ejercer en la organización de la producción forestal. Si un acontecimiento cualquiera disloca los capitales forestales, haciéndoles pasar de una clase a otra de las indicadas, los resultados son fatales, según enseña una larga experiencia. En ningún país de Europa, en donde la propiedad forestal haya sido regularmente respetada, los montes altos de dominio particular han dado tanta cantidad de productos como los del Estado; y si no consúltense las estadísticas. El interés individual rechaza la creación y conservación de los montes maderables, porque le dan un interés mezquino. Esta es la verdadera causa de que ese cúmulo de disposiciones, coercitivas y protectoras de los Gobiernos, encaminadas a que el interés privado tomara una parte activa en la producción de maderas, hayan sido ineficaces.
Los pueblos, olvidando con frecuencia el principio de que los montes municipales no pertenecen exclusivamente a los individuos de la comunidad actual, sino al ser moral llamado pueblo, con necesidades futuras que respetar, participan de las miras e intereses que dirigen a los particulares en cualquier ramo de producción, y tienen un interés en percibir rentas frecuentes y el mayor rédito posible.
Dos legítimas consecuencias pueden sacarse de cuanto va expuesto en este informe, a saber:
1ª. Que al Gobierno le corresponde asegurar la conservación y fomento del monte maderable, sin perjuicio de aquellos montes que, aún cuando no lo sean, convenga sin embargo conservar por su benéfica influencia en la física del globo.
Y 2ª. Que el interés privado prefiere el monte bajo al monte maderable.
La Junta, Excmo. Señor, no dista de prometerse que sus doctrinas sean aceptadas sin réplica por todo el mundo. Sería demasiado pedir en una época de discusión, de inquietud y de desconfianza como la que alcanzamos. Hay hombres, que no dejan de tener su mérito, tan extremados en todo, a quienes el hecho más insignificante les sirve de base para establecer o para derribar un sistema. Un simple movimiento en ciertos órganos de determinadas plantas ha bastado a algunos para admitir en los vegetales una sensibilidad idéntica a la de los animales. La idea de que en la oscuridad hasta las partes verdes de los vegetales desprenden ácido carbónico, ha sido suficiente para que otros nieguen que la respiración vegetal sea inversa a la de los animales, así como la utilidad de los arbolados en la salubridad pública y en la modificación de los climas. Se extiende el uso del carbón mineral; reemplazan las chimeneas en los buques de vapor a las grandes arboladuras, y ya no faltan espíritus ligeros que querrían hacernos olvidar de la utilidad de las leñas y maderas. Algunos miles de árboles hermosean un magnífico jardín o parque inglés; y ya hay quien deduzca que los particulares lo mismo pueden poseer los montes altos que los montes bajos.
La Junta ha procurado no incurrir en el defecto que censura. Al ocuparse de las funciones de los montes en la física del globo, sólo ha aducido las razones más obvias, prescindiendo de otras a las que los antiguos daban grande importancia, y que en el estado actual de las ciencias exactas carecen de fuerza. En la parte de economía forestal no se ha separado de la senda trazada por los sabios de más reputación en la ciencia dasonómica.
Por lo demás, a la Junta no le alarma más de lo que es justo el temor de la carestía de un artículo de primera necesidad, para cuya producción se necesitan siglos, sin embargo de los adelantos de la ciencia y de la pujanza del dinero. Pero a la verdad, tampoco la tranquilizan completamente los que todo lo esperan del carbón fósil, del hierro y de los nuevos combustibles y sustancias metálicas que, según ellos, sin duda conquistará la ciencia. Admite la Junta que la aplicación del carbón mineral al beneficio de las minas de hierro y a las máquinas de vapor, ha cambiado el aspecto de las naciones civilizadas, y que el hierro aventaja a todos los otros metales juntos en la importancia de sus aplicaciones. No obstante, ni el carbón fósil ni el hierro pueden suplir a ciertos usos de las leñas y de las maderas. Que habrá una temible concurrencia; que habrá lucha entre los hierros y las maderas; entre el carbón de piedra y las leñas: concedido. Mas esto no es motivo suficiente para que se abandone la producción forestal, y menos en nuestro país. Los vergonzantes bosques subterráneos durarán todo el tiempo que quieran sus apasionados; pero de seguro no sobrevivirán a los que se reproducen en la superficie de la tierra; a los que verdean a la luz del sol; a los que embellecen el país; a los que protegen a la agricultura y al hombre; a los que por tantos títulos se recomiendan a la solicitud del Gobierno de S. M.
A. B. (seudónimo de Lucas de OLAZÁBAL). Montes. Cinco artículos publicados en La América acerca de este importante ramo. Pamplona: Imprenta de la Unión Artística, 1862, p. 16-23.
CONTINUACIÓN DE LA RÉPLICA
"En la propiedad forestal, a medida que aumenta la renta en especie decrece la renta en dinero". Tal es el principio fundamental de la doctrina que tenemos que combatir hoy, cumpliendo con el compromiso solemnemente adquirido en nuestro artículo anterior.
Cuando Alfonso el Sabio examinaba el inarmónico sistema de Tolomeo, confundiendo la obra de éste con la obra de Dios, decía que, si él hubiera aconsejado en la creación, el mundo hubiera salido más perfecto. En cambio, otro sabio más sano que nuestro Alfonso, Kepler, en vez de proferir semejante blasfemia, a vista del mismo sistema, exclamó: Esto no puede ser obra de un Dios que es todo armonía; y tomando tan profundo sentimiento por punto de partida, arrebató, según su magnífica expresión, los vasos al Egipto, y construyó con ellos el Tabernáculo de Israel; es decir, descubrió las majestuosas armonías del Universo y diolas a conocer en su inmortal Sistema planetario.
El contraste que presenta la impiedad y la fe entre los pensadores acerca del mundo físico, se manifiesta con enérgica analogía, entre los que discurren sobre el mundo económico y social. Proudhom y los suyos, creyendo o afectando creer que todas las leyes económicas y sociales habían sido verdaderamente interpretadas por Smith, Say, Malthus, Ricardo y otros, hicieron de esta interpretación un sangriento análisis y exhibieron su espantable antinomia, gritando a la sobrecogida sociedad: "déjate reconstruir bajo las nuevas leyes que te dictaremos, o pereces consumida por la contradicción eterna que rige tu modo de ser actual". Por fortuna la ciencia económica tuvo su Kepler en Bastiat, que diciendo: "antes que en todo creo en Dios", supo distinguir y separar la verdad del error, la ley de la falsa interpretación dada en los libros de los economistas, y socavando de esta suerte el cimiento sobre el que colocara su pedestal la moderna antropolatría, hizo caer a ésta entre los silbidos del buen sentido, repuesto ya, proclamando victorioso el siguiente principio consolador: "Todos los intereses legítimos son armónicos".
[…]
Meditando sobre ese antagonismo entre la renta en especie y la del dinero, antagonismo del cual se ha querido hacer la piedra angular de la economía forestal, no hemos podido menos de evocar todo lo que antecede, para preguntar a la vez: ¿será efectivamente esa repulsión entre las dos rentas una verdad, y una verdad constante? ¿Es posible que la producción forestal esté sometida a una triste excepción de las leyes generales de economía que al lado del sacrificio ponen la compensación? ¿Es posible que la inteligencia y la perseverancia, galardonadas en todos los ramos de producción, sólo en los montes sean invariablemente pagadas por una decepción amarga? ¿Es posible que un país no pueda obtener maderas indígenas más que a costa de estériles dispendios? ¿Es posible que sólo los montes ofrezcan un altar eterno e inviolable al principio de amortización? Posible e irremisible, contestan a todo esto los hombres que pasan por oráculos de la ciencia de montes; pero el sentimiento, reclamando la respuesta como juicio de su jurisdicción, se muestra desde luego contrario a lo declarado por los flemáticos preceptores; y creemos que en éste, como en muchos otros casos la razón está en el sentimiento.
Para demostrarlo, empezamos por abrir el libro de uno de esos clásicos y exponer, tomando de él el armazón completo de guarismos que sirve de sustentáculo a la aflictiva proposición que nos hemos propuesto combatir. Héle aquí:
| Escala del crecimiento material o productos periódicos por hectárea de un robledal en su tercera calidad, según Cotta |
|||
| Edad del aprovechamiento |
En materia o pleno volumen |
En dinero a razón de 20 fr. el metro cúbico |
RESULTADO de la acumulación pecuniaria al rédito de 3 por 100 |
| AÑOS |
METROS CÚBICOS |
FRANCOS |
FRANCOS CÉN. |
| 1 |
1,00 |
20 |
20,00 |
| 5 |
4,68 |
94 |
106,18 |
| 10 |
9,80 |
196 |
229,28 |
| 20 |
22,59 |
452 |
537,40 |
| 30 |
37,88 |
758 |
951,50 |
| 40 |
54,73 |
1.095 |
1.508,01 |
| 50 |
73,14 |
1.463 |
2.251,91 |
| 60 |
92,95 |
1.859 |
3.261,02 |
| 100 |
184,75 |
3.695 |
12.145,54 |
| 150 |
296,14 |
5.923 |
55.500,74 |
"Este estado nos indica en sus columnas 3ª y 4ª que, al fin de un período de cinco años, la acumulación de los productos en especie no ofrece más que un valor de 94 francos, mientras que la acumulación de los intereses pecuniarios se eleva a 106 fr. 18 cént.; que a los diez años la acumulación leñosa no ofrece más que un valor de 196 fr.; mientras que la pecuniaria se eleva a 229 fr. 28 cént.; ….. finalmente, después de un turno de 150 años, la acumulación pecuniaria da la cantidad de 55,500 fr. 74 cént., mientras que la acumulación leñosa no presenta más que un valor de 5,923 fr."
Todo este aparato numérico que con sus comentarios se acaba de insertar, descansa en dos supuestos falsos; despójesele de ellos y se viene a tierra estrepitosamente. El primero de estos supuestos es, que un metro cúbico de chavasca de roble, que tal es el único producto que pueden dar plantas de un año, valen lo mismo que un metro cúbico de madera procedente de un pie de roble limpio de 150 años, lo cual es grandemente inexacto; pues, donde un metro cúbico de chavasca se estime en medio real de vellón, otro de madera de roble se estimará en más de seiscientos. No hablamos de memoria, ni con relación a mercados extranjeros, ni siquiera a ninguna transacción privada. En la subasta celebrada el día 20 de abril último, por nuestra marina de guerra, con el fin de adquirir madera para la construcción de buques durante dos años, el precio asignado a las de roble que tuviesen 40 pies de largo, y 20 pulgadas de ancho y otras tantas de grueso, fue el de 196 reales el codo cúbico, o sea 1,130 reales el metro cúbico. El roble cubre mucho antes de los 150 años las referidas dimensiones. Dedúzcase ahora los residuos que no pueden entrar en esta ventajosa licitación, los productos de las claras ejecutados, el coste de todas las operaciones necesarias hasta ponerlas en cualquiera de nuestros tres arsenales, pero siempre resultará que, lo menos en que pueden valuarse los 296 metros cúbicos en pie que comprenden una hectárea de un robledal en su tercera calidad, es a razón de 250 reales de vellón el metro cúbico. Nadie podrá demostrarnos, empero, que un metro cúbico de chavasca, valga en el mismo monte más de medio real.
Luego la tercera columna del preinserto estado debe ser sustituida por otra, en donde se consigne el aumento sucesivo del precio de los productos a medida que avanzan en edad, y que en unión con la segunda, revela una bellísima armonía económica de la producción forestal, armonía que ha sido olvidada por los hombres del arte, empeñados en hacer triunfar el antitético principio que se imaginaron, y que pone a los montes al amparo de esta ley de equidad, esencialmente inmutable: a mayor producción mayor provecho para quien la obtiene; armonía que es el feliz enlace de la cantidad con la calidad, de lo mayor con lo mejor, de la progresión aritmética, a que se aproxima el crecimiento leñoso en el tiempo, con la geométrica que representan los precios de los productos de las diversas edades.
Y téngase en cuenta, que la razón de esta progresión sigue creciendo a su vez decididamente. Hubo un tiempo en que la existencia de las masas de arbolado secular no tenía relación con el más leve esfuerzo por parte del hombre; habíalas puesto la Providencia en manos de éste, que considerándose agobiado con el exceso de ellas, estimaba en tanto o en menos un árbol corpulento que una carga de ramas, que iluminara calentando su hogar, y aplicaba, con despecho o con desprecio, sobre aquel el hacha o la tea incendiaria: entonces no existía esa progresión. Pero desde el momento en que el hombre empezó a tener conciencia de la necesidad de maderas, dirigió sobre la producción de este artículo ese angosto anteojo del porvenir, con que sólo a él dotó Dios, la previsión; el precio de las maderas fuese y sigue rápidamente acrecentándose en razón directa de sus dimensiones. Para nadie que tenga atento el oído al clamor de la demanda, y sepa el estado respectivo que hace diez años, por ejemplo, tenían en el mercado las maderas y el combustible vegetal, es un secreto el incomparable favor que en la actualidad alcanzan las primeras sobre el segundo, y nadie tampoco deja de presentir confiadamente que este fenómeno ha de subir de punto en lo futuro. Esto es, nadie deja de presentir que, si hoy los precios de los productos forestales obtenidos a las edades de 10 y de 150 años, están en relación de uno a trescientos, mañana estarán en proporción de uno a cuatrocientos. He ahí la justa y natural compensación para quien previsoramente se abstiene de cortar el arbolado hasta la época en que puede dar la mayor renta media anual en especie.
Nada hemos dicho hasta aquí de la cuarta columna; se sobreentiende, sin embargo, que queda también radicalmente destruida en el mero hecho de colocar por eje de generación, medio real, en vez de los veinte francos que se han tomado como tal en ella. Pero bajo este enorme lunar que cubre por completo a esa columna, o confección de cuentas galanas, tenemos que hacer notar otro de gran cuantía. Aludimos al segundo supuesto falso de que se ha partido al erigirla y que consiste en haber considerado que es incesante y segura la acumulación de los intereses durante ciento cincuenta años. ¿Quién responde de esa acumulación uniforme y no interrumpida en un tiempo que siega tres generaciones humanas?
Para que un capital formado de anualidades pasivas, por decirlo así, alcanzara el prodigioso desarrollo que en la mencionada columna cuarta se manifiesta, sería preciso que en manos de quien se ha puesto adquiriera mayor desenvolvimiento, pues de otro modo no se comprende por qué ni cómo había de pagar éste los intereses. Y bien, a pesar del inmenso crecimiento que ha experimentado el capital en los últimos ciento cincuenta años, de haber aumentado considerablemente la extracción de los metales preciosos, y de multitud de circunstancias propicias que han tenido lugar y que no pueden apenas enumerarse en un artículo, ¿habrá alguno que sostenga que el capital de que está hoy en posesión la humanidad guarda mayor relación con el que disponía hace ciento cincuenta años, que el último término de la columna que se examina con el primero? Es decir, ¿habrá alguno que sostenga que cuenta hoy la humanidad con un capital más de dos mil setecientos setenta y cinco veces mayor que el que poseía ciento cincuenta años ha? Preguntar esto siquiera, es inferir una ofensa a la razón.
Esta prueba general y decisiva, se ostenta parcial y palpitante en la historia del numerario, que, señalando frecuentes trastornos y pavorosas crisis, enseña con irresistible evidencia que, lo que se denomina interés matemático, verdadero o compuesto, no libra los límites de la abstracción aplicado, no a siglo y medio, sino a medio siglo.
Digamos ahora para coronar nuestro aserto, y en honor de la verdad, que no todos los hombres del arte están de acuerdo en este punto. Algunos, y entre ellos el más autorizado de todos, aconsejan que, en este género de cálculos, debe considerarse un interés medio entre el simple y el compuesto en vez de este último. Exagerado nos parece aun el interés medio relativamente a ciento cincuenta años; pero lo admitimos, y aplicándolo con todo lo demás que llevamos expuesto sobre el asendereado estado, queda este traducido a la verdad en la forma siguiente.
| Escala del crecimiento material o productos periódicos por hectárea de un robledal en su tercera calidad, según Cotta |
|||
| Edad del aprovechamiento |
En materia o pleno volumen |
En dinero a razón de medio real el metro cúbico de los productos de un año y de 250 rs. el de los 150 años |
RESULTADO de la acumulación pecuniaria con arreglo al interés medio y al rédito de 3 por 100 |
| AÑOS |
METROS CÚBICOS |
REALES |
REALES CÉNT. |
| 1 |
1,00 |
0,50 |
0,50 |
| 5 |
4,68 |
" " |
" " |
| 10 |
9,80 |
" " |
" " |
| 100 |
184,75 |
" " |
" " |
| 150 |
296,14 |
74.035,00 |
900,51 |
Aquí se observa y de aquí se infiere que, en la producción forestal, lejos de esa oposición fatal y constante que se ha querido hacer creer como artículo de fe dasonómico, existe entre las dos rentas, en especie y en dinero, una armonía que envidiarían otros ramos de producción, en cuya renta nadie ha pensado en hallar el antagonismo que en las de la forestal se daba por incontestable.
Ya sentimos que nos atruenan los oídos con esta observación: "Si eso es así, y puesto que a medida que aumenta la edad del aprovechamiento, aumenta la renta en especie, y el interés personal busca siempre la mayor utilidad posible, ¿cómo no están en manos de éste los montes maderables? ¿Cómo en los países en que el individuo posee montes, son éstos bajos o leñosos, es decir, aprovechados a turnos cortos?". Reconocemos desde luego la verdad del hecho en que se funda esta observación, y, suponemos por un momento que no sabemos dar razón cumplida de ella. Nunca será más que una objeción. Un profundo filósofo ha dicho, que si los hombres tuvieran interés en que los tres ángulos de un triángulo no sumaran dos rectos, no estaría, como lo está, exento de objeciones este conocido teorema, y nosotros lo creemos así; pero ¿dejaría por ello de ser cierto el indicado teorema? No, a menos que se probara ser viciosas sus demostraciones. Lo propio decimos de nuestro enunciado; analícese la prueba que le precede, y procédase en todo caso contra ella como nosotros hemos procedido contra la del principio contrario; de otro modo quedará en pie nuestra proposición, por más escollos laterales que se amontonen para ocultarla.
Sentado esto, abandonamos la hipótesis que por un momento hemos aceptado, toda vez que nos sentimos con fuerzas para contestar satisfactoriamente a la mencionada observación.
El Estado para tomar posesión de los montes, lo mismo que de las aguas, minas y demás producciones, en las cuales no puede declararse copartícipe el trabajo del hombre, no ha hecho más que decir a nombre de la entidad social que representa: "estos son míos", y le ha bastado por lo mismo, para aparecer dueño del monte maderable, la mera vigilancia, un simple esfuerzo de conservación. Al individuo no le ha sido dable hacer lo mismo –dispénsenos el lector si hacemos caso omiso de excepciones de todos conocidas– y, por lo tanto, no ha tenido lugar, respecto a él, lo segundo. Para presentarse dueño de montes le es indispensable comprarlos o crearlos, porque el sacrificio es el bautismo necesario de toda propiedad individual, y mal podría comprar o crear cuando el capital que manejaba lo empleaba íntegro en objetos de donde recabara mayor utilidad que de la producción forestal. Pero esto que explica perfectamente el pasado, tiene designado un término más o menos próximo en lo venidero.
El movimiento ascendente y progresivo del capital es innegable; se revela por multitud de hechos palmarios y se mide hasta cierto punto por la baja constante del interés, baja que constituye una ley axiomática para todas las escuelas que combaten en el campo económico. Este movimiento no se verifica a nivel en todas las naciones: la altura que señala en Holanda, no marca en Inglaterra, ni la que indica en Inglaterra, aparece en Francia, ni la que mide en Francia apunta en España, pero es general; y a medida que se eleva su nivel en cada uno de estos países, depone, como río que remonta apaciblemente su cauce, su benéfico sedimento, en sitios que nunca recibieron tal abono, y que, merced a esto, abren su seno productivo a las exploraciones del hombre.
Así se explica, como el interés individual construye con sus propias fuerzas una red vastísima de ferrocarriles en Inglaterra, cuando en otros países no se atrevería a abrir una carretera; como la Holanda y la Francia meridional mantienen una población rica y floreciente, en lugares de condiciones análogas a las de otros, en los cuales la Francia septentrional sostiene sólo algunos rebaños, cuidados por haraposos pastores; como la Francia cuenta con numerosos pozos artesianos, de donde surgen raudales de agua que convierten afrentosos eriales en campos de producción permanente, en puntos en que España no contaría, a ser suyos, una vetusta noria con que entibiar la ardiente tierra; y como, en fin, el particular en Sajonia, Prusia, etc., después de someter a una rotación continua de cosechas a las tierras destinadas al cultivo agrario, se dedica en las que no sirven para este fin, a fomentar la producción forestal siquiera en monte bajo, mientras en España, no solamente yacen punto menos que despreciados inmensos matorrales, sino que descansan todos los años más de la mitad de las tierras de labor.
Cuando nuestros treses se coticen a 8, la pobre agricultura de barbechos habrá cedido a la de rotación de cosechas, y cuando en nuestro país se encuentre dinero sobrante al 2 y 2½ por 100, como en Holanda, como Holanda, en los arenales recientemente abandonados por el mar, haremos también nosotros desahogadamente siembras o plantaciones en los tristes yermos que divisamos por donde quiera. Los montes son y serán la producción menos lucrativa, porque es la producción que admite en menor grado la intervención directa del hombre, factor inicial o poderosísimo en todas las demás ciencias e industrias; pero caerán a la larga bajo el dominio del individuo; pues el dinero que no puede colocarse al 5 será colocado resueltamente al 4, al 3, al 2 o a lo que se pueda, antes de tenerle amortizado.
Hoy el particular, aun en los estados más favorecidos, no puede acometer desembarazadamente la empresa de fomentar los montes, y los ejemplos tomados de allende los Alpes y que se nos citan a todas horas y en todos los casos, no son más que una prueba de este aserto. Sí; el individuo que aprovecha un robledal a los diez, veinte o treinta años, no es porque cree que le tiene mejor cuenta hacerlo así; no porque ignora que si le fuera dado esperar ochenta o cien años más, obtendría mayor provecho, sino porque le falta dinero, fuerza, capital para hacer frente a las necesidades que le ponen el hacha en las manos prematuramente. Eso es todo. ¿Ignoran acaso nuestros labradores que reportarían mayor utilidad si estuviesen en condiciones de poder cultivar las tierras que tienen en descanso? ¿Ignora aquel otro que se ve precisado a vender la cosecha antes o en el momento de recogerla, que le iría mejor guardándola por algún tiempo en su granero? ¿Ignora el comerciante de quinto orden las ventajas que reportaría de poder adquirir el género directamente en el punto de producción, saltando por encima de los más fuertes que viven a expensas de él y de los que en su caso se encuentran? No. Siempre y en todas partes la misma razón, a saber: la falta de capital, y no de conveniencia propia.
Al par que de este modo desvanecemos cumplidamente la observación, o mejor dicho, el argumento que tanto hace trabajar la pluma de nuestros ilustrados adversarios, ya se habrá echado de ver, que ponemos de relieve otro de sus errores sistemáticos. Empeñados en ajustarnos a un patrón germánico, al paso que le niegan hasta la más leve participación en el monte alto, encomiendan o quieren a toda costa encomendar en España al interés individual, el fomento, conservación y aprovechamiento del monte bajo, sin más ni otra razón que porque en Alemania se halla este en manos de aquel; olvidando que, para el particular, antes que la producción forestal es el cultivo agrario, y que no puede ni debe dedicarse al fomento de la primera mientras esté postrado y no se levante a la altura que alcanza en Alemania, el segundo. Ya lo hemos dicho: los montes constituyen la producción menos lucrativa, y mientras en individuo tenga a la vista un terreno que roturar provechosamente, no será leñador. Enséñesenos montes de particulares en menos que buen estado, y nosotros mostraremos junto a ellos un cultivo agrario floreciente. ¿Habláis de los alcornocales de Cataluña o de los reducidos pero espesos montes bajos de las provincias Vascongadas? Mirad la agricultura que les rodea.
Más aún: al hacer nuestros contendientes semejante consagración del monte bajo, al hacer de este una clase fija ofrecida al interés individual, se ponen en abierta contradicción con la ciencia, cuyo exclusivo apostolado se atribuyen. La ciencia forestal no considera otro monte normal que el monte alto, ni ha formulado otras leyes que las de monte alto; el bajo es para ella una anomalía, las menos veces; un paso indispensable, las más, pero siempre un estado transitorio, como el que forma el cultivo de barbechos respecto a la ciencia agrícola: exactamente lo mismo que nosotros hemos deducido discurriendo con arreglo a las reglas generales de economía. Otra armonía más ocupando el lugar de una supuesta repulsión.
En resumen: la doctrina de nuestros adversarios desprende en vías de hecho la coacción o la relajación, según se aplique al monte alto o al monte bajo. Diciendo que la mayor renta en especie, que sólo se obtiene a turnos largos, implica la menor en dinero, concluyen que nadie más que el Estado, que mira menos a las ganancias y pérdidas que a la satisfacción de una necesidad, puede y debe tener el monte alto o maderable, y cierran así al individuo, en todo lugar y tiempo la puerta de este género de producción; esto es coactivo. En virtud de la recíproca, es decir, dando por sentado, que, a menor renta en especie, se tiene mayor en dinero, infieren que sólo los particulares pueden y deben producir el monte bajo o leñoso, y los arrojan como corolario tres millones y medio de hectáreas de monte, a ellos que viven por lo común ahogados por el exceso de tierras de que disponen; esto es relajador.
Nosotros hemos contestado y probado en contra:
Que lejos de ese pretendido antagonismo, existía entre las dos rentas de la producción forestal una bellísima armonía, sacando en consecuencia, que las leyes de economía general, conformes con las aspiraciones de la ciencia de montes, no aconsejan y menos exigen esa división permanente de monte alto y monte bajo.
Que si realmente le monte alto no se encuentra en la actualidad, más que en proporción alguna, bajo el dominio del individuo, es debido a que no habiendo caído, por su naturaleza, el monte alto, ya creado, en manos de aquel, le era preciso comprar o crear para poseerle, y para crear o comprar ser dueño de un capital que, rebozando el límite señalado por la última palabra conocida del cultivo agrario, fuera a derramarse sobre la región de los montes; hecho que tendrá lugar irremisiblemente, pero que no ha podido verificarse hasta el día más que de un modo sumamente parcial.
Que el Estado no es de suyo el propietario eterno de los pinares, abetares, robledales, hayales, etc., ni el particular el dueño inmediatamente necesario de las fresnedas, olmedas, alamedas, etc. Y que, por tanto, así como no deben recaer denegaciones sistemáticas sobre individuos que deseen obtener los primeros su justo valor, toda vez que el individuo aventaja al Estado en la conservación y mejora de todas las adquisiciones hechas mediante el sacrificio consiguiente, no deben tampoco lanzarse a su vista las segundas cotizadas a un tipo despreciable; porque con esto, además de cometer con las corporaciones dueños de aquellas un acto de despojo, que rechazan las leyes de desamortización, ceñidas a prescribir un simple y religioso cambio de forma en la propiedad, se debilita el poder del individuo sobre la tierra, seduciendo y distrayendo la atención de éste fuera del punto donde la tenía concentrada y ocupada legítimamente.
8 de Agosto de 1860
Francisco GARCÍA MARTINO. "Consideraciones económicas sobre la propiedad forestal". Revista forestal, económica y agrícola, vol. II, 1869, p.27-34, 36-38, 92-97.
ARTÍCULO PRIMERO
I
La observación de todos los tiempos, y la historia de todos los países hacen ver con notable constancia un hecho en la propiedad forestal, que económica e industrialmente considerado, se halla en aparente desacuerdo con las leyes que rigen y determinan la producción, distribución, cambio y consumo de la riqueza.
Este hecho, en todas partes observado, consiste en que creciendo con el desarrollo y progreso social la necesidad y el valor en los productos de los montes, la disminución de estos ha sido siempre progresiva, llegando a desaparecer por completo en algunos países, que hoy sienten las irreparables consecuencias de la falta de uno de los primeros elementos de la vida material de los pueblos. Y que las causas determinantes de tan constante fenómeno son inherentes a la naturaleza y modo de ser de la propiedad, y residen, por decirlo así, en su parte interna independientemente de sus relaciones exteriores, lo demuestra con toda claridad la ineficacia de los esfuerzos hechos por todos los gobiernos de Europa, para remediar un mal siempre sentido, deplorado siempre y nunca corregido y extirpado ¿Será imposible la existencia permanente de los montes? ¿Estará acaso sujeta a condiciones económicas distintas, que la de los demás ramos de la producción? El interés individual tan activo y emprendedor: ¿será impotente para conservar la propiedad forestal aprovechando normalmente sus productos? Y en caso afirmativo y en la necesidad de que el poder público, único y legítimo representante del interés colectivo, posea los montes, ¿habrá contradicción o afirmación con los principios demostrados por la ciencia económica?
Tales son las trascendentales cuestiones que nos proponemos estudiar y sobre las cuales llamamos toda la atención de los economistas, porque de su acertada resolución depende el porvenir de un importante ramo de la riqueza pública y la existencia de muchas y muy extensas comarcas de nuestra Península.
II
Cuando se observa que los montes altos o maderables, que requieren largos períodos de tiempo para elaborar sus productos se hallan generalmente bajo el dominio público, y que los montes bajos o leñosos, en que sólo algunos años bastan para que produzcan sus naturales rendimientos, están constantemente en poder del individuo, y cuando se considera, que esa natural distribución de dominios tiene lugar del mismo modo en todos los países, sean cualesquiera su grado de prosperidad, su régimen económico y su sistema administrativo y en todas las localidades independientemente de sus condiciones físicas, es forzoso admitir, que el interés particular no encuentra las mismas ventajas en la posesión de los unos y los otros, y al mismo tiempo, que la razón determinante del hecho reside única y exclusivamente en la naturaleza especial de la propiedad, puesto que por lo que a las demás relaciones de dominio se refiere, son idénticas las que en ambos casos concurren.
Examinemos, pues, con todo el detenimiento posible y con el mayor grado de generalidad, las leyes a que la producción leñosa obedece en su lenta y sucesiva formación.
Supóngase un monte, cuya superficie representaremos por S, que se halla en estado normal y que se aprovecha por posibilidad; es decir, que entre otras condiciones existe la gradación normal de clases de edad que asegure la realización de la renta a la edad fijada y establecida por el turno. Supóngase también, que toda la superficie tiene el mismo grado de fertilidad, pues no alterando este supuesto en lo más mínimo la esencia de la cuestión, evita las consideraciones puramente técnicas que sería preciso hacer en otro caso, que es, por lo demás, el que comúnmente se presenta en la práctica. Por último, imagínese asimismo, que no existen, o por mejor decir, que no obran sobre el monte, las causas de destrucción y perturbadoras de la renta, que son tan frecuentes como inevitables e imprevistas; y por el contrario, que la marcha de la producción es la natural de la especie leñosa que constituye el monte.
Llamando
T al número de años del turno, tendremos, que para satisfacer
la condición de que el monte se halle en estado normal, será preciso
considerarle dividido en T partes cuya superficie estará representada
por
y normal y respectivamente repobladas con plantas de 1 a T años.
Siendo C el crecimiento de la superficie
en el primer año, las existencias estarán evidentemente representadas también
por C.
Como resultado de las experiencias hechas, para determinar la ley del crecimiento de las masas o rodales de monte se ha obtenido, que dicha ley se aproxima mucho a una progresión ascendente por diferencia. Naturalmente este resultado de la práctica, no ha podido demostrarse con rigor matemático porque para ello hubiera sido indispensable considerar los rodales, no sólo situados en los centros de creación de la especie leñosa respectiva, sino también, en un estado normal absoluto; lo cual, como desde luego se concibe, no es posible en la realidad; pero en las aplicaciones puede sin error sensible admitirse aquella ley de desarrollo, que según se ha indicado, es una deducción práctica, comprobada hasta cierto punto, por todas las tablas de existencias, publicadas hasta el presente.
Siendo,
pues, C las existencias de la parte
en el primer año, las de la misma parte serán por consiguiente, en los años
sucesivos de 1 a T las siguientes, llamando f a la razón de la
progresión.
| Existencias
de la parte |
poblada con plantas |
de un año |
C |
|
| Existencias
de la parte |
id. |
id. |
de dos años |
C+f. |
| Existencias
de la parte |
id. |
id. |
de tres años |
C+2f. |
| Existencias
de la parte |
id. |
id. |
de cuatro años |
C+3f |
| …………. …………. |
||||
| Existencias
de la parte |
id. |
id. |
de T años |
C+(T–1)f |
Las existencias totales del monte, estarán representadas naturalmente por la suma de las de cada una de las T partes en que se halla dividido, esto es, por
TC+f(1+2+3+4+5+…..+(T–1))
o lo que es lo mismo

La producción anual o renta normal es evidentemente:
C+(T–1)f
de modo, que la relación de tanto por ciento entre el capital constante del vuelo y la renta, será el valor x de la ecuación

de donde

El segundo factor, como fácilmente puede observarse, es siempre menor que la unidad, a la que se aproxima a medida que T aumenta, de modo que en el límite superior de T, esto es, cuando T = ∞, se tiene

Cuando T = 0; se reduce a

es decir a una cantidad constante siempre, para la misma especie y para el mismo monte.
Resulta
por tanto, que los valores de x depende esencialmente del primer factor
, es decir, que se hallan en razón inversa de los de T.
Y como x representa la relación de tanto por ciento entre las existencias del vuelo y la renta normal y T el turno de aprovechamiento, se tiene este primer principio de la propiedad forestal: que la renta en especie disminuye a medida que se eleva el turno.
La producción absoluta crecerá con el turno, mientras este no pase de la edad del máximo crecimiento medio y será la mayor posible, cuando aquel coincida con esta; así, que puede establecerse en general, que a medida que el turno se eleva, la producción absoluta aumenta, y la renta disminuye en el período en que el crecimiento medio anual es creciente, y después lo mismo la producción que la renta, disminuyen sucesivamente.
La relación hallada se refiere únicamente a la masa o volumen del vuelo; cuando se trata de sus valores hay necesidad de echar mano de otro género de consideraciones, porque los últimos aumentan con la edad y la calidad de los rodales.
No es posible establecer y fijar con exactitud el aumento sucesivo de valor que adquieren con la edad los productos de los montes, porque es tan variable y dependiente de las circunstancias de localidad y de mercado, que en vano se pretendería hallar una relación constante. Nosotros, sin embargo, en la necesidad de adoptar una regla general, vamos a suponer que aumentan de período en período en progresión geométrica; y estableceremos este supuesto, porque siendo el que menos favorece al principio que sostenemos, ha sido también admitido por algunos de los que le impugnan, fundándose precisamente en él para rebatirle. Por lo demás, que dicho aumento se verifica en menor grado de lo que supone una progresión geométrica, lo demuestra la diaria experiencia, pues por nadie ni en parte alguna, se paga doble o triple por un árbol de cien años, que por otro de ochenta. Pero repetimos que le aceptamos, porque siendo el menos favorable, si conseguimos demostrar, que la renta de los montes disminuye a medida que el turno se eleva, lo habremos conseguido también y con mayor razón, para todos los casos posibles en la práctica.
Llamemos
V al valor medio de las existencias de la superficie representada por
,
en cualquiera de los años del primer período P; esto es, que cada una
de las P partes
,
pobladas respectivamente con plantas de 1 a P años de que consta, tenga
un valor pecuniario representado por V; admitiendo que los valores crecen
de período en período, en progresión geométrica, podremos representar el de
las existencias de cada uno de ellos, llamando P a la magnitud del período,
o lo que es lo mismo, al número de años necesario para que los productos varíen
de valor, del modo siguiente:
| V |
valor
medio de |
PV |
Valor de las existencias totales del período |
| Vr |
valor
medio de |
PVr |
Valor de las existencias totales del período |
| Vr2 |
valor
medio de |
PVr2 |
Valor de las existencias totales del período |
| Vr3 |
valor
medio de |
PVr3 |
Valor de las existencias totales del período |
| ………………. ………………. |
|||
| Vrm-1 |
valor
medio de |
PVrm-1 |
Valor de las existencias totales del período |
La suma de los valores de las existencias de los períodos, será el de las totales del monte, es decir, que estarán representadas por
P(V+Vr+Vr2+Vr3+……+Vrm-1)
o lo que es lo mismo

La producción anual tiene un valor, que por lo expuesto es igual a
Vr m-1
De modo, que el valor de la producción anual respecto al de las existencias, en tanto por 100, estará expresado por x en la siguiente ecuación

de donde

en cuya expresión los valores de x están en razón inversa de los de P. Si en ella se hace mP = ∞, esto es, si se supone el turno mayor posible resulta x > 0, pero siempre el mínimo valor que puede tener; y como m representa el número de períodos del turno y x indica el tanto por 100 en valor pecuniario de la producción respecto al capital de las existencias, resulta este segundo principio de la propiedad forestal que los intereses en dinero decrecen cuando se eleva el turno.
Pero, en la mayor parte de las ordenaciones forestales, se aspira a hacer coincidir el turno con la edad de máximo crecimiento de la especie leñosa respectiva, por eso se ha establecido en ellas como ley constante: que a mayor turno, mayor producción absoluta y menor interés en especie y dinero.
Por lo demás, es evidente, que cuando por exigirlo la necesidad de producir maderas de grandes dimensiones para la marina y las construcciones civiles, se fije la cortabilidad sobre la edad del máximo crecimiento anual, disminuirán a la vez, la producción leñosa y con mucha más rapidez las rentas en especie y en dinero.
El principio acabado de demostrar, que con razón puede llamarse el teorema fundamental de la ordenación, ha encontrado dentro y fuera de España decididos impugnadores. Unos más versados en la economía política que en la ciencia de montes, han creído, que por él se destruía la armonía económica, y sin más prueba ni examen le han rechazado por absurdo. Otros, sin más fundamento que su interés, dudan de su verdad y le afirman o niegan, según los lugares y los compromisos, y algunos, con mejor deseo que fortuna, han procurado restablecer la armonía, que, como los primeros, imaginaron destruida, pretendiendo demostrar el principio contrario; esto es, que los intereses forestales crecían con la edad del aprovechamiento. Prescindiendo de las dos opiniones primeramente enunciadas, que para nada debemos tener en cuenta, indicaremos, respecto de la tercera, el origen del error que se comete sustentándola.
Muchos autores han presentado, como ejemplo de la marcha del crecimiento de los montes, los volúmenes del vuelo obtenidos por experiencias directas en determinadas superficies; y algunos, apreciando la producción de los montes, del mismo modo que la de los rodales aislados, han establecido una teoría sobre la renta de aquellos, que queda destruida observando, que la producción expresada de tal suerte, no tiene relación alguna con la renta normal. La renta supone la idea de un capital que la origine, y además exige, por su cualidad de permanente, la existencia constante de dicho capital en las condiciones capaces de producirla, por manera, que los que para juzgar de las relaciones de la producción de los montes en el concepto de renta normal, que es el caso ordinario considerado por la ciencia, toman las masas sucesivas de una hectárea, por ejemplo, en diferentes edades, y asignándolas un valor cualquiera, comparan el incremento de dicho valor en los diversos períodos, del turno, con el que sucesivamente adquiere, en los mismos períodos, el de las existencias de la primera edad como un capital impuesto, desconocen por completo la naturaleza y las tendencias de la ordenación forestal.
Para demostrarlo, presentaremos un ejemplo numérico, del absurdo procedimiento, por el cual se ha pretendido destruir la opinión sostenida por hombres como Cotta y Grebe, y profesada por todos los Ingenieros medianamente instruidos en la ciencia de montes.
Todo el afán de los que atacan el principio de la disminución de la renta cuando se eleva la edad del aprovechamiento, consiste en hallar un resultado análogo al siguiente:
50 céntimos, para el valor de la existencia de una hectárea en el primer año,
500.000 rs. para el de las de 200 años y
1.000 rs. para la suma de la acumulación de los intereses de 50 céntimos en los mismos 200 años.
Obtenido este resultado exclaman: He aquí reconstruida la armonía económica. Estas cifras demuestran con toda evidencia que el individuo está tan interesado como la sociedad en dejar en los montes las existencias en vez de realizarlas, puesto que con ello obtiene una colosal ganancia. ¡Considérese ahora lo absurdo de suponer que la renta de los montes decrece cuando se eleva el turno! Contéstese, si es posible hacerlo, al incontrovertible testimonio de los números. –Por nuestra parte, lejos de combatir los resultados numéricos obtenidos, no sólo aceptamos las cifras que se nos presentan, sino que hacemos más, las exageramos como se ve, y como buenas las suponemos, prescindiendo para ello por completo, de los esfuerzos de imaginación que son precisos para llegar a tan apetecido resultado.
Pero todo este laborioso edificio cae por su base al considerar, que nada, absolutamente nada, de lo que en él contenido se refiere directa o indirectamente a la renta normal de los montes. Damos por cierto que las existencias de una hectárea valen 50 céntimos en el primer año y 500.000 rs. cuando lleguen a 200 años; pero para que ambos números sean considerados como renta y pueda juzgarse de su importancia relativa en tal concepto, hay que determinar el capital de que provienen; pues bien, para perpetuar la primera basta en teoría una sola hectárea que se siembre todos los años, de suerte que los 50 céntimos son como renta el 100 por 100 de las existencias necesarias para producirlos. La segunda exigiría en las mismas condiciones una extensión de 200 hectáreas cubiertas respectivamente con plantas de 1 a 200 años y del capital que representa puede juzgarse considerando, que si el valor de una hectárea de 200 años es de 500.000 rs.
| el de una de 199 años será también |
500.000 |
| el de una de 198 años |
500.000 |
| el de una de 197 años |
500.000 |
| el de una de 100 años será por ejemplo |
100.000 |
| …………. |
|
| el de una de 50 años |
20.000 |
| …………. |
|
| el de una de 1 años |
0,50 |
es decir, un capital enorme del cual son los 500.000 rs. algunos céntimos por 100; y ese capital es el que el particular tiene interés en destruir y ese es, el que siempre destruye, lo mismo en Alemania, que en Francia, que en España, que en todas partes, sea cualquiera el valor de los productos, que afectan igualmente a la renta anual que a las existencias.
Creemos que con lo dicho basta, para que pueda juzgarse de los argumentos empleados por los impugnadores de las doctrinas admitidas por los hombres más eminentes por su ciencia y explicadas en todas las academias de Europa.
Sin censurar nosotros su conducta, que atribuimos al natural deseo de adquirir gloria destruyendo en un día la creencia de más de un siglo, no podemos menos de deplorar, que sin la instrucción, que sólo con largos años de estudio se consigue, contribuyan entre nosotros a extraviar la opinión con grave daño de los altos intereses que los montes representan en el orden físico y económico de las naciones.
III
Conocida ya la relación entre la renta y el turno de los montes, fácil es darse cuenta de los hechos que la observación presenta, acompañando en todas las circunstancias y localidades a la propiedad, y que difícilmente podrían explicar los impugnadores del principio fundado en aquella relación. En efecto, dada la disminución gradual de la renta, nada más lógico y natural, que el individuo procure reducir su capital leñoso hasta el punto en que mayor interés le rinda, y sea por consiguiente en todas partes, poseedor de los montes bajos de turno máximos de 20 o 30 años. Y como la ley es constante, se observa la reducción del turno, y como consecuencia forzosa la realización de las existencias en todos los países, así en los abundantes como en los escasos de montes; lo mismo cuando estos dan grandes rendimientos, que donde su rentabilidad es pequeña: así en los climas fríos, en que las leñas y maderas son una de las primeras necesidades de la vida, como en los templados en que aquellas tienen un limitado consumo. En Francia desde 1789 a 1803; en Alemania en la primera mitad del siglo pasado; en Suecia desde 1828 a 1858; en España en los últimos cuarenta años: en todas partes y siempre, la tala y la destrucción del monte alto ha sido siempre la consecuencia inmediata de su traslación del dominio público al privado. ¡Tal es la sagacidad y previsión del interés individual, que mucho antes de que la ciencia lo demostrase, sabia perfectamente que su provecho y su ganancia estaban en la realización del capital leñoso de los montes, por más que se redujese con su producción absoluta la calidad de los productos!
Se ve, pues, que la única, la sola garantía de la existencia de los montes maderables, es su posesión por el Estado bajo cualquiera de las formas en que puede tener lugar; y que de otro modo, lo mismo antes, que ahora, que después, el particular siempre hallará un provecho directo en su destrucción, porque con ella obtiene un rédito mayor de su capital, que conservándolos alcanzaría.
Pero al pedir la ciencia la pública posesión de los montes, muchos economistas, poco versados en la materia, extraviados por un ciego espíritu de escuela y secundados por agiotistas sin conciencia y sin patriotismo, se pronunciaron desde luego contra esa doble deducción de la teoría y de la práctica, y arrastrando por tan funesto camino la pública opinión, se vieron aquellos, y desgraciadamente se ven amenazados todavía, por una falange de especuladores, apoyados con la mejor buena fe, por los que más entusiastas que verdaderos defensores de la escuela liberal-económica, piden para el individuo, lo que el interés del mismo no consiente. Y sin embargo, al punto a que hemos llegado, la cuestión es de clarísima resolución. Que los montes altos o maderables son de necesidad absoluta, por la importancia económica de sus productos y por la incuestionable y benéfica influencia que ejercen en algunos agentes del clima, en la salubridad, y sobre todo en la existencia y distribución de las aguas, no puede razonablemente negarse por nadie medianamente instruido en las ciencias físicas y naturales; y que el interés privado no garantiza su existencia, antes por el contrario, que la amenaza constantemente, lo hemos demostrado con un rigor matemático; hay, pues, que optar, entre la desaparición de los montes, y con ella la pérdida de las utilidades que proporcionan o su posesión por el Estado.
[…]
Tal es la esencia de los razonamientos con que los economistas atacan la propiedad pública de los montes, presentándolos unas veces en la forma escolástica con que nosotros lo hemos hecho, o acompañados otras de declaraciones más o menos líricas. Considerados lógicamente, son falsos a todas luces los tres silogismos anteriores, y por consiguiente falsa también la consecuencia que contra los montes se ha deducido. El primero, porque supone que el Estado es propietario en el mismo sentido que el individuo, y esto no es cierto. El Estado se hace propietario de los montes, porque siendo estos necesarios y útiles no está garantizada su existencia por la posesión privada. El segundo, porque se considera al Estado productor por los mismos motivos que al particular, lo cual no siendo exacto como no lo es en la producción forestal, destruye la consecuencia. El tercero, en fin, porque se parte del supuesto de que el individuo tiene el mismo interés en conservar la propiedad forestal, que todas las demás, y nosotros hemos demostrado que sucede precisamente lo contrario; además se da la misma extensión a la palabra propiedad en lo supuesto y en la consecuencia, lo cual es grandemente equivocado, porque la forestal, al mismo tiempo, que como todas, concurre inmediatamente a la producción, proporciona otros beneficios que no pueden ser apropiados y se disfrutan en común.
La fuente del error está, como se ve, en considerar a la propiedad forestal en idénticas circunstancias que todas las demás, prescindiendo absolutamente de sus naturales y necesarias condiciones de existencia y hasta de su origen distinto del de aquellas. La propiedad y, en general, la apropiación de la materia, no puede legitimarse sino en tanto que se la considere como una forma de trabajo acumulado y ahorrado a que se da el nombre genérico de capital. Por manera, que todo capital supone un trabajo anterior o representa un servicio prestado, y sólo por tal concepto puede considerarse legítima su posesión. No deja por tanto, de sorprender que la escuela que ha tenido que apelar a este origen para defender la propiedad de los rudos ataques de que ha sido objeto en los últimos tiempos, sea la que con más encarnizamiento censure la posesión pública de los montes, cuando difícilmente podría probar, que en ellos, provenga el enorme capital que el vuelo representa, de un trabajo humano anterior. Nadie desconoce, en efecto, que la generalidad de los montes son más una manifestación de la naturaleza que un producto de la actividad humana. Las soledades en que se hallan, las inmensas extensiones que ocupan, el lento proceso de su formación, la ley de su desarrollo, todo en ellos acusa, por una parte, la espontaneidad de su origen, y por otra, la imposibilidad económica de que pueda éste atribuirse al individuo. […]
Volviendo ahora al examen de los argumentos citados, debemos manifestar, que desde luego reconocemos, que los dos primeros están lejos de tener la fuerza que el tercero, hecho generalmente por Ingenieros[*], y por lo tanto con un conocimiento más exacto de las especiales condiciones de la propiedad forestal, que los economistas autores de aquellos, y que tienen la singular pretensión de resolver desde su gabinete y a priori, las cuestiones más complejas y de que apenas tienen una simple noción. Esto no obstante, queremos justificar, debidamente, haber colocado dicho argumento en la misma categoría que los otros dos, evidentemente falsos como se ha visto.
Admitiendo sus autores toda la importancia física y económica de los montes, partiendo, tal vez, como Rossi, del principio de que la economía política está sujeta a una ley fija y universal, y sin desconocer que en el presente exista, en efecto, la oposición de intereses, que hemos señalado, entre el individuo y la comunidad respecto a la conservación de aquellos, consideran esta oposición puramente accidental y la atribuyen y la explican por la diferencia entre los intereses actuales del dinero y los que se obtienen de los capitales leñosos. Suponen con la generalidad de los economistas, que la cifra que expresa los primeros tiende a disminuir, y por lo tanto, siendo constante la que mide los segundos, llegará un momento en que ésta sea mayor que aquella, y en ese momento y desde ese momento, será verdadera en todas sus partes la opinión que sostienen y que nosotros hemos condensado en la forma que se ha visto. Prescindiendo, de que dar una solución de porvenir a una cuestión práctica y que la exige inmediata, y cuando el presente amenaza destruir y acabar con todos los montes, es tan pueril como impertinente. Prescindiendo, además, de que la tendencia a la baja del provecho que al capital corresponde en la obra de la producción y que sirve de base al argumento, no está tan demostrado como se dice y como ya indica la palabra tendencia, pues por una parte cuando aquel afecta la forma de renta, parece tender, por el contrario, a elevarse[**], y por otra se prueba, que en la actualidad, no son inferiores los réditos del dinero a los que se obtenían en los primitivos tiempos de Roma; siendo lo cierto, que el cuantum del interés está sujeto a la eterna ley de la oferta y la demanda, y por lo tanto, es tan variable como la móvil relación que éstas expresan; prescindiendo, repetimos, de todo esto, y concediendo que el premio del dinero llegue con el tiempo a ser, y continúe siendo menor que la relación constante entre la producción y las existencias normales de los montes, no podrían entregarse estos al dominio privado sin comprometer su existencia. Efectivamente, el capital que los montes representan, al menos en sus dos terceras partes, es de la misma naturaleza y de igual forma que su producción anual: árboles de mayores o menores dimensiones, todos aprovechables inmediatamente. Por manera, que en las superficies destinadas a cubrir la renta de los años próximos, en la de los últimos períodos, como técnicamente se dice, puede, en turnos largos, realizarse el capital en todo tiempo. Las contingencias naturales de la vida a que la familia propietaria está sujeta, no permiten suponer que en seis generaciones[***], respete en sus necesidades, un capital de que con tanta facilidad puede disponer y tan a mano tiene. Pero la reducción del capital leñoso ocasiona necesariamente disminución en la producción, y para llevar aquel a su integridad normal, es preciso privarse de ésta en un número de años determinado por la cantidad que la reducción expresa, lo cual, si puede suceder en algún caso, no debe admitirse en general, porque para ello sería preciso suponer, que la necesidad que produjo la realización del capital no vuelve a presentarse, y lo que es aún menos probable, que la renta de la propiedad no forme parte esencial del presupuesto de la familia. De suerte, y la experiencia lo acredita, que en un porvenir más o menos lejano, la reducción de los turnos y con ella la disminución del capital y la de la producción de los montes, con todas sus consecuencias, sería tan segura como inevitable[***].
Creemos, pues, poder concluir de lo expuesto afirmando:
1º Que la posesión de los montes maderables corresponde de derecho al Estado, porque es la más legítima, la más moral y la más conveniente.
2º Que esta posesión, lejos de expresar una contradicción económica, confirma, por el contrario, la armonía entre las ciencias sociales, porque se halla sancionada a la vez por la ley moral, por la ley jurídica y por la ley económica.
Y 3º Que la Administración en nuestro país no ha sabido en tiempos anteriores y no ha querido en los presentes, garantir la existencia de la propiedad, como demostraremos más extensamente examinando su historia, su legislación y su estadística.
[*] Der Rationelle Waldwirth und sein Waldbau
des hoechsten Ertrags, v. M. R. Pressler. Dresden,
1858.
Aechlen
Ansichten der Waldungen und Forsten, v. J. Hazzi.
Munchen, 1805.
Ideen
aus dem Gebiete der Nationalœkonomie und Staatswirthschaft, v. Dr. R. Murchardt. Goetingen, 1808.
Neuer
Plan zu einer allgemeinen Revolution der bisherigen Forstverwaltung, J. J. Trunk. Franfurt, 1802.
[**] Rossi: Cours d'Economie politique. L. 27 y 28. –J. S. Mill: Principes. II. 416.
[***] Admitimos con Buffon, que la duración media de una generación es de 19 a 20 años, aceptada generalmente por todos los estadistas.
[****] Si se desean más detalles sobre este punto, véase la obra de Grebe citada en una nota anterior.
Hilarión RUIZ AMADO. Estudios forestales. Los montes en sus relaciones con las necesidades de los pueblos. Tarragona: Imprenta de Puigrubí y Aris, 1872, vol. II, p. 779-783, 805-819
ESTUDIO PRIMERO.
Principales condiciones de existencia y propiedades económicas de los montes.
SUMARIO.—I. A mayor turno corresponde: 1º Mayor producción hasta la edad de la cortabilidad absoluta, que es avanzada en las principales especies, que pueblan o deben poblar nuestros montes. 2º Menor relación entre los productos anuales y las existencias necesarias para conseguirlos. 3º Mayor renta hasta la edad de la cortabilidad a ella relativa, que es también muy avanzada en las principales especies forestales. 4º Mayor interés o rédito del capital forestal hasta la edad de la cortabilidad comercial, en que se obtiene el máximo igual al tanto por ciento admitido en la localidad para tales fincas, consiguiéndose aquella, de ordinario, a una edad no muy avanzada y desde ella en adelanto menor interés; de manera que éste siempre resulta así respecto al rédito admitido excepto a la edad correspondiente a dicha cortabilidad. II. El rédito máximo debe ser mayor en los montes que en los campos en atención a que: los primeros no son accesibles a las pequeñas fortunas por exigir un capital considerable para ser bien y económicamente administrados, lo que implica dificultades en el traspaso de unas a otras manos por falta de concurrencia; por ser muy limitado el mercado de sus productos y necesario gran número de años para conseguir la renta en unos casos y en otros corregir las consecuencias de una falsa apreciación; por no poder ser arrendados y finalmente por hallarse más expuestos que los campos a perjuicios de consideración, no obstante de tener en su favor las ventajas siguientes: 1ª no ser preciso aprovechar y vender en una época determinada los productos anuales pudiéndose aplazar o anticipar las cortas según los precios 6 las necesidades del propietario, y 2ª aumentar las rentas, esto es hacer más intenso el cultivo sin tantos riesgos de perder el capital al efecto empleado en las fincas. III. Los montes regulares y muy especialmente los altos de elevado turno son los que dan con menores gastos más y mejores productos.
I.
Para poder conseguir más fácilmente nuestro objeto es de todo punto indispensable que empecemos por demostrar, como teorema fundamental de las condiciones y propiedades económicas de los montes, las cuatro proposiciones siguientes:
A mayor turno corresponde:
1ª Mayor producción hasta la edad da la cortabilidad absoluta, que es avanzada en las principales especies, que pueblan o deben poblar nuestros montes.
2ª Menor relación entre los productos anuales y las existencias necesarias para conseguirlos.
3ª Mayor renta hasta la edad de la cortabilidad a ella relativa, que es también muy avanzada en las principales especies forestales.
4ª Mayor interés o rédito del capital forestal hasta la edad de la cortabilidad comercial, en que se obtiene el máximo igual al tanto por 100 admitido en la localidad para tales fincas, consiguiéndose aquella, de ordinario, a una edad no muy avanzada y desde ella en adelante menor interés; de manera que éste siempre resulta así respecto al rédito admitido, excepto a la edad correspondiente a dicha cortabilidad.
Comparando la primera proposición con la tercera y la segunda con la cuarta resulta la armonía entre la producción y capital leñosos y sus valores, que tanto echaban de menos los economistas en el teorema, que al mismo objeto se los ha presentado muchas veces en forma paradójica por haber sacrificado la verdad al laconismo en la expresión de aquellas, por no haberse ajustado bastante en su demostración a los sanos principios do la ciencia, omitido en ella razonamientos esenciales y haber empleado en sentido no admitido por el uso y algunas veces con lamentable confusión palabras que también lo son: esta primera armonía se hará más evidente con la demostración del teorema, pues se verá que si no empieza la disminución del rédito (cuarta proposición) desde el principio del turno, es debido al valor del suelo, que en la segunda no entra en la comparación y finalmente también se comprenderá por lo que en éste y el artículo segundo digamos, que si entre la producción leñosa y la agrícola hay notables diferencias, no alcanzan el límite de las antinomias.
El tiempo y el espacio de que podemos disponer no nos permiten entrar en el examen crítico de los medios hasta ahora utilizados al mismo objeto, y con tanto mayor motivo nos hemos de abstener de entrar en este debate, que sin duda no sería inútil para la discusión del problema forestal, cuanto que para evitar dudas a aquellos de nuestros adversarios menos versados en la dasonomía, y para que puedan mejor comprender la fuerza y validez de nuestros razonamientos, no sólo hemos de consignar desde luego algunas elementales nociones de aquella en España poco conocida ciencia, sino que en la demostración de cada una de las precedentes proposiciones habremos de hacer una cosa análoga, ya que las divagaciones en que hasta ahora incurrieron amigos y adversarios[i] así lo exigen y es por otra parto conveniente para que todos comprendan claramente lo que pretendemos y lo que consigamos apoyados en la ciencia, a cuyos principios nos ajustaremos estrictamente, como lo hemos hecho al formular el teorema, que nos proponemos demostrar.
Como cortando un árbol o un rodal a distintas edades se pueden obtener productos muy diferentes, se dice, en general, que ha llegado a su cortabilidad, cuando alcanza su máximum de crecimiento, de utilidad o de valor.
Pero "el maximum de crecimiento, decíamos en un articulo sobre la teoría de la cortabilidad[ii], puede considerarse bajo dos puntos de vista distintos; o como representando el mayor volumen o las dimensiones más considerables, que los vegetales pueden alcanzar en atención a la longevidad de las especies y las condiciones del lugar, o como expresando el mayor crecimiento medio anual que de ellos se puede esperar, o lo que es lo mismo, el mayor volumen que pueden producir en un tiempo dado.
La utilidad directa e indirecta de los árboles depende de las necesidades que pueden satisfacer, ya se refieran a las del propietario, ya a las del consumidor, ya a las del bien público.
Finalmente, el valor de los productos, aunque ordinariamente tiene mucha relación con su utilidad, depende más directamente de las condiciones de la oferta y la demanda y puede referirse, ya al capital que representan las cosas, ya a la renta que producen, ya a la relación de entrambos, o lo que es lo mismo, al tanto por ciento de imposición o interés del primero. Podemos, pues, proponernos, al determinar la cortabilidad más conveniente a un árbol, rodal o monte, dejarle en pie el mayor número posible de años; obtener la mayor cantidad de productos en un tiempo dado, los más útiles, la mayor renta, el mayor interés o relación máxima entre la renta y el capital, que la produce, o finalmente este mayor interés y los productos más considerables en un tiempo dado; y para distinguir la cortabilidad, que a cada uno de estos fines corresponde, se la llama física, absoluta, relativa a los productos más útiles, relativa a la mayor renta, comercial o relativa al mayor interés, y compuesta o relativa al mayor interés y a los productos más considerables en un tiempo dado".
Con la palabra turno se designa el número de años en que un monte se corta y reproduce; de manera que si la cortabilidad elegida nos dice que a los cien años los árboles satisfacen los propósitos del propietario habidos en cuenta no sólo los productos principales o de las cortas de repoblación del rodal aprovechable a dicha edad sino también los que por claras o cortas de conservación se obtienen el mismo año en los demás rodales, que deben existir para obtener anualmente los mismos productos en especie y en dinero, el periodo de cien años será el turno de tal monte, ya que en él se cortará definidamente, cada rodal y se reproducirá y volverá a poner en las condiciones necesarias para ser nuevamente aprovechado.
Si en lugar de un monte de rodales de edades graduadas considerásemos otro que sólo tuviera árboles de la misma edad, habríanse de tener en cuenta para la fijación de la cortabilidad los productos principales y los de las claras hechas en el mismo vuelo, pero siempre aquellos se obtendrían cada cien años, si ésta era la edad elegida y este período sería el turno de tal rodal o monte, como así mismo puede comprenderse haciendo referencia a un solo árbol.
El turno definido es el normal y es indudable, que teniendo por base la edad de la cortabilidad habrá tantas clases de él como de ésta; pero hay además el turno transitorio o de ordenación, o sea el período necesario para regularizar los vuelos desordenados de los montes irregulares, y si bien como aquel nos dice el periodo en que deben repetirse por primera vez sobre cada rodal las cortas de repoblación, como esto depende de las condiciones del vuelo que se trata de normalizar, no podemos a él referirnos en el preinserto teorema y sí al primero, porque sólo éste nos dice la edad, a que los árboles de cada rodal alcanzan las apetecidas condiciones.
Hechas estas aclaraciones, para algunos de nuestros adversarios necesarias, pasemos a la demostración de cada unan de las proposiciones del teorema establecido.
[…]
4ª. A mayor turno corresponde mayor interés o rédito del capital forestal hasta la edad de la cortabilidad comercial, en que se obtiene el máximo igual al tanto por ciento admitido en la localidad para tales fincas, consiguiéndose aquella, de ordinario, a una edad no muy avanzada y desde ella en adelante menor interés; de modo que éste siempre resulta así respecto al rédito, admitido, excepto a la edad correspondiente a dicha cortabilidad.
Este principio, que los economistas poco versados en las leyes de la producción forestal han oído siempre con sorpresa y rechazado con enérgica tenacidad, sería bastante difícil demostrar, si ya no lo hubiéramos hecho de una manera suficiente con los otros tres, que el teorema fundamental encierra; pero conseguido esto, destruida la paradoja de que formaba parle y restablecida la armonía entre la producción y capital leñosos y sus valores, fácil nos será convencer de su certeza a nuestros más intransigentes adversarios, a cuyo efecto conviene que empecemos por dar una idea de los términos que comparamos y los limites que la marcha del rédito señalan.
El capital forestal, como ya dejamos indicado, se compone del valor del suelo más el valor de las existencias; no comprendemos, pues, en él, como lo hacia el ilustre y malogrado M. Parade, el necesario para producir anualmente en intereses una suma equivalente a los gastos de administración, conservación, contribución, etc., porque determinando la renta líquida con deducción de estos gastos, cuando es anual y constante o hallándose, si es aquella periódica, representado el valor total de su acumulación a intereses compuestos en el mayor que adquieren las existencias en el plazo del periodo con el aumento de la cantidad y precio por unidad, no hay para que tenerlo en cuenta, cuando no se quiera hacer la comparación del expresado capital y el que resulta del valor del suelo acumulado con sus intereses compuestos y a la suma de los indicados gastos, al objeto de ver si el que a las existencias corresponde compensa o no los sacrificios, que el dueño del suelo se impone para convertirle en monte de un turno dado, no sólo privándose de sus intereses, sino de los valores que representan los gastos hechos hasta el fin del plazo.
El valor de las existencias es evidentemente igual al que resulta de multiplicar la cantidad de cada clase de sus variados productos por el precio que les corresponde en pie, si son desde luego realizables con ventaja o el que podrán adquirir en plazo más o menos largo descontado a intereses compuestos durante el mismo, si por la variación de los productos y los precios conviniera más obrar así para todos o parte de aquellos.
En una sociedad ilustrada el valor del suelo, desnudo de vegetación y a montes destinado, le determina la práctica do las transacciones, el precio corriente en el mercado; pero no sucede lo mismo cuando ya se halla cubierto de vegetación forestal, porque con ella es susceptible de dar rentas muy distintas con gastos también diferentes y no proporcionales, ya que varían con la edad y composición de aquella, no sólo por la mayor o menor acumulación de los intereses, sino también con los gastos de cultivo, que exija la repoblación, según que más o menos se haga contribuir a la naturaleza; aquella diferencia, hará asimismo variable el capital de que procede, el que el suelo representa, como es consiguiente permaneciendo igual el rédito o tanto por ciento admitido en la localidad para tales fincas.
Estas breves indicaciones bastan para comprender las dificultades que en la práctica presentará la determinación técnica del valor del suelo, y no pudiendo entretenemos a dilucidar completamente esta delicada materia, nos concretaremos a indicar cómo se debe obrar en dos casos de los muchos que pueden presentarse; es a saber, cuando se pide conocer el valor del suelo de un monte regular y de renta constante y cuando lo mismo se pretende relativamente al que se halla completamente desnudo de vegetación forestal, siendo ésta su único destino útil y no estando bien determinado por las transacciones, como acontece en muchas localidades de España.
Supongamos para el primer caso que se trate de determinar el valor del suelo de la sección de ordenación, a que se refiere el cuadro precedente y que el rédito o tanto por ciento admitido sea 4, término medio de los entre que fluctúa en España el correspondiente a tales fincas[iii].
Es indudable que multiplicando por 25 cada una de las rentas líquidas, que en la línea 18ª aparecen, los productos nos dirán los diferentes capitales, que, en aquel supuesto, corresponden a cada una de aquellas; pero éstos se componen del valor de las existencias más el valor del suelo; aquel nos le da para cada turno la línea 19ª, luego si restamos este valor del capital correspondiente, la diferencia representará en cada caso el valor del suelo; y como no resulta ni puede resultar igual, elegiremos el mayor, porque él nos dice el beneficio que puede obtenerse de esta parte del capital, que la finca representa, o lo que es lo mismo, este resultado nos dice como hemos de constituir el monte para sacar del capital el mayor interés, que será el admitido en la localidad para las fincas de iguales condiciones.
En el ejemplo a que nos referimos, la edad a que esto se consigue, es decir, la de la cortabilidad comercial, es 60 años y el valor del suelo en las 100 hectáreas 6.988 escudos, como consta en la línea 20.
Para abreviar la discusión del segundo caso supongamos que se nos pide el valor de una hectárea de terreno, que se pretende repoblar de una sola vez y es susceptible de dar a diferentes turnos los mismos productos expresados en el cuadro precedente.
Es indudable que lo que buscaremos es conocer el capital que, impuesto a intereses compuestos al tanto por ciento ya expresado, pueda darnos la mayor renta líquida.
Para determinar ésta debemos conocer la cantidad y clase de productos que a diferentes edades se pueden obtener por hectárea del suelo, que pretendemos valorar y el precio por unidad, al objeto de deducir el valor total de los productos principales por hectárea a distintas edades; pero como en otras precedentes se habrán realizado algunos valores con los productos de las claras, para conocer el total de los ingresos a cada turno, debe añadirse al valor de los productos principales el que corresponda a los de cada clara aumentado de sus intereses compuestos durante los años que han de transcurrir desde que se realiza hasta el fin del turno y la suma de todos representará la renta bruta a cada uno.
Los gastos se compondrán:
1º De los propios del cultivo del terreno aumentados con sus intereses compuestos durante el número de años de cada turno, sino fuere preciso hacer reposición de marras y otras mejoras, que, en caso afirmativo, deben también tenerse en cuenta con la acumulación de sus intereses compuestos desde que se hacen hasta el fin del turno.
2º De la suma de las cantidades pagadas por contribuciones y servidumbres aumentadas con sus intereses desde que se hacen efectivas y
3º De los gastos anuales de administración y guardería acumulados también con sus intereses.
Para hacer más comprensibles estas indicaciones desarrollemos los cálculos en el supuesto indicado, esto es, que el monte resultante nos de a cada edad los productos que por hectárea corresponden en la sección a que se refieren los dos cuadros anteriores, siendo también iguales los precios, etc., etc., pues así dispondremos de los elementos necesarios al objeto y la posibilidad de la comparación en los resultados.
A los 40 años tendremos:
Ingresos.
Productos principales, 97 metros cúbicos, de los que 19,5 son de maderas, que a 3,600 escudos el metro cúbico importan 70,200 escudos y 77,5 metros cúbicos de leñas, que a 1,200 escudos el metro cúbico valen 93 escudos o sea en junto 163,200 escudos.
Productos intermedios, 61 metros cúbicos de los que 6,1 metros cúbicos son maderas y 54,9 metros cúbicos leñas y suponiendo que se realicen en dos claras iguales se tendrá:
A los 20 años 3 metros cúbicos de madera que a 2,800 escudos valen 8,400 escudos y 27,5 metros cúbicos de leña, que a 1,200 escudos importan 33 escudos y su suma de 41,400 escudos acumulada con sus intereses compuestos al 4 p. 00 durante 20 años, es decir hasta el fin del turno, dará un importe total de 41,400 x 2,191 = 90,707 escudos.
A los 30 años la segunda clara dará 3 metros cúbicos de madera, que a 3 escudos importan 9 escudos y 27,5 metros cúbicos de leña, que a 1,200 escudos ascienden a 33 escudos y la suma de 42 escudos acumulada con sus intereses compuestos hasta el fin del turno ascenderá a 42 x 1,48 = 62,160 escudos.
El resumen de los ingresos será, pues, para la hectárea:
| Por los productos principales |
163,200 |
|
| Por los productos intermedios |
De la 1ª clara y sus intereses |
90,207 |
| De la 2ª id. id |
62,160 |
|
| TOTAL |
316,067 |
|
Gastos:
De cultivo 20 escudos, que a los 40 años ascienden con sus intereses compuestos a 20 x 4’801 = 96’020 escudos.
De Administración y guardería 2 escudos anuales, que acumulados con sus intereses compuestos ascenderán al fin del turno a 2 x 98’816 =197’632 escudos,
De contribución nada, pues suponemos que hasta los 40 años llegue la exención concedida por más o menos tiempo en todas las naciones a los terrenos nuevamente repoblados, con lo que y con no incluir partida alguna por mejoras necesarias reducimos los gastos cuanto es posible en las condiciones admitidas para la formación del cuadro, a que hacemos referencia.
El resumen de los gastos será por consiguiente para la hectárea
| Por el cultivo |
96,020 |
escudos |
| Por administración y guardería |
197,632 |
id. |
| TOTAL DE GASTOS |
293,652 |
id. |
| Los ingresos ascendieron a |
316,067 |
id. |
| Resulta a favor de tos últimos una diferencia de |
22,415 |
id. |
que representa la renta líquida periódicamente percibida cada 40 años y el valor del suelo sería en tal concepto por hectárea de 5,895 escudos, según resulta multiplicando aquella por el coeficiente 0,263 señalado por la tarifa III de Nanquette.
Haciendo cálculos análogos para el turno de 60 años se tendrán:
Ingresos:
Productos principales 194 metros cúbicos, de los que 58,20 son de maderas, que a 4,851 escudos el metro cúbico importan 282’328 y 135’8 metros cúbicos de leña, que a 1’455 escudos el metro cúbico valen 197’589 escudos o sea en junto 479’917 escudos.
Productos intermedios 86 metros cúbicos, de los que 12,90 son maderas y 73,10 metros cúbicos leñas y suponiendo que se realicen en cuatro claras, de las que las dos primeras serán las mismas que en el caso precedente y las otras dos comprensivas de la diferencia de las cantidades totales por partes iguales en los decenios siguientes, resultará:
A los 20 años, según antes dijimos, el valor de los productos será de 41,400 escudos que, acumulados con sus intereses compuestos durante 40 años, que han de transcurrir hasta el fin del turno, ascenderán a 41,400 x 4,801 = 198,761 escudos.
A los 30 años la segunda clara dará productos por valor de 42 escudos, que acumulados con sus intereses durante 30 años ascenderá a 42 x 3,233 = 135,786 escudos. Para las dos claras restantes quedarán disponibles 6’8 metros cúbicos de maderas y 18,2 metros cúbicos de leñas, por consiguiente
A los 40 años la 3ª clara dará 3,4 metros cúbicos de madera, que a 3,500 escudos el metro cúbico valen 11,900 escudos y 9,l metros cúbicos de leña, que a 1,400 escudos valen 12,74 escudos y su suma de 24,64 escudos acumulada con sus intereses durante los 20 años restantes hasta el fin del turno ascenderá a 24,64 x 2,191 = 55,986 escudos.
A los 50 años la 4ª clara dará también 3,4 metros cúbicos de madera, que a 4 escudos valen 13,600 escudos y 9,l metros cúbicos de leña, que a 1,600 escudos valen 14,560 escudos y su suma de 28,l60 escudos acumulada con sus intereses durante 10 años ascenderá a 28160 x 1,48 = 41,676 escudos.
El resumen de los ingresos será por consiguiente:
| Por los productos principales |
479,917 |
|
| Por los productos intermedios |
1ª clara |
198,761 |
| 2ª id |
135,786 |
|
| 3ª id |
53,986 |
|
| 4ª id |
41,676 |
|
| TOTAL |
910,126 |
|
Gastos:
De cultivo 20 escudos, que a los 60 años ascienden con sus intereses compuestos a 20 x 10,520 = 210,400 escudos.
De administración y guardería 2 escudos anuales, que acumulados con sus intereses compuestos ascenderán al fin del turno a 2 x 247,501 = 495,002 escudos.
De contribución de 1 a 40 años nada y de 40 a 60 años 1 escudo por año y hectárea[iv], que al fin del turno ascenderán acumulados con sus intereses a 30,970 escudos.
El resumen de los gastos será, pues, para la hectárea a 60 años:
| Por el cultivo |
210,400 |
escudos |
| Por administración y guardería |
495,002 |
id. |
| Por contribución durante 20 años |
30,970 |
id. |
| Total de gastos |
636,372 |
id. |
| Importaban los ingresos |
910,126 |
id. |
| Queda líquido |
273,254 |
id. |
Y como este valor representa la renta, que se percibirá periódicamente cada 60 años, el capital que la produce, es decir, el valor del suelo será por hectárea igual a 28’744 escudos o sea: cerca de cinco veces mayor que el resultante para el turno de 40 años.
No continuamos los cálculos para los demás turnos por no hacer este artículo interminable y ser notorio que el valor del suelo resultará menor, ya que la edad de la cortabilidad comercial se encuentra a 60 años, según la investigación por la renta constante.
Aquellos de nuestros adversarios, que carezcan enteramente conocimientos dasonómicos, no dejarán de hacer numerosas objeciones contra nuestras teorías al examinar estos resultados; no es posible que de todas podamos ahora librarnos entrando en su detallada discusión; pero si lo haremos de las principales y que ya en otras ocasiones se han presentado.
Dirán en primer lugar: de los cálculos precedentes resultan valores distintos para el mismo suelo y al mismo turno según que se hagan para rentas contantes o periódicas, y esto no puede ser.
Así parece a primera vista, ¿pero es realmente el mismo suelo, el mismo instrumento o medio de producción el que en uno y otro caso valoramos? no; porque en el primer caso se halla en condiciones de producir más con menos gasto que en el segundo, no sólo por la disminución en los propios del cultivo sino también por las ventajas de la anualidad que evita acumulaciones distintas y por lo tanto su valor debe ser mayor. Otros dicen; estos resultados contradictorios son debidos a que es inadmisible el interés compuesto a largos plazos como lo justifica que el capital social, aunque aumenta, no lo hace en la escala que a aquellos corresponde.
Pero tampoco en esto tienen razón; porque negar el interés compuesto es lo mismo que hacerlo del simple, de la renta y por consiguiente de la legitimidad de la propiedad, y esto es improcedente: podrá, pues, discutirse con más o menos razón el tanto por ciento, que en tal caso deba admitirse en los cálculos, según las condiciones probables de la oferta y demanda de los capitales en cada uno de los períodos, en que puede dividirse el turno; pero por ningún concepto negar la necesidad y la razón del uso en tales cálculos del interés compuesto; no siendo tampoco de ningún valor la cita que se hace de la experiencia, porque se olvida que ni todos, ni aun la mayor parte de los capitales se hallan colocados en las condiciones necesarias para producir y acumular sus intereses compuestos, ni siquiera los simples, que hace desaparecer el consumo diario, así como no pocos capitales, quedando otros improductivos por razones, que no tenemos necesidad de recordar.
Algunos dirán también; pues que la acumulación es tal que se puede obtener del valor que resulta para el suelo un interés igual con sólo dedicarle al pastoreo sin correr tantos riesgos ni necesitar esperar tan grandes plazos para obtener rentas seguras, no debe hacerse la repoblación de los terrenos empradizados naturalmente o a lo más procede verificar la herbácea que no presenta aquellos inconvenientes.
Empezando por declarar que los cálculos antes hechos no tienen otro objeto que el de indicar el procedimiento, pues los resultados han de variar necesariamente con la importancia de sus componentes originarios y aplazando otras consideraciones para cuando tratemos de las miras del individuo y del Estado, contestaremos desde luego a la objeción manifestando que sería atendible si fuera cierta la premisa, que no lo es en muchísimos casos; si los montes no produjeran otros beneficios que el valor de sus productos; si el interés social pudiera nunca confundirse con el individual; si el aumento de las rentas acompañado indefectiblemente y por razón de la naturaleza de esta producción de la disminución del rédito, no fuera indicio seguro de bienestar y de progreso, de la aplicación a los montes del cultivo intensivo, que tanto, y muchas veces sin fundamento racional, se pide para los campos por los mismos enemigos de los montes; cierto que en aquellos para que sea procedente es preciso que las rentas aumenten de manera que el rédito admitido no disminuya; pero siempre será evidente que la razón porque se pide no es mirando a éste, que sólo interesa a quien le obtiene, y si en consideración a aquellas, resultado que en los montes se consigue, como ya hemos demostrado, aumentando los años del turno, a que se aprovechan y favoreciendo al consumo por hacer menos oneroso el servicio de los capitales al propio tiempo que se da mayor intervención en las rentas o mejor dicho en la producción a las fuerzas naturales…
Dicho esto, que sentiríamos no fuera bastante a convencer a nuestros más intransigentes adversarios, aunque si lo haya sido para causar a otros enojo por considerar prolijas o innecesarias las explicaciones dadas, pasemos a demostrar brevemente la preinserta proposición.
El tanto por ciento no puede ser mayor en ningún caso, porque ello equivaldría a disminuir el capital, a sufrir innecesariamente una pérdida, ya que el admitido en la localidad depende de condiciones ajenas a la propiedad y si puede variar con las fluctuaciones de la oferta y la demanda, la misma marcha seguirá el que corresponda a todas las demás fincas, demostrando la experiencia no ser tales cambios muy frecuentes ni especiales nunca a una determinada.
¿Pero puede el tanto ser menor en los montes con sólo variar el turno a que se aprovechan? No, dirán nuestros adversarios; sí, decimos nosotros en la proposición de que nos ocupamos.
En efecto así sucede, así debe suceder no obstante de que las rentas aumentan a medida que lo hacen los años del turno, porque con ellos lo hace en mayor escala el capital de que proceden o mejor dicho el valor de las existencias, que es la parte variable, como se comprende fácilmente a la sola inspección de las cantidades consignadas en las líneas 19, 21 y 22 del cuadro referido.
La última, que en un todo justifica nuestra proposición, sigue una marcha análoga a la demostrada en la segunda para la relación entre la cantidad de los productos anuales y la que deben contar las existencias necesarias para producirlos, difiriendo sólo en que la disminución en la última es constante desde el primer año y en aquella sólo se verifica a partir de la edad correspondiente a la cortabilidad comercial, porque el valor del suelo, que es una constante en los distintos capitales, que con los turnos resultan, ha de disminuir tanto más el rédito cuanto menores sean las rentas, esto es, cuanto menor sea también el turno a que se refiere.
Algunos de nuestros ilustrados adversarios olvidándose de la necesidad de las existencias para obtener rentas constantes y negando, cuando se trata de las periódicas, la necesidad de admitir en los cálculos los intereses compuestos, han pretendido negar la verdad de la proposición suponiendo que si la producción aumenta en progresión aritmética, en la geométrica lo hacen los precios con el tiempo.
Este supuesto no es cierto en la práctica; pero en él nos fundaremos para comprobar la verdad de nuestra tesis con relación a un monte de renta constante, ya que para los que las den periódicas hemos demostrado que no tienen razón en su negativa y así nos ajustaremos más a su supuesto; y como es indudable que la marcha de los precios, aunque no es regular y constante, más se aproxima a la progresión aritmética y con ella la que siga el interés se ha de acercar más a la que corresponde a la relación entre la producción y capital leñosos, evidente es que si en aquel demostramos que sucede y ha de suceder lo que la proposición dice, lo hará con mayor motivo en el caso menos desfavorable de los hechos reales, como ya lo justifica el cuadro precedente, según dejamos expuesto.
Ahora bien, llamando a el primer término de la progresión, es decir el valor del rodal poblado de plantas de un año; u el último, esto es el valor de los productos anuales; r la razón de la progresión formada por los valores de los rodales de edades diferentes; n el número de términos o de años del turno y s ti la suma o valor de las existencias, tendremos:
![]()

y despreciando por de pronto el valor del suelo
;
y como este valor de x, disminuye siempre que el de n aumenta, sea cualquiera el valor de r, evidente es que cuando no se tiene en cuenta el del suelo, disminuye siempre el interés del capital forestal, como teníamos anunciado.
Teniendo en cuenta el valor del suelo, que llamaremos S, la proporción será la siguiente:
;
dividiendo los términos del 2º miembro por arn resultará:

Aumentando
el valor de n,
disminuirá
y en tal concepto aumentará el valor de1 denominador; pero como al mismo tiempo
diminuirá en mayor escala, dentro de ciertos limites de S, de r
y de a el valor de
,
resultará disminuido el denominador y por consiguiente aumentado el valor de
x, hasta que aquellos límites se alcancen; cual sea la expresión
matemática de éstos en el supuesto admitido no se nos ocurre por ahora y tal
vez sea imposible fijarlos; pero de todos modos se comprende que se hallarán
cuando, en el supuesto de semejante aumento de los precios, el valor del suelo
sea tan pequeño relativamente al de las existencias que pueda despreciarse sin
alterar sensiblemente la relación entre ellas y la renta líquida y desde entonces,
según la fórmula primera, el interés decrecerá constantemente a medida que aumente
el turno.
La experiencia universal dice que el límite de la variación en la marcha del interés se encuentra a la edad de la cortabilidad comercial y que ésta es tanto menor cuanto mayor sea el rédito, mayores los gastos, menor la diferencia de los precios y peor la calidad del vuelo, hallándose siempre a una edad tan poco avanzada[v] que, para las especies que le admiten, debe buscarse en el método de beneficio de monte bajo, a no ser que por la rapidez de su crecimiento puedan aprovecharse en monte alto a turnos muy cortos, como sucede a las especies blandas o blancas.
Creemos que con esto queda suficientemente demostrada la cuarta y última proposición del teorema fundamental.
De él pudiéramos deducir desde luego algunas importantes consecuencias; pero como en ellas hemos de basar más adelante razonamientos concluyentes, por no repetirlos para su lugar oportuno aplazamos el consignarlas, con lo que en nada perjudicaremos la más fácil inteligencia de la solución que damos al complejísimo problema objeto de esta segunda parte de nuestro libro; esto no obstante llamamos la atención de los economistas sobre la grandísima analogía que existe entre los principios demostrados y el que el ilustre y malogrado Bastiat expresa en sus Armonías económicas, al hablar del capital, en los términos siguientes: "A medida que los capitales aumentan, la parte absoluta de los capitalistas (renta) en los productos totales aumenta y su parte relativa (rédito) disminuye" bien sabemos que funda su demostración en la concurrencia; pero es indudable que si hubiera conocido las leyes de la producción forestal habría utilizado para éste y otros muchos puntos razonamientos más concluyentes y no habría incurrido en algunos errores, que como negros lunares aparecen en sus excelentes libros; los que siguiendo sus ideas, muchas veces sin comprenderlas bastante, las desnaturalizan con improcedentes exageraciones, harán bien en dedicar algún tiempo al estudio de las leyes de la producción forestal para evitar sus errores propios y los en que incurrió a pesar de su clarísimo talento el maestro, a quien pretenden imitar, de algunos de los cuales nos haremos cargo más adelante dejando los restantes, por no ser por ahora indispensables a nuestro objeto, para cuando la discusión, que esperamos, lo haga necesario, si se continuaran utilizando para demostrar la necesidad y conveniencia de poner todos los montes en manos del individuo.
| CUADRO demostrativo de la rentabilidad a diferentes turnos del monte-alto-regular calculado para una sección de ordenación de 100 hectáreas según los datos experimentales de G. L. Hartig para los robledales de 1ª calidad |
|||||||||||||
| A LOS TURNOS DE AÑOS |
|||||||||||||
| 40 |
60 |
80 |
100 |
120 |
140 |
160 |
180 |
200 |
|||||
| Ingresos por |
Productos principales |
Maderas |
Volúmen; metros cúbicos |
(1) |
48 |
97 |
139 |
176 |
211 |
203 |
186 |
172 |
162 |
| Precio del m. cúbico; esc.s |
(2) |
3,622 |
4,851 |
6,048 |
6,660 |
7,277 |
7,859 |
8,474 |
9,089 |
9,703 |
|||
| Valor de todas; escudos |
(3) |
174 |
471 |
841 |
1.172 |
1.535 |
1.595 |
1.576 |
1.563 |
1.572 |
|||
| Leñas |
Volúmen; metros cúbicos |
(4) |
194 |
225 |
209 |
176 |
141 |
124 |
109 |
96 |
88 |
||
| Precio del m. cúbico; esc.s |
(5) |
1,229 |
1,455 |
1,681 |
1,811 |
1,940 |
2,038 |
2,167 |
2,296 |
2,436 |
|||
| Valor de todas; escudos |
(6) |
238 |
327 |
351 |
319 |
274 |
253 |
236 |
220 |
214 |
|||
| Productos intermedios |
Maderas |
Volúmen; metros cúbicos |
(7) |
15 |
21 |
27 |
39 |
57 |
84 |
114 |
132 |
151 |
|
| Precio del m. cúbico; esc.s |
(8) |
2,426 |
3,622 |
4,851 |
6,048 |
6,660 |
7,277 |
7,859 |
8,474 |
8,474 |
|||
| Valor de todas; escudos |
(9) |
36 |
76 |
131 |
236 |
380 |
611 |
896 |
1.119 |
1.280 |
|||
| Leñas |
Volúmen; metros cúbicos |
(10) |
137 |
122 |
109 |
119 |
134 |
157 |
172 |
161 |
152 |
||
| Precio del m. cúbico; esc.s |
(11) |
0,485 |
0,970 |
1,229 |
1,455 |
1,681 |
1,940 |
2,167 |
2,296 |
2,426 |
|||
| Valor de todas; escudos |
(12) |
66 |
118 |
134 |
173 |
225 |
305 |
373 |
370 |
369 |
|||
| Valor de los productos principales e intermedios o renta bruta; escudos |
(13) |
514 |
992 |
1.457 |
1.900 |
2.414 |
2.764 |
3.081 |
3.272 |
3.435 |
|||
| Gastos por |
Administración y guardería a razón de 2 escudos por hectárea; escudos |
(14) |
200 |
200 |
200 |
200 |
200 |
200 |
200 |
200 |
200 |
||
| Contribución, 1 escudo por hectárea; escudos |
(15) |
100 |
100 |
100 |
100 |
100 |
100 |
100 |
100 |
100 |
|||
| Cultivo, 10 id. Id. Id. |
(16) |
25,0 |
16,6 |
12,5 |
10,0 |
8,3 |
7,1 |
6,2 |
5,5 |
5,0 |
|||
| Totales por año en la sección de ordenación; esc. |
(17) |
325,0 |
316,6 |
312,5 |
310,0 |
308,3 |
307,1 |
306,2 |
305,5 |
305,0 |
|||
| Diferencia entre los ingresos y gastos o renta líquida; escudos |
(18) |
189 |
675 |
1.144 |
1.590 |
2.106 |
2.457 |
2.775 |
2.966 |
3.130 |
|||
| Valor de las existencias; escudos |
(19) |
3.119 |
9.887 |
23.151 |
40.915 |
61.364 |
87.350 |
113.459 |
138.573 |
162.050 |
|||
| Valor del suelo; escudos |
(20) |
6.988 |
6.988 |
6.988 |
6.988 |
6.988 |
6.988 |
6.988 |
6.988 |
6.988 |
|||
| Capital forestal; escudos |
(21) |
10.107 |
16.875 |
30.139 |
47.903 |
68.352 |
94.338 |
120.447 |
145.561 |
169.038 |
|||
| Interés según la renta líquida y el capital; tanto p. 00 |
(22) |
1,87 |
4,00 |
3,79 |
3,32 |
3,08 |
2,60 |
2,30 |
2,04 |
1,85 |
|||
[i] Cumple a nuestro deber hacer constar que en cierto modo en estos defectos incurrimos también nosotros en obras y escritos anteriores, como es muy posible que en otros lo hagamos en ésta a pesar del cuidado que ponemos para evitarlo; pues es la cuestión tan compleja y tal la dificultad de resolverla metódicamente sin dejar oscurecido alguno de sus puntos numerosos, que sólo por correcciones sucesivas podrán evitarse los defectos, y este libro ni es, ni puede ser por ahora otra cosa que un ensayo defectuoso, entre otras muchas razones por el completo aislamiento y sensible precipitación con que le escribimos.
[ii] Revista forestal, económica y agrícola.—1869.— Pág. 68.
[iii] En el articulo siguiente examinaremos si debe o no ser mayor que el admitido para las propias de la agricultura atendidos sus inconvenientes y ventajas.
[iv] En las fincas de renta periódica realmente la contribución debiera serio también y calculada sobre la renta líquida, que constituye la riqueza imponible.
[v] En el ejemplo a que los cuadros precedentes se refieren, se consigue a 60 años, siendo así que la absoluta se encuentra a 160 y como el suelo es de 1ª calidad esto indica bastante cuanto más reducida será aquella en la generalidad de los casos.
Gustavo HEYER. 1872. Compendio de valoración de montes. Madrid: Imprenta Nacional, 123 p. Traducido del alemán por Francisco de P. Arrillaga.
Del prólogo del traductor:
"Las condiciones de un prólogo me impiden entrar en indicaciones más extensas acerca de un sin número de objetos y materias dasocráticas dependientes de la valoración, y habré de limitarme a dos de los puntos que descuellan sobre los demás, bajo el punto de vista económico el uno y bajo el científico el otro.
Resuelve de hecho la valoración la cuestión económica de los montes, y por lo mismo la de su existencia bajo el dominio público.
Demuéstrase, en efecto, en la determinación del valor posible del suelo, que este alcanza su máximo a una edad tanto más avanzada dentro de ciertos límites, cuanto menor sea el interés a que se considere impuesto el capital forestal, o lo que es lo mismo, que si el propietario se contenta con un interés muy bajo, puede elevar su turno aproximándose al absoluto; pero que, cuanto mayor sea el tanto por ciento que en su especulación quiere obtener de la finca, tiene que ir rebajando el turno en términos tales que, si su codicia es mucha, no hallará modo de satisfacerla en la economía forestal, y que, aun cuando se contente con el 3 por 100, por ejemplo, para un pinar de pino silvestre, debe tratarle a un turno 20 o 30 años más corto que el absoluto que a dicha especie corresponde, si le ha de mantener en las mejores condiciones económicas. No debe, pues, nunca conservar montes altos a turno absoluto, que es el tipo del monte alto, el particular que conozca sus verdaderos intereses y las condiciones económicas de la propiedad forestal.
Y si se objeta que las circunstancias de un país pueden variar hasta darse el momento en que sea un interés regular el 2 o el 1 por 100, la valoración demuestra que, aparte de que entonces también variarían en igual proporción los valores forestales, siempre subsistiría la relación inversa entre el turno y el máximo valor posible del monte; y que por tanto, rebajando aquel, aumentaría el interés del capital que el suelo representa." (p. X-XI)
"El turno es como el punto cardinal sobre que gira la economía forestal entera, como el eje en que fundamentalmente se apoyan todas las fuerzas vivas del suelo y del vuelo, como el punto de apoyo, repetimos, de la palanca forestal, a uno de cuyos extremos obra el capital (suelo, vuelo), y el otro la renta (productos leñosos, influencias cosmológicas).
Es evidente, con efecto: varíese el punto de apoyo, varíese el turno, y a un mismo capital corresponderán distinta cantidad y calidad de productos, diverso interés al dinero, diferentes influencias climatológicas, diverso momento estático, por decirlo de una vez. Así, continuando la comparación y apurando el símil, se explicará como a un brazo largo de palanca para la potencia, es decir, a turnos largos, se vence una gran masa y se obtiene la plenitud de las influencias climatológicas; pero, –fíjese bien la atención,– a costa de la velocidad, esto es, a costa del interés, que es como la velocidad un factor de relación; porque es principio eterno que lo que se gana en fuerza se pierde en velocidad.
El ordenador, por consiguiente, dadas las condiciones del propietario, fijará ante todo el turno, dándole gran extensión si quiere obtener grandes resultados, grandes efectos climatológicos y hasta sociales, como cumple al Estado; de corta duración, si quiere movimiento, velocidad, interés al dinero, resultados inmediatos, cual corresponde a la febril actividad del especulador individual." (p. XIII)
Determinación del valor posible del suelo
A. Cálculo del valor actual de los ingresos.
t = turno
At = renta periódica de t en t años con interés p.
B. Cálculo de los gastos.
a) Cultivo
G = mejora de los cultivos cuyo valor actual es:

b) Gastos anuales.
v = gastos anuales:

c) Gastos de realizar aprovechamientos, sacas, ventas…
S = aprovechamiento intermedio
a = año
g = gasto

C. Valor posible del suelo.
At = valor líquido aprovechamientos principales
Sa, Sb,…. = valor líquido de los aprovechamientos intermedios y secundarios
G = gastos de cultivo
V = capital representado por los gastos anuales de toda clase
t = turno
p = tanto por ciento de interés

Federico JUDEICH. La ordenación de montes. Madrid: Imprenta de Ricardo F. de Rojas, 1913, p. vol. I, p. 80-82, 84-87, 100, 107 y 110. Sexta edición ampliada por el Dr. Max Neumeister, 1904, traducida al castellano por Eduardo Herbella y Zobel.
Elementos del tanto por ciento indicador
Toda industria debe formarse clara idea de cuándo está su producto terminado, cuándo está maduro para la recolección. En el sentido en que el hilandero da por terminado su hilo y el tejedor su lienzo, o en el sentido en que el agricultor puede llamar maduros a sus cereales, no podemos hablar en el producto principal forestal, en la madera, de madurez para la recolección.
Y, sin embargo, no se puede pensar en una explotación racional sin decidir, por lo menos en principio, esta cuestión. De un modo relativo tiene lugar esta madurez de la madera cuando tenemos a la vista determinadas aplicaciones; sirve entonces de fundamento a la llamada cortabilidad técnica. Pero al forestal mismo interesa sólo poco el conocimiento de esta madurez relativa, pues no decide para él la cuestión de si obraría mejor dejando en pie los árboles durante más tiempo o cortándolos más temprano. Casi puede decirse que no hay que considerar una madurez física de la madera.
Para encontrar respuesta a la importante cuestión de cuándo están nuestros rodales maduros para la recolección, tenemos que buscar, por consiguiente, otros medios auxiliares. Estos pueden deducirse de razones económicas.
Si partimos de la idea de que el forestal debe saber no sólo de qué manera puede producir muchas y buenas mercancías, sino también cómo puede producirlas con utilidad, obtenemos puntos de apoyo. Toda producción de bienes sólo puede ser dirigida con utilidad para el productor, si el precio del bien producido cubre por lo menos los gastos de producción; si, por consiguiente, no sólo paga el trabajo empleado, sino también proporciona los intereses del capital fijo empleado, eventualmente con amortización, los intereses del capital circulante consumido y este mismo capital. En la producción de la madera sucede lo mismo.
La determinación y suma de los tantos por ciento a, b y c tratados en los párrafos anteriores no es, por consiguiente, suficiente para medir la importancia económica del crecimiento, puesto que no sólo corresponde a éste la misión de amortizar exclusivamente el capital vuelo. El árbol o el rodal creciente ocupa un suelo, anualmente hay que pagar gastos de administración e impuestos; además, por regla general, es necesario un anticipo bajo la forma de gastos de repoblación. El crecimiento debe remunerar todos estos factores, si la explotación ha de dar utilidad, es decir, si ha de dar un rendimiento líquido.
Además del capital vuelo tenemos que ocuparnos, por consiguiente, de gastos de administración, impuestos, capital suelo y gastos de repoblación.
Aquel tanto por ciento, pues, que exprese el crecimiento del rodal en relación con todos estos factores, es capaz de dar respuesta a la cuestión de la madurez de recolección del rodal. Si es todavía más elevado que el tanto por ciento adoptado para la explotación, el rodal es inmaturo, su aprovechamiento produciría una pérdida; si ha descendido por debajo del tanto por ciento adoptado en la explotación, el dejar en pie el rodal ocasionaría pérdidas económicas. Entre ambos grados está la madurez económica del rodal o sea aquel momento en que el tanto por ciento en cuestión es igual al adoptado en la explotación.
El introducir en el cálculo los factores arriba mencionados ofrece, si ha de ser hecho con exactitud matemática, grandes dificultades, a causa de la determinación de los fundamentos necesarios para ello. Sin embargo, se puede encontrar por regla general valores aproximados suficientes para la práctica. Los gastos de administración, los impuestos y el valor del suelo son cantidades que se expresan del modo más conveniente en forma de capital. Por esto hay que decidir primero qué tanto por ciento se adopta, puesto que sin un tanto por ciento (p) aceptado de antemano para la explotación no se puede capitalizar. Por las razones desarrolladas detalladamente en el § 25, debe calcularse para la explotación forestal, a lo sumo, un interés de 5 por 100 aproximadamente.
[…]
3) El valor del suelo.
El cálculo del capital suelo B, puede tener efecto de tres maneras.
Distinguimos, siguiendo a G. Heyer:
a) El valor en venta,
b) El valor en coste,
c) El valor posible del suelo.
a) El valor en venta se determina según la indicación de ventas de suelo conocidas. Es una magnitud utilizable solamente cuando puede deducirse como promedio de numerosas compras. Al mismo tiempo hay que tener además en cuenta que los datos adquiridos para superficies pequeñas no pueden jamás servir de medida para las grandes masas de monte. Circunstancias casuales proporcionan, con frecuencia importantes valores de afección a los predios pequeños, particularmente en la proximidad de los poblados.
b)El valor en coste del suelo se compone de la suma de gastos que se han invertido para conseguir un suelo capaz para la repoblación. Estos gastos se componen del capital de compra, del gasto para ponerlo en condiciones de repoblación (no confundirlo con los gastos de repoblación) y los intereses acumulados desde este gasto hasta la época de la capacidad para la repoblación.
Ejemplo. Una hectárea de suelo de monte encharcado cuesta 40 marcos; para el saneamiento debe pagarse inmediatamente 60 marcos; después de dos años se hace el suelo capaz para la repoblación; se calcula con el 3 por 100 el valor en coste en (40 + 60) 1,032 = 106 marcos.
También el valor en coste del suelo puede en determinadas circunstancias discrepar tan considerablemente de su valor económico, que sólo en determinados casos especiales puede servir de base al cálculo.
c)
El valor posible del suelo es igual al
capital
correspondiente a la renta líquida r del suelo. Si se le calcula con
auxilio de la edad de cortabilidad o turno financiero (§23), se obtiene su valor
máximo (Bu), que designamos con el nombre de valor económico
del suelo.
El cálculo se efectúa del modo más breve como sigue:
Los rendimientos de un rodal se componen del aprovechamiento principal y de los aprovechamientos intermedios; frente a ellos está el gasto por repoblación, recolección, administración e impuestos. Todos los gastos y rendimientos deben referirse a una misma época, para poderlos comparar. Lo más conveniente es deducir los gastos de recolección inmediatamente de los rendimientos correspondientes, y, por consiguiente, hacer entrar estos últimos en el cálculo libres de aquéllos.
Si designamos por Hu el rendimiento principal en el año u libre de los gastos de recolección, por Da, Db etc., los aprovechamientos intermedios libres de los gastos de recolección, que se realiza en los años a, b, etc., importa la suma de los rendimientos referidos al año u:
Hu+Da 1,0pu-a+Db 1,0pu-b…
El valor de los gastos de repoblación k es en el año u= k 1,0pu.
La expresión
Hu+Da 1,0pu-a+Db 1,0pu-b…– k 1,0pu
nos
da una cantidad que es igual a la suma del valor final para el año u de
la llamada renta bruta del suelo (r); es decir, una renta que está todavía
gravada con los gastos de administración (v)e impuestos (s). Dividiendo
este valor final por
,
obtenemos el importe anual de la renta buscada. Si deducimos de ésta los gastos
anuales de administración y los impuestos, el resto r es la renta
líquida del suelo o simplemente renta del suelo, cuya capitalización
da, según esto, el valor económico del suelo Bu. Según esto,

y

Dividiendo la expresión de r por 0,0p se encuentra directamente
Ejemplo. Un pinar que se ha de explotar a turno de 60 años, da por hectárea los siguientes rendimientos, libres de gastos de recolección: aprovechamiento principal, 1.800 marcos; aprovechamientos intermedios en el año 20,8 marcos; a los 30 años, 32; a los 40 años, 40, y a los 50 años, 40. Los gastos de repoblación de una hectárea importan 40 marcos; los gastos anuales de administración e impuestos, 6 marcos. ¿Qué valores tienen r y Bu, adoptando el 3 por 100?

marcos.
En una explotación de monte ordenada por contabilidad, será siempre posible determinar un número aproximadamente exacto para el valor económico del suelo, que baste para el cálculo sucesivo. Debe buscarse para ello rodales que puedan ser considerados como promedios utilizables y emprender aquel camino de aproximación que ha sido propuesto en el II libro para la determinación del capital fundamental en general. Se considera el rendimiento total libre de los gastos de recolección del rodal correspondientes próximamente al turno financiero como interés final del capital fundamental buscado (G), y se calcula éste, dividiendo el rendimiento total por 1,0pu–1. Se tiene entonces G–(V+S+C)=Bu.
Por lo demás, cuánto más exacto sea poner en cuenta, para todas las investigaciones económico-financieras, el valor del suelo con aquella magnitud con que grava la explotación, tanto más justificado parece también determinar para el cálculo del tanto por ciento indicador un valor del suelo, apreciándolo con el auxilio de datos estadísticos sobre valores en coste y con auxilio del cálculo de una serie de valores posibles del suelo; pero no considerando ese valor del suelo entonces como una magnitud que oscila con la alteración de los precios de la madera, sino como una magnitud constante. Más tarde volveremos sobre esto. Aquí, como base de la teoría, puede emplearse en los ejemplos sencillamente Bu.
[…]
EL TURNO
§18
Concepto
Por turno se entiende el espacio de tiempo que transcurre desde la creación de un rodal hasta su aprovechamiento, combinado con la nueva repoblación.
Se llama edad de corta principal o de cortabilidad al fin de este espacio de tiempo; es decir, a la edad del rodal en su corta. Si ésta coincide con la que ha sido reconocida como la más ventajosa para los fines de la explotación, es normal; por el contrario, es anormal, cuando el rodal debe llegar a la corta más temprano o más tarde.
Las anomalías se presentan por fenómenos meteorológicos perturbadores, destrozos por insectos, incendio, etc.; pero también, particularmente, por consideraciones exigidas por la explotación respecto a la sucesión de cortas.
Los diferentes turnos se apoyan sobre las diferentes cortabilidades que distinguen la ciencia y la práctica.
Las cortabilldades son:
1) La física.
2) La del máximo rendimiento en especie, llamada también forestal y económica.
3) La técnica.
4) La de la máxima renta del monte.
5) La financiera.
A cada una de estas contabilidades corresponde un turno determinado.
[…]
El turno financiero.
Entendemos por turno financiero, aquel con el cual proporciona el monte el máximo rendimiento líquido, la máxima renta del suelo en la hipótesis de un determinado tanto de interés para la explotación.
Coincide con aquél con el cual se calcula el máximo beneficio industrial, bajo la hipótesis de un determinado valor del suelo o el máximo interés medio anual del fondo total de producción activo en el monte. (G. Heyer, 76, 1ª edición, p. 107 etcétera.)
El camino más sencillo para la determinación del turno financiero, es el del cálculo de la renta del suelo. Hay que proporcionarse para este objeto, en el monte o en el rodal en cuestión, todos los datos posibles, y se calcula después la renta del suelo para diversos turnos. Aquel que prometa la máxima renta es el financiero. Aun cuando sería muy de desear poseer para esto tablas locales completas y financieras de producción, no es posible esto, sobre todo para turnos elevados, dada la variabilidad de los factores. La práctica no puede, por consiguiente, ajustarse jamás por completo a la verdad: no hay más remedio, pues, que contentarse prácticamente con resultados aproximados, como tiene que suceder en la determinación de cualquier turno, no sólo del financiero.
El sencillo procedimiento de cálculo de Pressler y Faustmann nos enseña a encontrar la renta del suelo, r, por la expresión

Representan aquí las letras:
Hu, el aprovechamiento principal;
Da, Db, aprovechamientos intermedios en los años a, b, etc.;
k, los gastos de repoblación;
v, los gastos anuales de administración;
s, los impuestos anuales;
p, el tanto de interés adoptado para la explotación;
u, el turno.
[...]
Una ojeada a la fórmula de r o a la tabla enseña, en primer lugar, que el turno financiero no puede ser calculado con exactitud matemática, y en segundo lugar, que es una magnitud variable. Cuanto menos nos podamos sustraer a la convicción de que el turno financiero es el único exacto para la Economía política y privada, a no ser que motivos importantes impongan un caso de excepción, tanto más necesario es investigar la diversa influencia que en la altura de estge turno ejerce cada uno de los factores. Estos últimos pueden clasificarse en dos grupos principales:
1) Los gastos,
2) Los rendimientos.
Los gastos a su vez se dividen en dos subgrupos:
a) Interés del capital,
b) Gasto de trabajo e impuestos.
Los rendimientos se dividen en:
a) Rendimientos intermedios,
b) Rendimientos parciales."
[*] Véase los trabajos de Pressler, en "Allgem. Forts-u. Jagdztg." Revista general de Montes y Caza, 1860. "Zur Verständigung über den Reinestragswaldbau und sein Betriebsideal". Para la inteligencia de la Selvicultura del rendimiento líquido y el ideal de su aprovechamiento.
El moderno trabaja del Director Superior de Montes Bose (188) no pudo inducir a alterar nada del contenido de los párrafos que tratan del tanto por ciento indicador.
Stoelzer ha indicado en "Allgemeine Forst-und Jagdzeitung", Revista general de Montes y Caza, de 1894 (cuaderno de Junio), que ya König había sido antes de Pressler un precursor de la Estática.
[**] Desarrollada primeramente por Faustmann, en "Allgem. Forst-und Jagd-zeitung" (Revista general de Montes y Caza), 1849; pero publicada sin referencia directa a la práctica.
“Monte”. Enciclopedia Universal Europeo-Americana Espasa-Calpe, t. 36, Madrid, 1918, pp. 447-450.
[…]
B.- Constitución y funcionamiento del capital forestal
Hay en toda explotación de esta clase tres capitales que funcionan conjuntamente: el capital circulante, que sirve para remuneración del trabajo del hombre y colabora a la recolección de la cosecha, mejoras, conservación, etc.; el capital suelo, que puede definirse con Huffel diciendo que es lo que queda después de la tala, es decir, el suelo con las cepas, raíces, semillas, humus, hojas muertas y abono natural, y obras de arte inamovibles (mojones, caminos, construcciones, etc.); y el capital vuelo, característico del monte y formado por las masas de arbolado que le constituyen. Los dos primeros capitales dan una renta y están colocados a un interés siempre fácil de determinar, pero no ocurre lo mismo con el tercero, pues así como en las explotaciones agrícolas se conoce siempre el momento de la madurez del producto, es decir, la época de la recolección, no ocurre lo mismo en las forestales, donde este momento de madurez no está naturalmente determinado, y donde, además, en un instante cualquiera de la vida de las masas hay siempre una o más cosechas en periodo de formación que ocupan una superficie más o manos grande de la extensión total explotada.
He aquí por qué no puede formarse concepto de este capital sin fijar antes un criterio de explotación; a este criterio se llama cortabilidad en economía forestal, y turno al intervalo de tiempo que transcurre entre el nacimiento de una masa y su época de aprovechamiento.
Cortabilidad. Reuss clasifica los criterios de cortabilidad del siguiente modo:
| I. Cortabilidad correspondiente a los fines que llenan las masas en pie |
1º Cortabilidad física. |
|
| 2º Cortabilidad extraforestal |
||
| II. Cortabilidad correspondiente al aprovechamiento de maderas y leñas |
a. Mirando al producto en especie |
3º Absoluta. |
| 4º Técnica. |
||
| 5º Económica. |
||
| b. Mirando al rendimiento en dinero |
6º. Máxima renta total. |
|
| 7º Máxima renta del suelo |
||
| III. Cortabilidad correspondiente al aprovechamiento de los productos secundarios (resinas, corcho, etc.). |
||
Estudiaremos ligeramente la constitución del capital vuelo y la renta en los diversos casos.
1º Se llama cortabilidad física o natural, al término de la longevidad de los árboles; es la de las selvas vírgenes y que el hombre aplica para fines diversos (montes de protección o fines estéticos). Otros autores (Olazábal, Judeich) llaman cortabilidad física al período durante el cual una masa tiene aptitud para reproducirse.
2º Cortabilidades extraforestales son las aplicadas en jardinería por motivos estéticos (cortes de árboles muy jóvenes o conservación de los demasiado viejos), en arte militar (limitación de altura en las fortificaciones, talas estratégicas) o por los particulares para fines determinados (árboles de las carreteras y vías férreas, vedados de caza, etc.).
3º Cortabilidad forestal o absoluta, es aquella edad de un árbol o de una masa en que se obtiene el máximo de producción leñosa.
Sería fácil demostrar que se obtiene el máximo rendimiento en especie aprovechando a la edad del máximo crecimiento medio. La averiguación de la cortabilidad forestal queda, pues, reducida a la investigación del momento e que el crecimiento medio es igual al crecimiento anual. Según Pressler, puede tantearse este momento conociendo el valor τ del tanto por uno del crecimiento. Llamando, en efecto, E a las existencias o volumen total de la masa, n a su edad, a al crecimiento anual y c al centesimal (100 · τ), se tiene:
,
o sea 
pero puesto que a la edad del máximo crecimiento medio éste es igual al anual, se tendrá

de donde se deduce

y, por tanto, que si
la experiencia demuestra que
el
crecimiento medio es creciente si
estará en su máximo y si
será decreciente.
Para este cálculo son muy útiles las tablas de productibilidad, y este criterio de cortabilidad es el que se aplica en los montes españoles por la Administración del Estado.
4º La cortabilidad técnica es aquella edad en que los árboles pueden dar un producto determinado, como por ejemplo, postes de minas, palos de telégrafo, traviesas, etc., y se aplica generalmente por entidades particulares (Compañías ferroviarias, mineras, etc.), o cuando se desea realizar en dinero los productos en un momento determinado.
5º La cortabilidad económica es aquella edad en que el aprovechamiento de la especie de que se trate pueda proporcionar mayor número de empleos diversos o servicios posibles. Dicha edad es la más avanzada posible dentro del período de madurez natural, puesto que a mayores dimensiones del árbol mejor puede despiezarse para diversos usos, y menor también es su pérdida por la labra. Dados los naturales usos de la madera, la cortabilidad económica puede perfectamente llenarse con la forestal o absoluta.
6º La cortabilidad que da el máximo de renta del monte, en dinero, se obtiene hallando experimentalmente el valor de n que hace máxima la expresión:

en la cual P representa el valor de los productos principales, In’, In’’… el de los intermedios obtenidos en las edades n’, n’’… R el gasto de repoblación, y A, C e i los anuales de administración, guardería e impuestos, respectivamente. Fácilmente se ve que este procedimiento no es exacto, matemáticamente hablando, puesto que se prescinde de los intereses de los valores en los años que transcurren desde su realización hasta la edad n del turno.
7º La cortabilidad que da el máximo de renta del suelo, o cortabilidad financiera, se determina fijando de antemano un tanto de interés para la explotación, y viendo después la época en que es máxima la renta líquida del suelo. Consideremos una masa de 1 hectárea de extensión y supongamos que por experiencia directa se ha determinado los valores p1, p2, p3… de sus productos principales a las edades n1, n2, n3…Si se corta la masa a los n años, obtendremos una renta periódica de p pesetas, mas, si partimos como hipótesis fundamental de que durante el número de años del turno, n, ha funcionado el capital al tanto por 100 constante t, es claro que los crecimientos de cada año se añadirán al volumen ya existente como se añaden al capital las rentas que funcionan a intereses compuestos, es decir, que el suelo es un capital capaz de producir la renta periódica p cada n años, y por tanto, que su valor S puede formularse

de donde se deduce
![]()
así como también que la renta anual equivalente a esta periódica, es

Ahora bien, si llamamos Ia, Ib… a los productos intermedios que se obtienen dentro del turno n, a las edades a, b… etc., el valor del suelo será

y el de la renta anual equivalente

Pero como por otra parte se gastan el primer año en la repoblación R pesetas que, a interés compuesto, suman al año nR(1+t)n pesetas, y además anualmente la suma A+G+i en administración, guardería e impuestos, resultará con el turno n una renta líquida anual del suelo
(1)
Hallando el valor de n que hace máximo el de r obtendremos la época de la cortabilidad financiera que buscamos con arreglo a la definición.
Fácil es ver que esta edad es tanto menor cuanto más grande es el valor de t, así como también que es pequeña la influencia de los gastos de repoblación, guardería, administración e impuestos, siendo, en cambio, muy grande la del valor del producto principal y los intermedios; la alteración del precio de la unidad de los diversos productos es poco sensible, en general, si afecta a todos ellos, y más importante cuando sólo afecta a los productos principales o a los intermedios.
8º En las masas donde se aprovechan los productos secundarios (jugos, cortezas, frutos, etc.) hay que añadir al valor (1) de r, el resultado de sumar las rentas que por este concepto se obtengan los años m’, m’’, m’’’… etc., del turno n, con los intereses que produzcan hasta este año; si llamamos s’, s’’, s’’’… a dichas rentas, su suma será el año n
ε = s’(1 + t)n-m’ + s’’(1 + t)n-m’’ + …
es decir, que el suelo producirá por este concepto cada n años la renta ε que equivale a la anual

y, por tanto, que el valor n deberá ahora investigarse hallando el máximo de r + ρ habida cuenta de todas las circunstancias que influyan en el aprovechamiento.
La explotación de los productos secundarios influye siempre sobre la cantidad o calidad de la madera, o sea sobre el valor de los productos principales e intermedios, que disminuye en la mayor parte de los casos y, por tanto, en el valor de r, que se rebajará a r1, por ejemplo. Es, pues, claro que si para cualquier valor de n la suma r1 + ρ es menor que r, no convendrá económicamente subordinar la explotación a los productos secundarios, cosa que será posible siempre que r1 + ρ sea igual o mayor que r.
Tanto por ciento indicador. Hemos supuesto, al hablar de la cortabilidad financiera, que el capital suelo funciona a un cierto tanto t constante, que se elige por el propietario. Mas, supuesta una explotación cualquiera, ¿cómo puede conocer el propietario a que tanto por 100 funciona el capital y si este tanto es o no el que conviene a sus intereses? Según la hipótesis admitida, si llamamos S al capital suelo y Vn al valor del vuelo el año n, tendríamos
S + Vn = S(1 + θ)n (2)
de donde

Este valor de θ es lo que se llama tanto indicador por los alemanes (Pressler, Judeich) y tanto de colocación por los franceses. Si es menor que el t elegido, la edad de nuestra explotación será mayor que la de la cortabilidad financiera, ocurriendo lo contrario si θ es mayor que t y, por lo tanto, que en ambos casos obtenemos una pérdida con la realización del aprovechamiento a la edad n. Huffel hace una traducción gráfica muy interesante sobre este punto. Sean (fig. 7) OX un eje de edades y OY otro de valores, y representemos en valor S del suelo por la magnitud OS. Hasta una edad determinada OA el valor V de la fórmula (2) es cero; mas a partir de ella va creciendo según la curva aR, y el año n = ON tendrá el valor nn’ y, por tanto,
Y = Nn = S + Vn

Fig. 7. Acerca del tanto por ciento indicador.
Mas si por otra parte construimos la curva logarítmica Snr
y = S(1 + θ)x
tal que θ sea el resultado de substituir en (3) x por n e y por Y, θ será el tanto indicador o de colocación a la edad n = ON
Ahora bien, puesto que el valor Y aumenta hasta pasar por un máximo para luego decrecer, a medida que n es más grande, debe ocurrir lo mismo con y a medida que aumenta x, lo que es imposible sin que θ disminuya a partir del valor correspondiente al máximo de Y: luego el tanto indicador pasa también por un máximo que es siendo Ym = Mm el de Y a la edad OM = m (fig. 8)


Fig. 8. Máximo del tanto indicador.
Este máximo tiene lugar cuando las curvas Smr y SamR son tangentes, y entonces la edad OM es la del turno financiero, puesto que la renta del suelo llega a su máximo, por lo cual dicha edad es también la del máximo tanto indicador, Fácil es demostrar, finalmente, que en el año OM, el tanto indicador es igual al tanto de formación del valor del monte. En efecto trazando la tangente mT su coeficiente angular será con respecto a la curva SamR de formación del valor

y, con respecto a la logarítmica

y tomando dx = 1, es decir, igual a la unidad de tiempo, será
expresiones idénticas y que representan, respectivamente, el tanto de formación del valor al año m y el tanto indicador máximo θm. Dedúcese de aquí que nuestra explotación no puede funcionar a mayor tanto t que el θm, pues entonces la curva Smr no tocaría a la SamR, así como que cualquier tanto t menor que θm da dos edades de explotación (fig. 7) ON y OM, una menor y otra mayor que la del turno financiero, lo que traduce perfectamente lo ya dicho al principio y resuelve el problema propuesto de averiguar si nuestro capital funciona o no a un tanto conveniente.
Modo de explotación conveniente a las diversas entidades propietarias de montes. Estas son el Estado, las Corporaciones provinciales o municipales y los particulares. Respecto al primero y, prescindiendo aquí de disquisiciones sobre sus tendencias más o menos individualistas o sociales, es evidente que al Estado incumbe la misión de llenar cuantas necesidades sociales puedan ser incompatibles con el interés particular, y si de montes se trata es claro que siendo el tratamiento a turnos largos el que produce el menor tanto de interés será el más propio para el Estado en los montes de protección. Si por circunstancias legales el Estado es dueño de otros montes que no llenen este papel en la economía social, debe aplicar la cortabilidad financiera, procurando el máximo rendimiento del suelo, siempre y cuando la producción de maderas de grandes dimensiones, posibles de obtener sólo con turnos largos, sea lo suficiente en el mercado para evitar un oneroso tributo de importación al extranjero.
La vida precaria de nuestras Corporaciones provinciales y municipales causada por nuestro régimen político centralista, aconsejaría quizá en los montes pertenecientes a estas entidades la adopción del turno que más satisfaciera de momento la demanda del mercado; más la necesidad de tutoría del Estado engendrada por la incapacidad administrativa de dichas Corporaciones, y la posibilidad de que muchos de estos montes llenen también papel preponderante en la economía social, hace necesario, al menos en España, seguir con ellos el mismo criterio de explotación que en las del Estado. Por último en los montes particulares, y salvo la adopción de una cortabilidad extraforestal, es sin duda el turno financiero, o sea la colocación al máximo interés, el único criterio aceptable.
Hoy por hoy, la disminución en la demanda de grandes piezas de construcción, procedente del empleo del hierro, acero y hormigón armado, hace casi general la conveniencia de la cortabilidad financiera, salvo en los montes de protección, o en los que por razones especiales haya que adoptar un criterio extraforestal de explotación. Por lo demás, en los primeros basta ordinariamente aplicar el turno correspondiente a la edad en que igualan el crecimiento medio y el anual, para satisfacer tanto el fin de protección como el de abasto del mercado de piezas de grandes dimensiones.
[…]
© Copyright
Vicente Casals Costa, 2005
© Copyright Scripta Nova,
2005
Ficha bibliográfica:
CASALS, V. El turno forestal, la propiedad de los montes
y la recepción de la fórmula de Faustmann en España, 1849-1918. Geo
Crítica / Scripta Nova. Revista electrónica de geografía
y ciencias sociales. Barcelona: Universidad de Barcelona, 1 de febrero de
2005, vol. IX, núm. 182. <http://www.ub.es/geocrit/sn/sn-182.htm>
[ISSN: 1138-9788]