Menú principal

Índice de Scripta Nova

Scripta Nova
REVISTA ELECTRÓNICA DE GEOGRAFÍA Y CIENCIAS SOCIALES
Universidad de Barcelona. ISSN: 1138-9788. Depósito Legal: B. 21.741-98
Vol. X, núm. 217, 15 de julio de 2006
[Nueva serie de Geo Crítica. Cuadernos Críticos de Geografía Humana]


HACIA UN MODELO TEÓRICO DEL COMPORTAMIENTO ESPACIAL DE LAS ACTIVIDADES DE OFICINA

Carlos Marmolejo Duarte
Centro de Política de Suelo y Valoraciones. Universidad Politécnica de Cataluña
marmolejo.carlos@gmail.com

Josep Roca Cladera
Centro de Política de Suelo y Valoraciones. Universidad Politécnica de Cataluña

Recibido: 30 de enero de 2006. Devuelto para revisión: 12 de junio de 2006. Aceptado: 26 de junio de 2006.

Resumen

La teoría general de la localización clasifica en cuatro  grupos a los factores que condicionan el emplazamiento de todo tipo de actividades urbanas: accesibilidad, jerarquía social,   economías de aglomeración  y externalidades ambientales. Sin embargo, para cada subconjunto de actividades (industria, comercio, distribución logística, etc.) existen factores, dentro de dichos grupos, cuya incidencia se eleva por encima de la del resto, conformando de esta manera cuerpos teóricos específicos. La investigación que aquí se reporta parte de la hipótesis de la existencia de  un  factor que de manera consustancial explica el comportamiento locativo de las actividades de oficina. Más en el fondo aún, se trata  de  hallar  las razones profundas que articulan el cuerpo de una teoría específica sobre la localización  de dichas  actividades. Una vez hallado y aislado dicho factor fundamental se construye un modelo teórico de interacción espacial con el objeto de probar, en el campo empírico, la validez que de las hipótesis que de él se desprenden. 

Palabras clave: teoría de la localización, localización de oficinas, modelos de interacción espacial, actividades de oficina, localización de las actividades de la información.

Key words: location theory, office location, spatial interaction models, offices, location of the information activities.

La teoría de la localización ancla sus raíces, como es del dominio común, en la tradición geográfica germana, donde el Isolierte Staat de J. H. Thünen (1826) marcó el inició de un amplio legado de estudios locativos, que sin embargo estaban  más relacionados con la geografía que con la economía[1]. Inspirada en la distribución de usos de suelos agrícolas, la incipiente teoría de los “círculos concéntricos”  demostró elegantemente que la localización de las actividades y la renta atribuible al suelo en el que se implantan son dos caras de una misma moneda: la autoorganización espacial de la sociedad, y más en el fondo aún, son consecuencia, ambas,  de la economía de la energía, y sobre todo, de la distinta apreciación (valoración) que las diferentes actividades (de servicios y de producción) tienen en el mercado (sociedad). En su evolución, la teoría de Thünen, sería traslada al campo urbano, y en su ápice se ubicaría la aportación de W. Alonso (1965): la teoría de las “rentas de puja”.

Muchas críticas pueden hacerse a dicho cuerpo teórico, pero sólo una puede ser capaz de incidir medularmente en él: fue muy fácil para Thünen, Laundhard[2]  y Alonso explicar cómo, a partir de un centro determinado, la economía es capaz de organizarse, generar un patrón de usos del suelo y una jerarquía espacial marcada por la renta del suelo; sin embargo, sin dicho centro, el encanto del proceso autorganizativo no existiría. ¿No hubiese sido más sensato iniciar dilucidando  las razones profundas que subyacen en la existencia del centro, para después explicar las consecuencias espaciales de su presencia?

La geografía urbana, en un principio, también esquivó hábilmente el problema anterior, y lo hizo presuponiendo que las actividades con una curva de demanda rígida, generalmente de naturaleza especializada, habían de localizarse centralmente con el objeto de garantizar un área de mercado mínima, mientras que las actividades menos especializadas,  con curvas de demanda elásticas, podían localizarse en centros con áreas de mercado menores (subcentros), conformando así, lo que se llegaría a conocer como la Teoría del Lugar Central.  Parece, por tanto, que los engendradores de la teoría de la localización olvidaron, por completo que antes que nada los localizadores están encarnados en personas con procesos complejos de interdependencia, competencia y cooperación, y por tanto, en sujetos ampliamente susceptibles al influjo de las externalidades de todo tipo; y en este sentido, el espacio, no sólo es el común denominador en el que se incardina la proximidad física (la accesibilidad de los economistas y geógrafos urbanos), sino también otras proximidades mucho más sutiles como la institucional y organizativa, pero con resultados de suma  importancia.

Es precisamente la existencia de  externalidades lo que permite explicar exitosamente el proceso de emplazamiento espacial de las actividades que, a diferencia del comercio, la industria y la residencia, tienen una naturaleza inmaterial como en el caso de las actividades de la información, es decir, de las actividades de oficina.

Naturaleza y clasificación de las actividades de oficina

Define el Diccionario de la Real Academia Española el término “oficina”, en su primera acepción, como el lugar en el que se trabaja. Seguramente que tal descripción resulta, para el sentido común, confusa, puesto que una fábrica manufacturera o un aula de clases podrían, según dicha definición, ser oficinas. Detalla, dicho diccionario, en su cuarta acepción, que una oficina es “parte o lugar donde se fragua y dispone algo no material”, concepto más parecido a la definición que aquí pretendemos otorgar no a los edificios de oficina, sino a las actividades que dentro de ellos se gestan.  Recientemente Lyssa Jenkens (1996) ha establecido tres criterios para identificar a las actividades de oficina: éstos consisten en identificar la naturaleza de los insumos, el tipo de procesamiento y la producción de dichas actividades; así, cuando en dichas etapas existe una entrada, transformación y una salida de información estaremos frente a actividades de oficina. En consecuencia las actividades de oficina, efectivamente son inmateriales, y su sustancia es, en el fondo, la información. Lo importante de la simplificación anterior es que ilustra perfectamente que  el vehículo de interacción del núcleo del proceso oficinesco (la transformación de la información) con el mundo exterior se genera a través del intercambio de información. Distintos núcleos de transformación de información se enlazan entre sí, prospectiva y retrospectivamente, e incluso con núcleos de otros procesos económicos (más tangibles)  como el comercio, la manufactura, los transportes, etc. para formar una intrincada red, en la cual, los axones están caracterizados por intercambios (y simples transmisiones unidireccionales) de información. Por tanto, al igual que en el caso de las manufacturas, en el proceso oficinesco, también existen enlaces prospectivos y retrospectivos, a la usanza de los industriales de Hirschman (1958).

Clasificar para entender la localización

Para encuadrar la lógica locativa de  las actividades de la información hace falta clasificarlas. La taxonomía que de manera usual se ha utilizado para clasificar a las actividades de oficina, se base en los mismos criterios de clasificación de las actividades terciarias[3]; dicho fundamento es tan erróneo  como la propia adscripción de consabidas actividades al sector  terciario. Resulta fútil intentar adscribir a las oficinas, de manera exclusiva,  al sector de los servicios  cuando en realidad los procesos de gestión (que involucran las características de recepción-transformación-emisión de información) están presentes en todos los sectores de la economía; de hecho, el edificio genérico de oficinas, no se inventó a principios del siglo XIX  como consecuencia  del crecimiento de la  demanda de espacio del sector terciario, sino debido a la expansión industrial.

Nuestra postura se inclina por clasificar a las oficinas desde una perspectiva funcional y capaz de ser generalizada a todo tipo de actividades de la información: desde un departamento de I+D hasta la gestión de un supermercado. En este sentido, los primeros en clasificar a las actividades de la información, desde la perspectiva funcional,  como sistemas de actividad fueron Ehrlmark (1964), B. Thorngren (1972), A. Pred (1973), J.B. Goddard, (1973, 1975), L. Olander  (1979), y  Gad (1979); dentro de este grupo de autores cabe señalar el trabajo de la CEAT sobre clasificación de las actividades desde la perspectiva funcional[4]. Según la Teoría de la Actividad, en un sistema de este tipo el proceso se segrega en actividades organizadas en función de la división  del trabajo, las cuales son acometidas por uno o varios sujetos. La existencia de un objetivo común al sistema permite que los objetivos especiales de cada etapa o acción tengan una orientación coordinada.  Dentro de este encaje B. Thorngren (op. cit.) propuso que en los sistemas de actividad, propios de las oficinas, cada etapa del proceso podía dividirse en “momentos”, los cuales podrían clasificarse, de manera genérica, en tres categorías:

1) los relacionados con la dirección u orientación del proceso.

2) los relacionados con la planificación o desarrollo.

3) los relacionados con su supervisión[5]o ejecución directa.

Las actividades  de orientación  son  las funciones direccionales por antonomasia. Dichas funciones  son ejecutadas desde la más alta jerarquía  de las organizaciones, debido a que de ellas depende el devenir no sólo de las empresas ideadas, sino y sobre todo, de las propias organizaciones. El objetivo principal, de dichas actividades, es el de concebir proyectos específicos. Esto  involucra tener un amplio conocimiento de la situación de la organización, de sus capacidades técnicas y financieras, de su funcionamiento administrativo, de las necesidades de la demanda, de la tecnología de vanguardia presente y futura potencial, de la posición de la competencia, y en general del estado del arte  de la  ciencia, la técnica, la economía y la sociedad. El proceso de orientación, requiere no sólo que la información sea asequible, sino también  que el entorno facilite el intercambio de experiencias, el debate, la reflexión y la generación de conocimiento. Por esta razón, estas actividades son ejecutadas por individuos capacitados y especializados, con gran experiencia, o aptitud en la resolución de problemas y con agudeza prospectiva por tal de encontrar solución no sólo a las necesidades presentes, sino también, a las futuras.

Una vez esbozado el proyecto por las funciones direccionales o de orientación, éste tiene que ser desarrollado, es decir, se tienen que prever  los detalles y la logística de cada una de las partes que lo conforman. Las funciones de planificación están supeditadas a las de dirección, y su principal  objetivo es llevar a la  concreción las ideas abstractas concebidas por las actividades superiores, por tanto tienen un carácter más técnico y de detalle. Con ello se busca resolver todas las minucias que implica la ejecución del proyecto en  cada una de sus etapas, así como estudiar  la viabilidad técnica y financiera de la  implementación del mismo. La evaluación integral realizada por las actividades de planificación permite tomar decisiones sobre la implementación del proyecto tal y como fue concebido, reorientarlo, o simplemente abandonarlo.  Las actividades de planificación suelen ser ejecutadas por especialistas, cuya visión, a diferencia de los orientadores, se  centra exclusivamente en una (o algunas) etapa(s) del proyecto (financiamiento, producción, logística, marketing,  etc.).

Una vez que el proyecto ha sido concebido y planificado, sólo hace falta ponerlo en marcha, lo que supone una serie de funciones de gestión ejecutiva. Las funciones de ejecución tienen este objetivo así como el de dar seguimiento y control del proceso real  respecto al  planificado. Las funciones de  ejecución  son de aplicación tanto a los procesos productivos como a la prestación de servicios:  dentro de ellas encajaría, por ejemplo, la supervisión de la producción, las ventas, el control de la distribución, la tesorería, la contabilidad, algunos servicios legales, etc. Aparentemente son las funciones más banales; sin embargo, para el sistema   su importancia es mayúscula porque son la interfase entre los procesos de producción o implementación y las actividades de dirección y planificación. Por tanto, dichas actividades fungen como un nexo que permite  que el sistema se retroalimente, mejorando el funcionamiento del proyecto en cuestión y atesorando experiencia para la implementación de trabajos  futuros. Debido a  que estas funciones involucran tareas claramente preestablecidas la formación de sus ejecutores es media  dado que sus faenas son más bien rutinarias, toda vez que han sido previstas desde la planificación.

Necesidades de intercambio de información de las distintas clases de actividad de oficina

Es importante señalar, de cara al estudio locativo, que  cada una de las  etapas del proceso productivo de las oficinas tiene necesidades específicas de adquisición, intercambio, y remisión de información, debido a las especificidades de su naturaleza y a su objetivo particular.  Es precisamente la diferencia en las necesidades de comunicación la que condiciona en última instancia la localización, porque para cada función específica  existirá una localización óptima, en virtud de que la cualidad y cantidad de los contactos que cada actividad de oficina necesita carecen de ubicuidad espacial. Este es el núcleo funcional en el que se apoya nuestra teoría de la localización de las actividades de oficina.

En este sentido, y desde la perspectiva teórica, se podría caracterizar la naturaleza comunicativa de cada tipo de actividad de oficina, de la siguiente manera:

Así las cosas, tendríamos que las actividades de oficina al igual que las demás actividades económicas no poseen procesos de producción autárquicos, requieren interrelacionarse tanto con las unidades a las que administran (sus sistemas de actividad), como con los clientes a quienes dan servicio, con los proveedores de quienes dependen, o con sus análogas con quienes compiten. Las actividades de oficina son, en consecuencia, procesos altamente dependientes del intercambio de información. Lo relevante de la clasificación funcional anteriormente expuesta es que cada tipo de actividad al tener objetivos distintos, tiene distintas necesidades de intercambio (uni o bidireccional) de su principal insumo y producción: la información.

En este sentido la Teoría de la Difusión de la Información, ampliamente desarrollada a partir de las aportaciones de Allan Pred y Gunnar Törnqvist (1973) establece que existen distintos tipos de información, y que cada uno tiene mecanismos y medios específicos de difusión. Según Pred, la información se puede clasificar, en primera instancia, en dos tipos: especializada y genérica. La información especializada puede, a su vez, ser de tipo: a)   privada, b)  pública, y c)   visual.  La información pública se difunde en medios genéricos o específicos de distribución en función de su nivel de especialización, la información visual es, en principio, pública pero, a través de la observación es internalizada por los individuos, y estos pueden transmitirla de manera discrecional e incluso privatizarla. Por su parte, la información privada suele concernir a un tema en particular (por tanto es especializada y específica), y su difusión además de ser confidencial, es discrecional, siendo el principal medio de transmisión el contacto personal cara a cara, pero también el escrito dirigido. De esta manera, la interacción presencial, se constituye en el vehículo de intercambio de la información más cualificada, pero también de conocimiento, por tanto, se convierte en una condición en la construcción de los espacios geográficos específicos de la innovación, es decir, de los  medios de innovación. La comunicación oral y presencial tiene, sobre el resto de medios de comunicación, algunas ventajas como lo es su carácter multidimensional, a través del cual, los comunicadores se valen de mecanismos multisensoriales que les permiten transmitir y percibir con mayor precisión las ideas y acometer de mejor manera las intenciones  pretendidas. El tono de voz, la cadencia, el volumen,  coadyuvan a  cambiar la significación  de las palabras, la riqueza y énfasis del lenguaje oral es difícilmente igualable por el  escrito. El lenguaje corporal, por su parte, aporta  información contextual a través de las gesticulaciones, expresiones, ademanes, la posición,  la orientación del interlocutor. Además, en  la interacción presencial se añade la dimensión del tacto. Todas las características anteriores coadyuvan a optimizar el proceso comunicativo presencial, situándolo, por encima del resto de formas de comunicación, sobre todo, cuando el objetivo de la comunicación presencial se centra en la negociación o en el aprendizaje  (Rosemberg, 2001).

 Las necesidades de comunicación desde la perspectiva empírica

Desde la perspectiva empírica también se han ratificado las diferencias en las necesidades de comunicación de las distintas funciones de oficina. Quizá el estudio clásico  más extensivo, y que mejor se ajusta a la clasificación oficinesca aquí discutida (dirección, planificación y ejecución), es el de J.B. Goddard (op. cit.) realizado en el Londres central. A partir de una bitácora de contactos de comunicación de las oficinas de distintas firmas y sectores económicos, Goddard analiza la naturaleza de  6.680 contactos (tanto presenciales como telefónicos), con el objeto de caracterizar las especificidades comunicativas de cada tipo de actividad de oficina en términos de: duración del contacto, número de participantes, nivel de pre-concertación, espectro temático, nivel de retroalimentación, carácter comercial o no del contacto, interfase de comunicación y frecuencia con la que el contacto suele ocurrir. Como resultado de aplicar la técnica del perfil latente[6] a la matriz de contactos, cada función de oficina fue caracterizada como se observa en la figura 1. En dicha ilustración los ejes representan la escala estandarizada de cada uno de los factores analizados, y anteriormente señalados, mientras que las figuras de geometría circular irregular son el perfil de cada tipo de actividad de oficina en función de cada factor.

Con meridiana claridad se observa la divergencia entre las necesidades de comunicación de cada tipo de oficina, sobre todo, entre las actividades con tareas más cualificadas (orientación o dirección) con respecto a las actividades con tareas más rutinarias (ejecución). La figura en color claro representa a las funciones de dirección, es decir, aquellas superiores  cuyo objetivo es la concepción de las ideas y la orientación del sistema de actividad, dichas actividades  registran una necesidad de contactos de duración alongada, requieren  la participación de muchos agentes, lo que deriva en citas concertadas con gran antelación, estos contactos dan pauta a que los temas  tratados observen el espectro de asuntos  más amplio de la gama, es decir, que el temario  es diverso y amplio, existe un alto índice de retroalimentación. Una de las características más trascendentales, de cara al estudio de su localización, es que dependen especialmente de la interacción personal cara a cara.  Se observa también, que son los contactos que ocurren con menor frecuencia, por tanto,  son encuentros  que se distribuyen en grandes periodos temporales  pero con posibilidades de obtener resultados sustanciosos.

 

Figura 1. Caracterización de las necesidades de comunicación de los distintos tipos de oficina

 

Por su parte, la figura de color gris intermedio  representa las  funciones de planificación, es decir, aquellas que desarrollan las ideas preconcebidas por las actividades de orientación. Según se observa,  se caracterizan por contactos de una duración mucho menor que los de orientación, el  número de participantes es más reducido, su espectro de discusión es similar al de las funciones de orientación, la dedicación de tiempo a cada asunto  y la participación reiterativa, manifiesta por la alta frecuencia de contactos, les permite tener una retroalimentación informativa elevada. Asimismo son contactos que requieren tanto de la interacción personal cara a cara como de la comunicación telefónica. Por último las funciones que tienen como objeto concretar  los procesos concebidos y planificados en las etapas  anteriores tienen una caracterización comunicativa bastante paradigmática y asociada a las funciones rutinarias con las que se les vinculan a priori (figura gris oscuro).  Sus contactos son breves e involucran la participación de pocas personas; de los tres tipos de contactos son los que tienen un espectro de debate más limitado y en los que existe  la mínima retroalimentación informativa, estos contactos están más bien relacionados con la comercialización de los productos del sistema de actividad, el medio de comunicación por excelencia es el telefónico, mientras que los contactos cara a cara son limitados, y la frecuencia de contacto es intermedia.

El impacto de las TIC en los patrones locativos de las actividades de la información

La revolución de las telecomunicaciones está, sin duda, transformando las pautas de interacción social. Ya en la década de los setenta el urbanista Melvin Webber hablaba de la trasformación de los dominios territoriales hacia otros de carácter ilocal; en este sentido, afirmaba Webber que “la interacción, no el lugar, constituye la esencia de la ciudad y de la vida urbana (p.135, 1964), una idea que acabaría por consolidar el sociólogo Manuel Castells; luego entonces, lo que se espera de la transformación de dicha interacción  es, en consecuencia, la transfiguración de la articulación urbana en sí misma.  El impacto más importante sobre los patrones de localización de las actividades de la información, ante el estadio  actual de las TIC,  puede resumirse en tres puntos:

1) Una separación física de las distintas fases del sistema de actividad

2) Un aumento de la interacción (a distancia) y el rango de influencia

3) Una aparición de nuevas formas de distribución espacial del trabajo

La neotecnología de finales del siglo XX, facilita la división espacial del trabajo, lo que  aunado a las prácticas laborales posfordistas, que tienden a flexibilizar la estructura empresarial, produce una escisión espacio-funcional  de las organizaciones.  La separación funcional de las actividades dentro de las estructuras corporativas modernas –particularmente entre la administración y la producción material- es reflejada por una división espacial de la división del trabajo, permitiendo que cada actividad se emplace en función de la localización que mejor satisface  sus necesidades (o que permite aumentar el ahorro asociado a los costes de emplazamiento).

Quizá una de las repercusiones más tangibles de la irrupción telemática  la constituye la introducción de dos prácticas laborales innovadoras íntimamente relacionas con las actividades de la información: 1) el teletrabajo y, 2) el trabajo distribuido.  El teletrabajo se refiere a la parte de las tareas laborales que son realizadas desde la residencia del  empleado dentro de un lapso de tiempo equivalente a la jornada tradicional[7]. A pesar de que la práctica de llevar parte de las tareas a casa siempre ha existido, está se ha intensificado  gracias al mayor acceso a las TIC producido por las economías de escala en su provisión. Por otra parte está el telecommuting o  también conocido como trabajo distribuido.  Esta práctica, introducida en Japón, consiste en la instalación de un centro de trabajo satélite,  que suele localizarse cerca de la residencia de los trabajadores cualificados de la empresa.  La distribución del trabajo representa una escisión de las actividades de la organización, así aquellas actividades no estratégicas suelen realizarse en las sedes satélites, mientras que las actividades más importantes, que involucran la reunión presencial de los empleados, se realizan en la sede central; así “los teletrabajadores deberían ser capaces de trabajar todo el tiempo en sus casas o en oficinas satélite y hacer visitas a sus compañías cuando fuese necesario” (Shin et al., 2000,p.97). De esta manera, las empresas tratan de incentivar una mejora de la productividad y de la satisfacción laboral de los empleados derivada de: 1) la reducción de los viajes pendulares cotidianos, y 2) una mayor flexibilidad laboral propiciada por el hecho de que las actividades teledistribuidas no requieren un horario rígido. En la práctica, sin embargo Shin ha encontrado que esta estrategia se utiliza más para retener a los talentos locales.

A pesar de que el teletrabajo y el telecommuting han sido vistos  como un instrumento capaz de coadyuvar a reducir la contaminación originada por la movilidad obligada, su implementación está todavía lejos de generalizarse, dado al escepticismo y la renuencia que su implantación involucra.  Los supervisores son reacios a aceptar los sistemas de teletrabajo ya que perciben que sus cargas de trabajo se verán incrementadas por el seguimiento “especial” de sus subordinados. Mientras que las consecuencias del aislamiento laboral (Vg. falta de interacción social, individualismo, ausencia de sinergias empresariales)  son un tema pendiente de estudio.

De esta manera, la revolución tecnológica en las comunicaciones,  lejos de producir una dispersión generalizada  de las actividades tiende a separarlas selectivamente: sólo ciertas actividades se descentralizan, mientras que otras quedan concentradas. La  primera irrupción de las telecomunicaciones en la década de los setenta permitió la dispersión de ciertas actividades rutinarias, a la vez que las funciones más estratégicas se concentraron aún más (Martinelli, 1991).  “A pesar del enorme progreso hecho en las comunicaciones electrónicas, muchos de los contactos involucran [todavía] reuniones y conversaciones” (Schiller, 2001, p.107),  el estado actual de las TIC no ha logrado emular en todas sus magnitudes los efectos de la interacción presencial.  Quizá, por esta razón[8], en la medida que es posible, las empresas que deciden dejar las aglomeraciones centrales y desplazarse hacia la periferia, establecen un front desk u oficina insignia en el centro urbano, en la cual se verifican las tareas directivas y los contactos con otras empresas.

Más allá de los vínculos funcionales, las externalidades territoriales

Hasta ahora se ha visto que  el intercambio de la información más cualificada, a pesar de la revolución tecnológica,  suele verificarse mediante una interacción funcional de tipo presencial, por lo que  localizarse en un sitio adecuado significa, para las actividades dependientes de dicho tipo de información, ahorrar costes relacionados con la economía de la energía y sobre todo el tiempo, que en otra localización serían empleados en desplazamientos. Empero, la concentración espacial  no sólo representa proximidad física (accesibilidad), sino también coadyuva a que emerjan otras fuerzas locativas de mucho mayor calado, capaces de mantener aglomeradas a dichas actividades, e incluso otras que no establecen relaciones funcionales con el resto; dichos cohesionantes son naturalmente las externalidades territoriales de tipo económico, pero también social.

La existencia de externalidades territoriales, que pueden ser internalizadas como beneficios pecuniarios por las organizaciones  aglomeradas, es la esencia de la acepción original de las economías de aglomeración de Alfred   Marshall (1890). Las economías de aglomeración pueden afiliarse a 4 clases: generación de un mercado de trabajo ajustado a las necesidades de las organizaciones, es decir de un capital humano; existencia de procesos de spill over de conocimiento;  generación de proveedores (o distribuidores) competitivos; y generación de economías de escala que permiten acceder a tecnología de punta en los procesos productivos (tanto de equipos, como de infraestructuras compartidas). Ciertamente  las economías de aglomeración tienen impactos selectivos en función de la naturaleza de las organizaciones; en este sentido E. Hoover (1948) las clasificó  en dos grupos: economías de localización, es decir aquéllas externas a la firma pero internas al sector, y economías de urbanización es decir aquéllas externas tanto a la firma como al sector. Por tanto, dichas economías pueden surgir  tanto de la mano de la especialización como de la diversificación.  J. Jacobs (1972) ha argüido que la  existencia de las economías de urbanización,  y muy especialmente su diversificación en las grandes metrópolis, es la clave del  éxito de estas ciudades  como incubadoras de empresas, así como  de su crecimiento.  Lo importante es que la asimilación de estas externalidades territoriales por las firmas es la esencia  de la existencia de rendimientos crecientes (P. Krugman, 1996), a los que se atribuye que tanto los clusters como las ciudades en sí mismas  estimulen el crecimiento económico continuado a través de la mejora en la competitividad.  La existencia de las economías de aglomeración, y paralelamente de sus antagónicas economías de desaglomeración (ampliamente conceptualizadas teórica y empíricamente por J. V. Henderson, 1974, 1997, 1999 y 2000), es  la base sobre la que se construyó gran parte de los modelos de competitividad regional y crecimiento económico (A. Weber, 1929; A. Lösch, 1954; W. Isard, 1968; M. Porter, 1980, P. Krugman 1996, P. Wood, 2002).

La clave para entender el impacto de las externalidades en la decisión locativa de las actividades con procesos inmateriales como las oficinas está en hallar el punto de mayor incidencia dentro de su proceso productivo.  Como se ha expuesto en el epígrafe anterior, el principal insumo y producto de las referidas actividades es la información, y su principal valor añadido es el procesamiento de dicha información (p.e. la redacción de un informe), proceso en el cual el conocimiento (reflejado en el progreso tecnológico, pero también en el capital humano) tiene un papel, sin lugar a dudas, medular. En este sentido, y desde la perspectiva económica, G. Becker (1964) ha definido que los verdaderos portadores del conocimiento son las personas lo que sitúa al capital humano en un papel preponderante. En este sentido Lucas (1988 y 2002) ha demostrado el papel de dicho capital  en el desarrollo de los territorios. Así,  los procesos de spill over de conocimiento, como el aprendizaje tácito o las relaciones empresariales no comercializadas, que emergen de la convivencia espacial de las organizaciones, son la principal externalidad que incide en el funcionamiento de las actividades de la información y el conocimiento, especialmente en aquellas capaces de absorber dicho conocimiento y transformarlo en innovación. Por tanto,  “la interacción presencial que se suscita entre las actividades de oficina orientativas, no sólo es el vehículo  por el que se transmite la información confidencial de carácter estratégico, sino y sobre todo, parte del conocimiento y la experiencia incardinada en los interactuantes involucrados”.

Más allá de la esfera estrictamente económica, la proximidad espacial, además de facilitar las relaciones funcionales, y habilitar las externalidades territoriales, permite el establecimiento de relaciones sensiblemente más sutiles, de tipo básicamente social, pero con repercusiones estrictamente económicas de una importancia mayúscula. De manera complementaria  a las aportaciones de Porter, G. Becattini (1987) ha añadido que el éxito y la competitividad de los distritos económicos no sólo está  sustentado   por las relaciones funcionales y los beneficios pecuniarios derivados de las economías netas de aglomeración, sino también por las redes sociales que coadyuvan a sobrellevar el riesgo de las empresas acometidas, y que facilitan su entendimiento. Dichas relaciones están más bien relacionadas con la existencia de un arraigo local, así como por los códigos culturales, religiosos y morales que se comparten en un especio geográfico determinado. Por tanto, la aportación de la base local trasciende la esfera estrictamente económica para alcanzar la sociológica  conformando  las soft networks (E. Malecki, 2002). Así, las redes sociales habilitan la aparición de proximidades de tipo institucional y organizativo (D. Mercier, 2005), que sin lugar a dudas, completan los vectores que definen la competitividad del territorio, y en consecuencia influyen en las decisiones locativas de las organizaciones. 

Hacia una interpretación de la teoría de la localización de las actividades de oficina.

El primer eslabón que nos conduce a la  comprensión del funcionamiento locativo de las oficinas lo constituye la exploración del pilar fundacional de su teoría específica de localización. En este sentido, la teoría de la formación de la renta del suelo y la localización de las actividades agrícolas de von Thünen está fundada en el coste de transporte de las mercancías y su precio específico en el mercado. Por su parte,  la teoría del lugar central de Christaller y Lösch se basa en la inelasticidad de la demanda de los productos especializados distribuidos en los lugares centrales. La teoría de la localización industrial de Weber está basada, entre otras cosas,  en la relación precio-costo de mano de obra, en el  peso-coste de transporte, y de manera distintiva,  en las economías de aglomeración. La teoría de la localización comercial de Reilly gira en torno al concepto de potencial de mercado. Finalmente la teoría de la localización residencial de Alonso se basa, además del costo de transporte, en el nivel de utilidad intrínseco al consumo de espacio residencial. Luego entonces, el cuestionamiento que emerge es: ¿Cuál es el factor que determina, distintivamente,  la localización de las actividades de oficina?

En este sentido hemos  intentado  sintetizar la esencia funcional que articula el comportamiento locativo de estas actividades. A través del análisis de los estudios empíricos y disertaciones teóricas  realizadas en torno a este tema[9], hemos llegado a la conclusión de que  la esencia del funcionamiento locativo reside dentro de la propia naturaleza oficinesca. Las actividades de oficina, como se ha dicho,  tienen como principal insumo la información, procesan información y producen información: son, ante todo, actividades de la información. Es precisamente la forma como dicha información es transmitida con el exterior, la que condiciona, en primera instancia, el emplazamiento espacial  intrametropolitano de estas actividades.

Es la necesidad de intercambio de información y de conocimiento, el mecanismo neurálgico que dicta, en buena medida, la decisión locativa de las oficinas. Se trata de un factor cuya importancia se eleva por encima de los condicionantes clásicos, con los que la Teoría General de la Localización explica el emplazamiento de las actividades económicas (accesibilidad general, jerarquía social, economías de aglomeración, y externalidades ambientales). Dicha preponderancia conceptual se debe,  no sólo al hecho de que este factor incide directamente en el funcionamiento medular de las actividades de oficina,  convirtiéndose con ello en un factor que afecta particularmente su localización, sino y sobre todo, por su capacidad para  explicar porqué distintos tipos de oficina tienen, en el campo empírico,  patrones locativos diferentes.

En este orden de ideas, las actividades de oficina pueden clasificarse, como se ha visto antes, en actividades de orientación, planificación y ejecución, en atención al papel que desarrollan dentro de los sistemas de actividad. Es decir, que la división del trabajo permite diferenciar una concatenación de actividades de oficinas  que van desde las directivas hasta las más rutinarias. Llegados a este punto, lo que interesa es discernir en qué medida la posición de cada tipo de oficina, dentro del sistema de actividad, condiciona sus necesidades de intercambio de información y conocimiento, tanto con el exterior de la firma como entre los departamentos de la misma. Hemos visto que, desde la perspectiva teórica y empírica, existe una clara relación entre el tipo actividad de oficina y la intensidad de interacción comunicativa. Aquellas actividades relacionadas con la gestación de los procesos productivos y la alta dirección, poseen los niveles de interacción más altos, en los que interviene el  mayor número de personas, en los que se discute una temática amplia, o se negocia. Son, en términos comparativos, los patrones de comunicación con mayor grado de interactividad, toda vez que se establecen procesos de retroalimentación, tanto de información como de conocimiento. Asimismo, los patrones de comunicación de estas actividades orientativas están prioritariamente basados  en la interacción presencial cara a cara, medio a través del cual, se verifica el intercambio de la información más cualificada y, sobre todo, de conocimiento. Muy por el contrario, las actividades de oficina con tareas más preestablecidas, aún cuando pueden tener niveles de comunicación intensos, poseen un grado de retroalimentación menor, como menor es también  la interacción presencial que requieren, puesto que los medios telemáticos les permiten estar conectadas en cualquier lugar[10].

Por tanto, nuestra primera hipótesis plantea que las actividades de oficina que tienen una necesidad intensa de interacción presencial  tienden a minimizar el espacio entre ellas, por cuanto éste ejerce una fricción importante en términos de costo  energético, y sobre todo, de tiempo malgastado en el desplazamiento. Mientras que aquellas oficinas con patrones de interacción presencial exiguos, o que pueden sustituirlos por medios telemáticos  tienen, desde esta perspectiva,  una mayor independencia para elegir su emplazamiento espacial  Es decir, la intensidad de aglomeración espacial es una función, que desde el punto de vista funcional, depende de las necesidades de interacción presencial.

Por otra parte, nuestra segunda hipótesis plantea, que la interacción presencial que cohesiona a las actividades de oficina de orientación o  dirección dentro de los clusters,  aporta beneficios a las firmas cuya cuantía, expresada en términos económicos,  es superior a los costes de transporte (energía + tiempo)  ahorrados por la proximidad espacial. Es decir, que los beneficios no comercializados generados en el seno de la aglomeración espacial, como los procesos de  spill over de conocimiento, son habilitados por la interacción presencial.  Sin embargo la existencia de estas externalidades no beneficia de manera uniforme a todos los tipos de actividades de oficina, sino solamente a aquellas que efectivamente tienen capacidad de asimilarlas  (como las de orientación o de planificación).   Estos rendimientos crecientes provocan, asimismo, que las actividades de oficina más cualificadas extraigan sobrebeneficios superiores a los sobrecostes que la  aglomeración les origina, y en consecuencia sean menos susceptibles a las deseconomías de la aglomeración.

Ambas hipótesis se resumen en el planteamiento principal de esta investigación:

Las actividades de oficina tienden  a localizarse cerca unas de otras de manera directamente proporcional a la intensidad de interacción presencial que las relaciona  e inversamente proporcional a su incapacidad para afrontar las deseconomías que tal aglomeración les ocasiona.

De la comprensión del párrafo anterior se desprende una aportación adicional que pone énfasis en la naturaleza completamente  exógena del atractivo de un sitio como emplazamiento de oficinas. Todo lo demás igual, las localizaciones urbanas no son atractivas por sí mismas, sino por el emplazamiento que guardan con cada una del resto de localizaciones del sistema urbano y, sobre todo, con los localizadores emplazados en ellas. Además, cuando hablamos de distintos tipos de oficinas, el atractivo exógeno de cada localización es eminentemente subjetivo, puesto que es valorado de una manera distinta por cada grupo de oficinistas, debido a  que cada grupo extrae beneficios de cada localización de una manera diferente.

En función de todo lo anterior tenemos  que distintas necesidades de interacción presencial y distintas capacidades para afrontar las deseconomías de la aglomeración  producen distintas formas de localización.  Desde este encuadre teórico, aquellas oficinas  con una elevada intensidad de interacción presencial, y a la vez, con una elevada capacidad para afrontar los costes de la aglomeración tenderán a formar clusters espaciales. Por el contrario, aquellas actividades con necesidades de interacción presencial débiles o con una manifiesta incapacidad para afrontar las deseconomías tenderán, no sólo a tener un patrón más disperso, sino también  a descentralizarse con el paso del tiempo  de una manera progresivamente creciente.

Sin embargo, la necesidad de interacción presencial y la capacidad para asimilar las economías de aglomeración no son factores locativos exhaustivos ni excluyentes. Dichos factores medulares, afiliados exclusivamente  a la demanda, están acompañados por el resto de factores locativos que la teoría general de la localización utiliza para explicar el emplazamiento de todo tipo de actividades urbanas: accesibilidad general, economías/deseconomías de aglomeración, comportamiento sociológico de los localizadores (como el prestigio especialmente valorado por las actividades direccionales), y el resto de las externalidades de carácter ambiental.   Además, todos los factores derivados de las consideraciones locativas de la demanda están, evidentemente, condicionados por otros  factores derivados de:

a)      la oferta, como: los intereses del capital, la disponibilidad real de espacios para oficinas, la rentabilidad intrínseca a la localización, las estrategias de desarrollo inmobiliario tanto de los promotores como de los comercializadores, etc.

b)      Las intervenciones  públicas, iniciando por la propia planificación como reconductora de los intereses privados  hacia los públicos. O por las políticas de fiscalidad inmobiliaria, las estrategias fiscales o las subvenciones  de desarrollo regional, etc.

c)      las imperfecciones del mercado, como la asimetría informativa, la competencia imperfecta originada por los mono y oligopolios (recuérdese el uso y la explotación del suelo están,  por antonomasia, sujetos a monopolización), etc.

Por tanto la localización (fáctica) es la síntesis, en un momento y lugar determinado, del influjo simultáneo de los intereses de la demanda (comportamiento locativo), las condicionantes de la oferta, la intervención  pública y, naturalmente, las imperfecciones del mercado. Esferas, estas tres  últimas, en las que deliberadamente  esta investigación no ha profundizado[11].

El modelo teórico y  su verificación empírica.

A los solos efectos de testar la validez de nuestras hipótesis elementales,  se ha construido, a partir de ellas, un modelo de interacción espacial. Dicho modelo ha puesto a prueba las hipótesis a través de un experimento numérico, y consecutivamente, ha sido calibrado con información empírica.  

El planteamiento del modelo

Imaginemos una metrópoli lineal compuesta de n localizaciones contiguas entre sí. En nuestra ciudad no existen intervenciones públicas que dicten, desde la legislación urbanística o sectorial, el uso al que debe destinarse cada pieza del territorio. Por tanto la localización se destina, en cada momento,  al mejor y mayor uso posible sin ninguna clase de restricción artificiosa. Además, cada localización cuenta con los servicios urbanos necesarios para satisfacer las demandas de los localizadores, sin importar la cuantía que ello signifique. No existen limitaciones físicas.  Asimismo, el territorio sobre el que se asienta la urbe carece de irregularidades geográficas, a la vez que todas las localizaciones están intercomunicadas entre sí, con infraestructuras de la misma calidad y capacidad.  No existen diferencias en las externalidades intrínsecas a la urbanización y a la calidad ambiental.

Por otro lado, la oferta de mano de obra es rígida ante la variación de   la distancia (entre el lugar de residencia y el de trabajo), es decir, que cualquier localización, si ello así conviene a los localizadores, puede ser proveída de trabajadores a voluntad. En nuestra ciudad existen dos tipos de localizadores que son a la vez actividades  económicas: los oficinistas orientadores y los oficinistas ejecutores. Los primeros desarrollan  actividades direccionales o de orientación, que por su naturaleza tienen una  interacción presencial con otros localizadores relativamente intensa, en comparación a los oficinistas que ejecutan actividades preestablecidas (ejecutores), cuya intensidad de interacción presencial es sensiblemente inferior. Nuestros localizadores no tienen prejuicios de carácter sociológico, y en consecuencia obvian este factor en el  momento de tomar sus decisiones locativas.

Tanto los oficinistas orientadores como los ejecutores aprovechan otras economías de aglomeración, pero, a la vez, ambos grupos están sujetos a las deseconomías que se irradian desde el  seno de la aglomeración, siendo esta afección diferencial: los oficinistas ejecutores son más susceptibles a las deseconomías de aglomeración en comparación a los oficinistas orientadores.  En atención a todo lo anterior  nuestro modelo minimalista puede resumirse en un enunciado:

El atractivo de una localización depende de la densidad de oficinistas en todas y cada una de las localizaciones del sistema espacial; así cada localización ejerce una influencia en cierta forma positiva (a=atractiva), y otro tanto negativa (d=desactractiva). Por otra parte, dicha   influencia varía en función de la distancia que separa a dicha localización del resto[12].

Este  enunciado puede escribirse en términos matemáticos como sigue:

 

(1)

                              

Por congruencia con el símil gravitatorio de la física social, la fricción de la distancia tiene  un efecto potencial, de manera tal que, en nuestro modelo:

 

(2)

 

Siendo β un parámetro de ajuste, que mide el ímpetu con el que la distancia afecta al poder de atracción o desatracción entre las localizaciones. Asimismo, debido a la existencia de distintos tipos de localizadores la atracción que se ejerce  entre ellos es una función que depende de sus necesidades de interacción presencial, por tanto varía según cada par de localizadores. Si consideramos lo anterior y sustituimos (2) en (1), y definimos a y d,  obtenemos  la forma general de nuestro modelo:

 

(3)

Donde:

ATi        es el atractivo de cada una de las n localizaciones i

n          es el número de localizaciones en nuestra metrópoli

Ml        es el número de localizadores en cada localización l incluidos los localizadores que ya están en i

dil        es la distancia que separa a la  localización i del resto de localidades  l

β1        es el ímpetu con el que las economías de aglomeración decaen  conforme incrementa la distancia

β2        es lo mismo pero aplicable a las deseconomías de aglomeración

α          Es la necesidad específica de interacción presencial de cada tipo de localizador

γ    Es la susceptibilidad de cada tipo de localizador frente a las deseconomías de aglomeración.

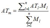
Es decir, que el número de localizadores emplazados en cada localización ejerce un influjo positivo y negativo, al mismo tiempo, sobre cada una de las localizaciones. Por tanto, en todo momento habrá localizaciones más atractivas que otras, y unas más atractivas que el atractivo medio y viceversa. Para calcular el atractivo medio del sistema  utilizamos la ecuación (4) siguiente:

 

(4)

 

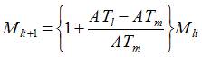
Donde ATm es el atractivo medio del sistema. Debido a que nuestra ciudad requiere tiempo para autoorganizarse espacialmente  es necesario considerar este vector:

Así las cosas,  con el paso del tiempo, las localizaciones más atractivas tienden a ganar localizadores, de manera directamente proporcional a la diferencia entre  su atractivo y el atractivo medio del sistema. En consecuencia, las localizaciones menos favorables pierden importancia de manera exactamente proporcional a  su nivel de desventaja relativa, quedando  conforme evoluciona la economía, progresiva y relativamente más rezagadas.

Este proceso  puede representarse así:

 

(5)

 

Donde: Mlt+1 es el número de localizadores en cada localización l en el momento t+1, que es el que sigue al momento t. De gran  importancia es el hecho que el atractivo de cada localización no es intrínseco a la localización en sí misma, ni tampoco es objetivo, puesto que siempre depende de la estructura espacial  de todo el sistema (densidad y localización del resto de individuos)  y de las características específicas de cada tipo de localizador, como por ejemplo: las necesidades de interacción presencial o la  susceptibilidad a las deseconomías  de aglomeración. Considerando esto y también la existencia de  dos tipos de oficinistas (orientadores y ejecutores), la ecuación (3) deriva  en:

 

(6)

 

(7)

 

En donde:

ATiO y ATiE Es el atractivo subjetivo de una localización i para los oficinistas orientadores (O) y ejecutores (E) respectivamente.
MlO y MlE Es el número de oficinistas orientadores y ejecutores  en cada emplazamiento l
MlT Es el número total de trabajadores en cada emplazamiento l
γO y γE Es la capacidad de los oficinistas orientadores y ejecutores para afrontar las deseconomías de la aglomeración. Cuanto  más grande sea este parámetro, menor será  la capacidad de nuestros localizadores y viceversa.
αOO, αEE, αEO Es la necesidad de interacción presencial entre todas las posibles combinaciones de tipos de oficinistas.

En virtud de la existencia de  (6) y (7), existen atractivos medios ATm distintos según analicemos las opciones de localización de los oficinistas orientadores y de los ejecutores, así como distintos son los procesos de relocalización para cada tipo de oficinista.  Por tanto, con el paso del tiempo, es de esperar que se generen no sólo usos del suelo distintos, sino y sobre todo, formas de utilización del territorio divergentes.

El experimento numérico.

Procede ahora ilustrar  las hipótesis  a través de un experimento numérico. En nuestra metrópoli experimental  el territorio está compuesto por  25 localizaciones alineadas una tras otra. Asimismo, el número de oficinistas orientadores es, a efectos de facilitar la comprensión de los resultados, el mismo que el número de oficinistas ejecutores.  En un principio, y a diferencia de lo que ocurre en la realidad, los localizadores están completamente dispersos en el territorio.

En el primer estadio posible, los parámetros γ y α afectan de igual manera a los dos tipos de oficinistas (orientadores y ejecutores), a la vez que el ímpetu con el que decrece el influjo de la aglomeración (β1) es igual al de la desaglomeración (β2). Bajo estas asunciones de partida, nuestra ciudad adopta, con el paso del tiempo,  la estructura espacial paradigmática de las grandes metrópolis industriales, es decir,  una aglomeración central, explicada por el dominio de las fuerzas de aglomeración sobre las de desaglomeración α=2 > γ=1. No obstante esto, no existen patrones de utilización del suelo distinguibles, por cuanto las necesidades de interacción presencial de los diferentes tipos de oficinistas han sido establecidas apriorísticamente  iguales, como se observa en el modelo 1 (figura 2), en el cual están representadas 3 dimensiones, a saber: el espacio, la densidad de utilización del territorio y el tiempo. Este modelo, y los sucesivos están construidos con las fórmulas (4) a (7).

 

Figura 2. Modelo 1 con predominio de las fuerzas centrípetas y sin distinción de usos del suelo.

 

De esta manera, las economías de aglomeración dominantes, de momento, generan con el paso del tiempo,  un gradiente de intensidad de utilización del territorio como se detalla en la figura 3.

 

Figura 3. Proceso de intensificación del uso del territorio.

 

Cuando en nuestro sistema metropolitano las fuerzas de aglomeración α=1 son iguales a las fuerzas de desaglomeración γ=1, no se produce ninguna estructura espacial, como se observa en el modelo 2 (figura 4). No existe, por tanto, ningún micromotivo individual  que genere ningún macrocomportamiento espacial generalizado. No existen fuerzas capaces de provocar un proceso de autoorganización espacial de la economía.

 

Figura 4. Modelo 2 con igualdad de fuerzas de aglomeración y desaglomeración.

 

El modelo 3 de la figura 5 se asemeja más a la realidad. En éste, las necesidades de interacción presencial  son diferentes para cada tipo de localizador. Existe una mayor necesidad de interacción entre los oficinistas que toman las decisiones más importantes (orientadores), en comparación con las necesidades de los oficinistas que ejecutan las tareas preestablecidas (ejecutores)  αOO=6 > αEO=3,  y sobre todo αOO=6 > αEE=2. En consecuencia, conforme madura el sistema urbano, emergen patrones de localización diferentes para cada tipo de actividad. Las actividades que requieren mayor interacción son las que se aglomeran más y más rápidamente. Asimismo, estas actividades cualificadas  se posicionan estratégicamente   dentro del sistema metropolitano, en el punto con una accesibilidad intrínseca superior: el centro. Por su parte, las actividades de ejecución, dada su menor necesidad de interacción presencial, tienden a localizarse en la periferia de la aglomeración.

 

Figura 5. Modelo 3 con necesidades diferenciales de interacción y comportamientos locativos diferenciales.

 

Por tanto, en todo momento, el centro metropolitano, al tener más localizadores orientativos que no ejecutivos, está especializado en las actividades más cualificadas. La Figura  6 es una radiografía de la evolución temporal  de la especialización del territorio, considerando los resultados del  modelo 3. En dicha gráfica se han trazado  los coeficientes de localización.[13]

 

Figura 6. Evolución  de la especialización territorial   en actividades de oficina orientativas y ejecutivas.

 

Si el coeficiente de una  localización es 1, significa que dicho emplazamiento no está especializado, si es mayor a uno lo está, y si es menor a 1 está infra-especializado. Como se observa en dicha ilustración, con el paso del tiempo (1t,2t,3t, etc.), el centro tiende, al principio a  acelerar de una manera importante su especialización en actividades de oficina orientativas, para después ralentizar la velocidad de este proceso.  Mientras tanto, la  periferia, gradual y progresivamente, se especializa en actividades preestablecidas con bajas tasas de interacción presencial.

La irrupción de las telecomunicaciones en el sistema metropolitano

Obsérvese en el modelo 4  (figura 7) lo que  sucede cuando las nuevas tecnologías de la  telecomunicación irrumpen dentro del funcionamiento de nuestro sistema metropolitano. En dicho modelo los oficinistas ejecutores tienen una necesidad menor de interacción con los orientadores y con otros ejecutores, debido a que parte de los contactos presenciales han sido sustituidos por el teléfono, e-mail, Internet, etc. Es decir, que si en el modelo 3  αEO=3 y αEE=2, en el modelo 4, αEO=1 y αEE=1,05  . Según se observa en la citada figura 7, el patrón general es el mismo que el del modelo 3, es decir el centro está dominado por los oficinistas orientadores y la periferia por los oficinistas ejecutores, sólo que estos últimos están mucho menos aglomerados. Por tanto, la telecomunicación al debilitar los lazos de interacción presencial de ciertas actividades, provoca su menor aglomeración física.

 

Figura 7. Modelo 4 en el cual parte de los contactos cara a cara  orientativo-ejecutivos han sido sustituidos por contactos telemáticos.

 

La figura 8  muestra el cambio en la especialización territorial provocado por la irrupción de las telecomunicaciones, en el momento t6 de la historia de nuestra ciudad experimental. Claramente se observa, que debido a que  las actividades ejecutivas están  menos centralizadas, existe un mayor dominio central de las actividades orientadoras, y en consecuencia un aumento de la especialización del territorio central,  en este último tipo de actividades. Este aumento de especialización central está compensado por un aumento en la especialización de la periferia, como localizadora de las actividades ejecutoras que teleconmutan con el centro. Por tanto la telecomunicación no ha hecho otra cosa sino reforzar la potencia del centro en tanto concentrador de las actividades más cualificadas.

 

Figura 8. Comparación en la especialización territorial antes (modelo 3) y después (modelo 4) de la irrupción de las telecomunicaciones.

 

Hasta aquí los resultados del modelo son congruentes con la lógica de nuestra primera hipótesis - las actividades de oficina tenderán a localizarse cerca unas de otras de manera directamente proporcional a la intensidad de interacción presencial que las relaciona-; falta ahora acreditar, bajo este mismo análisis,  la validez de la segunda hipótesis: e inversamente proporcional a su incapacidad para afrontar las deseconomías que tal aglomeración les ocasiona.

En el modelo 5 (figura 9), y en sus variantes, las actividades de oficina ejecutoras tienen una mayor incapacidad para afrontar las deseconomías de aglomeración con respecto a las actividades de oficina orientadoras. Siendo γO= 1 en todo momento, y de izquierda a derecha y de arriba a abajo γE= 1; γE= 1,045; γE= 1,048; γE= 1,049; γE= 1,05; y  γE= 1,055.  Bajo esta asunción, la ciudad no sólo experimenta una menor aglomeración de las actividades ejecutoras, sino y sobre todo, una franca descentralización. Cuanto mayor es la incapacidad de afrontar la congestión de las actividades que menos beneficios extraen de la aglomeración, mayor es su grado de descentralización.

Llama poderosamente la atención que, al final del proceso,  emergen dos subcentros satélites al centro principal, los cuales  están especializados en oficinas ejecutoras. Esto se debe a la  especificación  de los parámetros αEO=1,05 y αEE=1,1, es decir, que las necesidades de interacción presencial entre los ejecutores-orientadores son menores que las de los ejecutores-ejecutores: ello propicia que estos últimos tiendan a aglomerarse. El hecho de que la aglomeración de los ejecutores sea periférica se debe, a que el centro está acaparado por todos  los oficinistas orientadores, cuya presencia ejerce una fuerza de repulsión para con los ejecutores mayor que la atracción que pueden irradiarles. Por tanto, la aglomeración de  los oficinistas con menos necesidades de interacción, es vigorosamente eyectada a la periferia metropolitana.

 

Figura 9. Modelo 5 de incapacidad progresiva de los oficinistas ejecutores para afrontar las deseconomías de aglomeración.

 

Hasta aquí la simulación  numérica de las dos hipótesis medulares de la teoría.  La luz arrojada por los resultados anteriores sugiere que las actividades de oficina efectivamente se localizan en función de la intensidad de la interacción presencial que las relaciona. Cuanto mayor sea ésta, mayor será la intensidad de la aglomeración, siendo la telecomunicación un elemento disuasivo de la aglomeración. Asimismo, las actividades con una mayor incapacidad para afrontar las deseconomías de aglomeración, son más susceptibles de ser expulsadas de la aglomeración central. Por tanto,  en nuestro modelo, la autoorganización espacial de la economía depende del influjo subjetivo, que cada tipo de localizador recibe de las fuerzas de aglomeración y desaglomeración. La variación de estos parámetros produce, con el paso del tiempo, una metrópolis no solamente con intensidades de utilización del territorio profundamente diferenciadas, sino y sobre todo, con patrones de localización distintos, en los cuales las oficinas con tareas más cualificadas se posicionan más centralmente y de una manera más compacta, mientras que las oficinas con tareas más preestablecidas se localizan de una manera más periférica y dispersa.  La consecuencia ulterior de este proceso espacial  es la gran diferencia en la especialización del territorio, caracterizada por un centro altamente especializado en tareas cualificadas, y una periferia especializada en tareas rutinarias. ¿No es eso lo que ocurre con el distrito de negocios central?, ¿y mucho más recientemente con las edge cities?

 La comprobación empírica.

Para corroborar la validez de las hipótesis, en el terreno empírico,  se ha elegido a la Región Metropolitana de Barcelona (RMB). Esta metrópoli de 3.236 km2 está compuesta por 7 comarcas[14], y por 164 entidades municipales. En realidad este territorio, que por su movilidad denota rasgos de policentrismo,  queda inscrito dentro del Área Metropolitana Estadística Consolidada de Barcelona (AMECB), delimitada según los criterios de la oficina del censo de los EEUU.[15] Esta área funcional en el 2001 tenía 227 municipios y una población de 4,539 millones de habitantes. En términos de peso demográfico la RMB  (figura 10) representa el 97 por ciento de la población del AMECB. Por lo que respecta a la actividad económica localizada, según el Censo del 2001, la RMB contaba con  1.951.396   lugares de trabajo localizados (LTL). Así, el territorio metropolitano denota un centro (supramunicipal)[16] liderado por el municipio de Barcelona, y un sistema de polaridades consolidadas que conforman un Arco Metropolitano, y ejercen un contrapeso a Barcelona y su continuo urbanizado. En dichas polaridades resaltan municipios como Sabadell, Terrassa, Granollers, Mataró y Vilanova.

En este trabajo los oficinistas han sido asimilados a los LTL de la matriz de movilidad del Censo de 1991 y 2001, así como del Padrón de 1996, clasificados de acuerdo con la Clasificación Nacional de la Ocupación (CNO) de 1993. Así, los dos grandes grupos de oficinistas del modelo están representados de la siguiente manera:

  1. Oficinistas orientadores (oficinistas ++): asimilado al grupo de LTL relacionado con los profesionales, científicos e intelectuales.
  2. Oficinistas ejecutores  (resto de oficinistas)  está compuesto por el resto de ocupaciones oficinescas, a saber: técnicos y profesionales de soporte así como los administrativos.

 

Figura 10. Región Metropolitana de Barcelona.

 

Por otra parte, el resto de actividades económicas han sido aglomeradas en un tercer paquete de localizadores que sumados a los oficinistas constituyen el total de los localizadores; recuérdese que  en el modelo general el conjunto de localizadores, con independencia de las relaciones funcionales que guarda con las oficinas, ejerce  deseconomías de aglomeración. A partir de la localización de los oficinistas ++, la localización de los ejecutores (resto de oficinistas) y la del resto de actividades económicas  en el momento inicial t (1991), el modelo -de las ecuaciones (6) y (7) -  tratará de ajustar sus parámetros de calibración, para emular la localización de los oficinistas ++ y de los oficinistas ejecutores en el momento final t+10 (2001).  Por su parte, la distancia que separa a los municipios se refiere a la distancia por carretera calculada a través de un sistema de información geográfica que busca la ruta óptima ante una situación de carga normal del sistema viario.

En este sentido, los parámetros a estimar, son:

γO y γE Es la capacidad de los oficinistas orientativos y ejecutores para afrontar las deseconomías de aglomeración. Cuanto más grande sea este parámetro, menor será la capacidad de nuestros localizadores y viceversa.
αOO, αEE, αEO Es la necesidad de interacción presencial entre todas las posibles combinaciones de tipos de oficinistas.
β1 Es el ímpetu con el que las economías de aglomeración decaen  conforme incrementa la distancia.
β2 Es lo mismo pero aplicable a las deseconomías de aglomeración.

 Siendo, asimismo:

MlO y MlE El número de oficinistas orientadores  (of ++)  y ejecutores (resto de oficinistas) en cada emplazamiento l.
MlT El número total de todo tipo de localizadores en cada emplazamiento l.

                  

Se han distinguido tres pasos de calibración[17] temporal en el primero t=1991 y t+5=1996, en el segundo t=1996 y t+5=2001, el tercero es en realidad la agregación de los dos anteriores, y por tanto, t=1991 y t+10=2001. El procedimiento de calibración ha sido como sigue: primero se ha ajustado el modelo según los datos de 1991-2001, y luego los periodos intersticiales, ajustando sólo los parámetros que controlan el ímpetu espacial con el que caen las economías de aglomeración/desaglomeración, con el objeto de obtener resultados inteligibles.

Tabla 1
Calibración del modelo según datos de localización del empleo 1991, 1996 y 2001
 

 

El producto de la calibración  está  contenido  en la tabla 1, la cual detalla que:

1. Las actividades de oficina más cualificadas (orientadores u oficinistas ++) son las que tienen las mayores necesidades de interacción presencial, debido a  que α OO adopta el valor más grande y equivalente a 2,00015.

2. La necesidad de interacción presencial entre los orientadores-ejecutores es menor que la de los orientadores-orientadores, pero mayor que la de los ejecutores-ejecutores, es decir que αOO, > αOE, > αEE.

3. La capacidad de asimilar las deseconomías originadas en el seno de la aglomeración es mayor en los oficinistas orientadores u oficinistas ++, en comparación con  la capacidad del resto de oficinistas porque γO < γE.

4. El poder de atracción de las economías de aglomeración (necesidades de interacción presencial) cae más rápidamente al aumentar la distancia, que el poder de repulsión de las deseconomías de aglomeración, porque en todo momento, β1 > β2.

5. Conforme pasa el tiempo, tanto β1 como  β2. decrecen, es decir que de manera progresiva se reduce la fricción del espacio.

Estos resultados apoyan empíricamente  las dos hipótesis principales de nuestra tesis principal, pero además explican el trasfondo del proceso de descentralización diferencial que las actividades de oficina han experimentado en la última década.

 

Figura 11. Descentralización diferencial por tipos de actividades de oficina 1991-2001 (cambio en GINI).

 

La figura 11 resume dicho proceso a través de la ayuda del coeficiente de GINI[18]; en dicha gráfica el “resto de oficinistas” de la calibración anterior, ha sido desdoblado en oficinas + (técnicos de soporte de la CNO) y administrativos. Con meridiana claridad se observa lo explicado por el modelo: el nivel de descentralización depende de la cualificación de las actividades (indicador de sus necesidades de interacción y capacidad de asimilación de spill overs de conocimiento). Así, las oficinas más cualificadas no sólo se han descentralizado menos que el resto de oficinas, sino y sobre todo, menos que el conjunto de la economía metropolitana. Puede decirse, por tanto, que en términos relativos en el 2001, dichas actividades direccionales, estaban más concentradas que 10 años atrás, a pesar y debido a la descentralización diferencial de la economía.

Tanto la evolución observada 1991-2001, como los resultados de la calibración agrupados por coronas metropolitanas están contenidos en la figura 12. En el gráfico de la izquierda está la distribución espacial de los oficinistas ++ u orientadores, y en el gráfico de la derecha el resto de oficinistas. La línea azul discontinua es la distribución observada  en el momento t, en este caso t=1991, y la línea azul continua es la distribución en el momento t+10=2001. Por su parte, la línea continua roja es la simulación  del modelo.

 

Figura 12. Resultados del modelo calibrado 1991-2001 (t a t+1), agrupados por coronas metropolitanas, oficinistas orientadores (++)  izquierda, resto de oficinistas derecha.

 

Por lo que respecta a la bondad de ajuste del modelo, el coeficiente de determinación entre la distribución en  t+1  simulada y la t+1 observada es, aparentemente, alto y siempre superior a r2= 0,999. Sin embargo, los resultados de este modelo, minimalísticamente simple,  tienen un error[19] en la localización de  18.249 LTL  de oficinistas cualificados (t=1991 y t+10=2001), equivalente al 7 por ciento  del total, y en el caso del resto de oficinistas el error es aún más grande y equivale al 10 por ciento  de los LTL  totales (52.255 empleados).

La figura 13 permite apreciar, de manera sintética y unidimensional, la deficiencia en la calibración del modelo. La línea color azul representa el cambio en puntos porcentuales de la concentración de oficinistas en el periodo 1991-2001 en cada corona metropolitana, la línea magenta es el ajuste del modelo. Claramente se observa una infravaloración de la corona situada entre los 10 y 20 km., y una sobrevaloración del territorio situado entre los 20 y 30 km., es decir el territorio de las grandes capitales del Arco Metropolitano.

 

Figura 13. Análisis espacial del error del modelo 1991-2001, oficinistas orientadores (++)  izquierda, resto de oficinistas derecha.

 

La figura 14 detalla, en su parte inferior,  el error por municipios: en color verde están las municipalidades en las cuales el error se minimiza, en rojo aparecen  los municipios sobrestimados y en azul los subestimados. Se aprecia la sobrevaloración de Sabadell, Cerdanyola, Mataró y Vilanova, y por el contrario la subestimación de Sant Cugat del Vallès.

 

Figura 14. Error de ajuste del modelo por municipios y para oficinistas ++ 2001-2011.

 

Por lo que respecta a la distribución municipal del error en el caso del resto de oficinistas (Figura 15), el modelo sobrestima a Sabadell y Terrassa, y subestima a Sant Cugat, al Prat de Llobregat y a Cornellà de Llobregat. Estas deficiencias tienen dos lecturas complementarias. Por un lado, la detección de posibles emplazamientos estratégicos  cuyo potencial de localización aún no está agotado, y  sobre todo, la simplificación de la realidad.

El modelo es incapaz de detectar las variaciones en los niveles de accesibilidad, dado a que dicho parámetro se ha mantenido constante, como la apertura de los Túneles de Vallvidriera, la construcción de las circunvalaciones, la puesta en el mercado de grandes superficies de suelo terciario como en el caso de Sant Cugat (donde precisamente ha habido una incidencia importantísima por parte de la oferta con la construcción de 3 parques empresariales: Can Sant Joan, Sant Mamet y Can Magi) y El Prat de Llobregat (con los parques empresariales de Mas Blau I y II), y todo el resto de factores que condicionan la localización fáctica  de las actividades de oficina.

 

Figura 15. Error de ajuste del modelo por municipios para el resto de oficinistas 1991-2001.

 

Parece ser, por tanto, que efectivamente la conjunción de la necesidad de interacción presencial, a través de la cual se transmite la información más cualificada y el conocimiento más sutil, con la capacidad de extraer beneficios de dichos spill over de conocimiento, y por tanto, la capacidad de afrontar satisfactoriamente las deseconomias de aglomeración, tienen un papel importante  no sólo en el comportamiento locativo de las oficinas, sino también, en su localización fáctica.

La realidad también ha demostrado que, con el paso del tiempo, las actividades de oficina con menos necesidad de interacción espacial se descentralizan más que aquéllas con fuertes vínculos de interacción. Por tanto, conforme evoluciona temporalmente la economía, los patrones locativos tienden a divergir, ratificando, de esta manera, la médula de nuestra teoría de la localización de las actividades de la información.

Conclusiones

Nuestra aproximación reduccionista ha enfocado su esfuerzo en detectar, desde la perspectiva de la demanda,  el factor esencial  que determina el comportamiento locativo de las actividades de oficina, y que es, a la vez, intrínsecamente consustancial a ellas. Deliberadamente, hemos dejado de lado los otros factores, ya explicados por la Teoría General de la Localización, que inciden en el comportamiento locativo: accesibilidad general, comportamiento sociológico de los localizadores,  y resto de externalidades tanto económicas como ambientales. También, nos hemos abstraído de otros factores, que no forman parte del comportamiento locativo (demanda) pero que condicionan la localización fáctica: oferta, ciclos del capital, intervenciones exógenas, e imperfecciones del mercado.

Así, al inquirir en la naturaleza abstracta de dichas actividades, hemos encontrado que el comportamiento locativo  subyace en ella misma. Su naturaleza inmaterial, y más concretamente su gran dependencia  de intercambio de información, principal insumo y productode su proceso económico, y sobre todo, de  conocimiento, su principal instrumento de transformación de la información, condiciona ulteriormente la localización. Por tanto, es la interacción presencial, por la cual se transmite la información más cualificada y el conocimiento tácito, la esencia funcional que está detrás del comportamiento locativo de las actividades de la información.

Así las cosas, la aglomeración, es decir la reducción del espacio entre los localizadores es, con independencia de las economías de escala y otras externalidades territoriales, una estrategia para ahorrar energía, y por encima de todo,  tiempo. En este sentido, aquellas actividades de oficina con grandes necesidades de interacción presencial tenderán a estar más aglomeradas, mientras que aquellas otras que verifican su intercambio informativo a través de otros medios, como la telecomunicación, estarán más dispersas.

Por otra parte, sobre la base de las teorías aglomerativas más recientes, hemos sugerido que el  intercambio informativo  y cognitivo cara a cara aporta beneficios afiliados a los knowledge spill overs, y a la   eficiencia de la comunicación oral y presencial. Por tanto, aquellas actividades de oficina con altas necesidades de interacción presencial tenderán a extraer más beneficios de la aglomeración, y en consecuencia serán menos susceptibles a los sobrecostes originados por la congestión y el acceso simultaneo a recursos limitados (deseconomías). Muy por el contrario, las actividades de oficina con necesidades de intercomunicación presencial exiguas (o que hayan sustituido sus interacciones presenciales por otras telemáticas), no sólo no se aglomerarán con la misma intensidad, sino y sobre todo, tenderán a ser expulsadas centrífugamente por su menor capacidad para afrontar la congestión.  Los razonamientos anteriores constituyen el pilar fundacional de nuestra teoría que se resumen en el siguiente enunciado:

las actividades de oficina tienden a localizarse cerca unas de otras de manera directamente proporcional a la intensidad de interacción presencial que las relaciona  e inversamente proporcional a su incapacidad para afrontar las deseconomías que tal aglomeración les ocasiona.

Como ya se ha dicho,  en torno al factor esencial locativo existen otros condicionantes, que inciden significativamente en la localización tales como: la accesibilidad general,  otras economías de aglomeración, el prestigio social (que tiene  un efecto especial sobre las actividades directivas)  o  las externalidades ambientales, y que se entretejen para erigir el sustento teórico de la localización de las oficinas. Sin dejar a un lado el impacto que sobre la localización fáctica (que no comportamiento locativo) tienen los factores derivados de la oferta (como los intereses del capital), los intervencionismos públicos (como la planificación urbana)  y las imperfecciones del mercado (como la monopolización a la que es sujeta cada localización o la enorme inelasticidad de la oferta).

La evidencia empírica soporta la existencia de una concomitancia coherente entre el grado de cualificación de las actividades de oficina (indicador de sus necesidades de intercomunicación cualificada y capacidad de extraer beneficios de los spill overs de conocimiento) y sus patrones locativos. De esta manera, los oficinistas más cualificados (científicos, profesionales e intelectuales), están más centralizados, más concentrados y menos dispersos en el territorio de la Región Metropolitana de Barcelona. En la situación diametral contraria están  los oficinistas administrativos. Así las cosas, el centro metropolitano (supramunicipal) emerge como un territorio especializado en las actividades más cualificadas. 

Por otra parte, desde la perspectiva diacrónica, se ha demostrado que conforme madura el sistema urbano existe una divergencia real entre los patrones locativos de las distintas actividades de oficina. Las actividades de oficina más cualificadas se descentralizan y dispersan menos que las más rutinarias, las cuales son expulsadas de la aglomeración central de una manera importante. Por esta razón, los profesionales, científicos e intelectuales  están hoy (Censo del 2001)  más centralizados, con respecto a la posición del conjunto de la actividad económica, de lo que estaban una década atrás (Censo de 1991), y en consecuencia el centro metropolitano  continua ganando especialización en estas actividades cimentadas  en el conocimiento.

Hace falta, desde la perspectiva teórica, avanzar en la línea de un modelo estrictamente económico, complementario al de interacción espacial utilizado en este artículo. El objetivo del mismo debería ser el de  ayudar a esclarecer el trasfondo ulterior de los micromotivos locativos de las actividades de oficina. Desde la perspectiva empírica, queda pendiente complementar nuestra aproximación cuantitativa con un  análisis cualitativo, sin el cual, nada puede afirmarse categóricamente. 

 

Notas

[1] Este artículo se desprende parcialmente de la Tesis Doctoral realizada por el primer autor y dirigida por el segundo “Hacia una interpretación de la Teoría de la Localización de las Actividades de Oficina en el Territorio  Postindustrial: el Caso de Barcelona”. Ambos autores están en el Centro de Política de Suelo y Valoraciones de la Universidad Politécnica de Cataluña, sita en Gran Capitán 2-4, edificio “Nexus I”, oficina 303, 08034 Barcelona, España. Tel. +(34) 93 401 1977, correo: marmolejo.carlos@gmail.com

[2] Fue en 1985 cuando el trabajo de Blaug desveló que en 1885, un ingeniero-economista germano Wilhem Laundhardt había creado un modelo equiparable al de Alonso, el cual no fue conocido por este último, ni por otros teóricos de la localización como  Lösch (Y. Shieh, 2003).

[3] En este sentido, tres son las principales  aproximaciones a la clasificación del sector terciario:

1. Sectorial (siguiendo la clasificación armonizada de las actividades económicas, p.e. la CNAE)
2. Según el tipo de prestación del servicio (públicos, privados, y mixtos)
3. Según el tipo de consumidor del servicio (personas o instituciones públicas o privadas)

[4] La Communauté d’Etudes pour l’Aménagement du Territoire un equipo compuesto por geógrafos y economistas regionales ha propuesto una clasificación de la actividad económica basada en las relaciones funcionales de las empresas. Así, se distinguen cuatro grandes clases de actividad económica: fabricación, circulación, distribución y regulación; y siete funciones: 1) I+D, 2) aprovisionamiento y almacenamiento, 3) organización, 4) ejecución y explotación, 5) gestión y control, 6) mantenimiento  y 7) comercialización y venta.  En este sentido la actividad 3 sería la equivalente a nuestras actividades de orientación, las funciones 1 serían las actividades de planificación y las funciones 4, 5 y 7 serían las actividades de ejecución. (Véase Moreno y Escolano, 1992)

[5] En el estudio de las funciones han existido otras clasificaciones: como la que divide  el proceso de toma de decisiones en tres etapas: inteligencia, diseño y elección, las dos primeras coinciden con la clasificación de Thorngren. I. Ansoff (1965) identifica tres tipos de funciones; las de decisión operativa (presupuestos, control de producción, contabilidad), marketing e investigación + desarrollo.

[6] A diferencia del análisis factorial, la técnica del análisis de perfil latente no reduce la información a un número limitado de factores independientes, busca identificar dentro de una dispersión de observaciones (puntos en un gráfico) que forman un círculo perfecto, en las cuales las características están localmente no-correlacionadas.

[7] No se considera teletrabajo a las horas extra trabajadas en casa o el trabajo de los autónomos. Debemos aclarar que el teletrabajo también es una forma de organización empresarial circunstancial y no estratégica. Esto ocurre cuando por motivos de incapacidad, lactancia, u otras razones personales el trabajador no puede ir al centro habitual de trabajo.

[8] Y otras, como por ejemplo el hecho de conservar la imagen de la firma en los sitios con mayor reputación en términos de localización empresarial.

[9] Como los de  R. Haig (1926); D. Foley (1954); Cowan (1969); B. Thorngren (1979); R. Armstrong (1972, 1979); R. Murphy (1972); Goddard  (Op. cit); Goddard y Morris (1975); P. Daniels (1975, 1979, 1982, 1985, 1991, 1993); Olander  (1979.) y Gad  (1979); Pred  y Törnqvist (Op. cit.); Mayeré y Vinut (1993), L. Jenkens (1992);  Schiller (2001); entre otros. 

[10] Ciertamente, algunos tipos de oficina de algunos sectores económicos, como la banca, aún y cuando ejecutan actividades rutinarias, necesitan estar físicamente cerca de los clientes. Estas actividades rigen su comportamiento locativo por los principios que siguen las actividades comerciales.

[11] Para una revisión crítica sobre los factores que influencian la localización fáctica de las actividades de oficina véase a H. Capel (2005)

[12] El modelo aquí propuesto está directamente emparentado con la línea de pensamiento de las Edge Cities de Krugman (1996), cuya aportación significativa en los modelos de interacción espacial, ha sido la de incluir, de manera expresa, el influjo negativo originado por las deseconomías de aglomeración.

[13] El coeficiente de localización específica se ha calculado como sigue:

 

Donde Clij es el coeficiente de localización de los oficinistas i en el emplazamiento j. Mientras que Ofij es el número de oficinistas tipo i en la localización j.

[14] (Barcelonés, Maresme, Vallès Oriental, Vallès Occidental, Alt Penedès, Garraf y Baix Llobregat

[15] Véase Roca et al. (2004) La delimitación de las áreas metropolitanas españolas en www.upc.es/cpsv consultado el 08 de nov de 2004

[16] En una versión más extendida de este trabajo, hemos realizado una delimitación del centro direccional metropolitano considerando tres variables: densidad de la actividad económica, especialización en actividades de oficina, estructura económica. El análisis basado en técnicas multivariantes ha sugerido  la unión a Barcelona de Esplugues, Sant Just Desvern, Sant Cugat y Cerdanyola del Vallès; dichos municipios vendrían  a representar el núcleo especializado en oficinas  del centro direccional metropolitano.

[17] Los parámetros han sido calibrados a través de Solver, acoplado al programa Microsoft Excel 2002, el procedimiento ha consistido en minimizar la suma de errores absolutos.

[18] El coeficiente de GINI asociado a la Curva de Lorenz permite conocer el grado de inequidad en la distribución espacial de la actividad económica en los distintos municipios del área metropolitana, cuanto más cercano a 100 es dicho coeficiente más concentrada está la actividad en pocos municipios, mientras que ocurre lo contrario cuando menor es el valor que adopta.

[19] Dicho error es la suma de las diferencias absolutas por municipio entre el valor observado y el pronosticado por el modelo.

 

Bibliografía

Alonso, William. Location and land Use: toward a general theory of land rent. Cambridge : Harvard University Press, 1965. 204 p.

Ansoff, H. Igor. Corporate strategy; an analytic approach to business policy for growth and expansion. Nueva York: McGraw-Hill, 1965. 241 p.

Armstrong, Regina Belz. The office industry: patterns of growth and location, Edited by Boris Pushkarev. Cambridge, MIT Press, 1972, 179 p.

Armstrong, Regina Belz. National Trends in Office Construction, Employment and Headquarter Location in US Metropolitan Areas en Spatial Patterns of Office Growth. Daniels P. (edit). Nueva York: John Wiley & Sons, 1979.                                  

Becattini, Giacomo. Mercato e forze locali : il distretto industriale: Bologna: Il Mulino, 1987. 193 p.

Becker, Gary Stanley. Human capital; a theoretical and empirical analysis, with special reference to education. Nueva York: National Bureau of Economic Research; distributed by Columbia University Press, 1964. 187 p.

Capel, Horacio. Hacia una interpretación de la teoría de localización de oficina en el territorio post industrial: el caso de Barcelona. Biblio 3w Revista Bibliográfica de Geografía y Ciencias Sociales. Vol. X, nº 593, 2005.

Daniels, P. W. Office location: an urban and regional study. London: G. Bell, 1975. 240 p.

Daniels,  P. W. (ed) Spatial patterns of office growth and location. Chichester [Ing.]; Nueva  York: Wiley, 1979. 414 p.

Daniels, P. W. Service industries: growth and location. Cambridge [Cambridgeshire]; Nueva York: Cambridge University Press, 1982. 100 p.

Daniels, P. W. Service industries: a geographical appraisal. Londres; Nueva York: Methuen, 1985. 322 p.

Daniels, P. W. Services and metropolitan development: international perspectives. Londres ; Nueva York : Routledge, 1991. 331 p.

Daniels, P. W (ed). The Geography of services. Londres; Portland, Or.: Frank Cass, 1993. 155 p.

Foley, Donald. Suburbanization of Administrative Offices in the San Francisco Area. Berkeley, USA: University of California at Bkl Research Report,       1957.                         

Gad, Gunter. Face to Face Linkages and Office decentralization potentials: A study of Toronto en Spatial patterns of office growth and location in P W Daniels (ed). Chichester (Inglaterra) y Nueva  York: Wiley, 1979. 414 p.

Goddard, J. B. Office linkages and location; a study of communications and spatial patterns in central London. Oxford y Nueva York: Pergamon Press, 1973. 232 p.

Goddard, J. B.  Office location in urban and regional development. Londres & Nueva York: Oxford University Press, 1975. 60 p.

Haig, Robert Murray.   Hacia la Comprensión de la Metropoli, en Secchi, B. (Ed)  Análisis de las Estructuras Territoriales, Barcelona: Gustavo Gili, 1968.             

Henderson, J. Vernon. Urban Growth. WP National Bureau of Economic Research. Núm. 6008, 1997.

Henderson, J. Vernon. Marshall's scale economies. WP National Bureau of Economic Research. Núm. 7358, 1999.

Henderson, J. Vernon. Optimum City Size: The External Diseconomy Question. Journal of Political Economy. Vol.  82  Núm. 2. 1974.

Henderson, J. Vernon. Effects of Urban Concentration on Economic Growth. WP National Bureau of Economic Research. Núm. 7503, 2000.

Hirschman, Albert O. The strategy of economic development. New Haven: Yale University Press, 1958. 217 p.

Hoover, Edgar Malone. The location of economic activity. Nueva York: McGraw-Hill, 1948. 310 p.

Jacobs, Jane. The death and life of great American cities. Harmondsworth: Penguin, 1972. 474 p.

Jenkens, Lyssa. Office location in a post-industrial urban environment. Aldershot, Hants, England ; Brookfield, USA: Avebury,  1996.  93 p.

Krugman, Paul. The self-organizing economy. Cambridge, Mass., USA : Blackwell Publishers, 1996. 122 p.

Malecki, Edward. Hard and Softnetworks for Urban Competitiveness. Urban Studies. Vol. 39, Núm. 5-6, 2002. p. 229-246      .                      

Mayère, A.; Vinot,F.   Firms Structures and Production Networks in Intellectual Services en The Geography of Services (Daniels, P. Ed.). Londres; Portland, Or.: Frank Cass, 1993. 155 p.

Mercier, Delphine. Las transiciones de los tejidos productivos hacia una reterritorialización de las zonas industriales urbanas. Comunicación al 1er congreso internacional sobre La Ciudad y el Conocimiento. Monterrey, México: Universidad Autónoma de Monterrey, 2005.                                 

Moreno, Antonio; y Escolano, Severino. Los Servicios y el Territorio. Madrid: Editorial Síntesis, 1992. 189 p.

Murphy, Raymond E.  The Central Business District. Chicago: Aldine-Atherton, 1972. 193 p.

Olander, Lars-Olof. Office Activities as Activity Systems en Spatial patterns of office growth and location by P W Daniels (ed). Chichester (Inglaterra) y Nueva  York: Wiley, 1979. 414 p.

Porter, Michael E., 1947. Competitive strategy : techniques for analyzing industries and competitors. Nueva York: Free Press, 1980. 396 p.  

Pred, Allan Richard. Urban growth and the circulation of information: the United States system of cities, 1790-1840. Cambridge: Harvard University Press, 1973.

Pred, Allan Richard;  Gunnar, E. Törnqvist. Systems of cities and information flows.

 Lund: Gleerup, 1973. 121 p. 3.

Rosemberg, Duska. Complex Information Environments, Merali, Y y  Snowden, D (eds.) Journal in Complexity Management, 2001.

Shieh, Yeung-Nan. An early use of Gid Rent Functions. Urban Studies, 2003, vol.40, núm. 4, p.791-796.

Shin, Bongsik; Liu, Olivia R.; Higa, Kunihiko. Telework: Existing Research and Future Directions. Journal of Organizational Computing and Electronic Commerce. Vol. 10,  No. 2, 2000.

Schiller, Russell. Dynamics of property location. Nueva York: Taylor & Francis, 2001.

Thünen, von J. H. Der Isolirte Staat. An English Edition translated by Carla M. Wartenberg. Oxford y Nueva York : Pergamon Press, 1966. 303 p.

Thorngren, Bertil. Studier i lokalisering. Regional strukturanalys. Regional and external economics. Regional informationsöverföring. Informationsöverföring mellan organisationer.  Stockholm, Beckman; [Solna, Seelig], 1972.  223 p.

Wood, Peter. Knowledge-intensive Services and Urban Innovativeness. Urban Studies. Vol. 39, Núm. 5-6, 2002, p. 993-1002.  

Melvin M. Webber, et al.  Explorations into urban structure. Philadelphia, University of Pennsylvania Press. 1964, 246 p.

 

© Copyright Carlos Marmolejo Duarte y Josep Roca Cladera, 2006
© Copyright Scripta Nova, 2006

Ficha bibliográfica:
MARMOLEJO, C.; ROCA, J. Hacia un modelo teórico del comportamiento espacial de las actividades de oficina. Scripta Nova. Revista electrónica de geografía y ciencias sociales. Barcelona: Universidad de Barcelona, 15 de julio de 2006, vol. X, núm. 217. <http://www.ub.es/geocrit/sn/sn-217.htm> [ISSN: 1138-9788]


Índice de Scripta Nova   Menú principal