Menú principal

Índice de Scripta Nova

Scripta Nova
REVISTA ELECTRÓNICA DE GEOGRAFÍA Y CIENCIAS SOCIALES
Universidad de Barcelona. ISSN: 1138-9788. Depósito Legal: B. 21.741-98
Vol. XII, núm. 260, 1 de marzo de 2008
[Nueva serie de Geo Crítica. Cuadernos Críticos de Geografía Humana]


LA LONGEVIDAD GLOBALIZADA: UN ANÁLISIS DE LA ESPERANZA DE VIDA EN ESPAÑA (1900-2050)[*]

Marta Guijarro y Óscar Peláez
Departamento de Economía.Universidad de Cantabria
guijarrm@unican.es

Recibido: 7 de mayo de 2007. Devuelto para revisión: 25 de septiembre de 2007. Aceptado: 8 de cotubre de 2007

La longevidad globalizada: un análisis de la esperanza de vida en España (1900-2050) (Resumen)

En este trabajo se revisan las causas que han motivado la evolución de la esperanza de vida en España a lo largo del último siglo con la intención de inferir su comportamiento para las próximas décadas considerando, no sólo su pasado, sino también la fuerte relación que guardan los datos nacionales con los de otras regiones desarrolladas. Al situar las series españolas en el contexto internacional, se advierte que sus trayectorias responden a un proceso de convergencia hacia las longevidades propias de las regiones líderes. Atendiendo a esta relación, se ajustan sendos modelos logísticos a las series de máximos mundiales adaptándolos posteriormente a las particularidades del caso español. Con ello, se evita la subestimación sistemática en que incurren los estudios tradicionales cuando analizan la esperanza de vida obviando el contexto internacional o considerándolo únicamente de forma marginal.

 Palabras clave: esperanza de vida, envejecimiento, proyecciones logísticas.

The Globalized Longevity: an Analysis of the Life Expectancy in Spain (1900-2050) (Abstract)

This paper examines the causes of the life expectancy evolution in Spain throughout the last century with the purpose to infer its behaviour for the next decades, considering not only its past, but also the strong relation of the national data with those from other developed regions. When locating the Spanish series in the international context, we notice that their trajectories respond to a convergence process towards the longevities of the leader countries. Considering this relation, we adjust logistic models to the series of world-wide maximums adapting them to the particularities of the Spanish case. This method allows us to avoid the systematic underestimation of traditional studies.

Key words: life expectancy, longevity, logistic models.

Al término de la transición demográfica, la tasa de natalidad tiende a igualar a la de mortalidad en niveles bajos, como viene ocurriendo desde hace algunas décadas en los países desarrollados, entre ellos España. Cuando ambas tasas se igualan, se producen tantos nacimientos como defunciones, de modo que el tamaño de la población tiende a permanecer estable en ausencia de flujos migratorios. A los problemas relacionados con las poblaciones estables o en retroceso, ya analizados a lo largo de la historia por diversos autores (Overbeek, 1984; Becker et al., 1999; Livi-Bacci, 2002), en las últimas fechas se ha sumado uno nuevo: el envejecimiento poblacional (entendido como un incremento sustancial y permanente del número de personas mayores de 64 años en relación con el resto de la población). La contracción simultánea de la natalidad y de la mortalidad ha modificado el perfil de la pirámide de población, recortando su base y alargando y ensanchando su cúspide. Ello ha llevado a que, por ejemplo, en España, desde la década de los noventa, el número de personas mayores de 65 años supere al de menores de 15. Este cambio respecto a la situación anterior, donde había siempre más jóvenes que ancianos, plantea retos muy importantes para una sociedad jerarquizada que en muchos aspectos reproduce una estructura por edades ya extinta.

El nuevo panorama demográfico afectará a la composición y a la formación de las familias (Boulding, 1965), al sistema educativo (Olivera, 2005), al mercado de la vivienda (Naredo, 2004; Vinuesa, 2005), a las necesidades sanitarias de la población, no sólo en su cantidad, sino también en el tipo de patologías a considerar (Bryant et al., 2004). Asimismo, modificará las relaciones de poder dentro de los sistemas democráticos (Gil, 2004). A medida que la población envejezca, aumentará la importancia de los comportamientos asociados a los grupos de mayor edad. El progresivo deterioro de la razón del número de trabajadores (productores netos) por jubilado (consumidores) alterará el ahorro, la inversión y el consumo agregados (Pujolar y Raymond, 2005), pero, además, al aumentar el peso de los inactivos, lastrará gravemente la capacidad de crecimiento de la economía en su conjunto, a lo que habrá que añadir los efectos negativos de disponer de una mano de obra de mayor edad (Boltho, 2003). De forma semejante, el envejecimiento afectará en mayor o menor medida a los impuestos, a las transferencias, a la financiación del sistema de Seguridad Social y, en definitiva, a todo el Estado de Bienestar tal y como está concebido en la actualidad.

De estas importantes implicaciones surge la necesidad de estudiar en detalle las causas y consecuencias de las nuevas tendencias demográficas, conocer la posible evolución del tamaño de la población y de su distribución por sexo y edad, y ver si las distintas estructuras sociales continúan siendo viables o si requieren algún cambio para adaptarse a las características de una población senescente.

En este sentido, si se atiende a las distintas proyecciones de población realizadas para España, para cualquier otra población o incluso para diversos conjuntos de países, se puede advertir que en su elaboración se emplean distintas hipótesis sobre la evolución futura de la natalidad y los flujos migratorios, pero que la mortalidad, el tercer aspecto que condiciona la dinámica demográfica, suele presentarse bajo una única opción y, en todo caso, con una mejora de la esperanza de vida que se desacelera rápidamente. En este trabajo se argumenta que durante las próximas décadas la tendencia de la esperanza de vida al nacimiento podría evolucionar como lo ha venido haciendo a lo largo de último siglo, no observándose en su crecimiento futuro la importante desaceleración que otros autores suponen.

Como se expondrá, las propuestas tradicionales ignoran la relación existente entre la evolución de la esperanza de vida de los distintos países. No considerar esa relación plantea problemas, especialmente cuando los conocimientos sanitarios, las costumbres y los modos de vida se transmiten con suma facilidad entre naciones. Al situar el caso español en el contexto internacional es posible inferir un comportamiento más optimista para la longevidad media que si el análisis se realiza de forma aislada, sin considerar la interrelación existente. Este mayor crecimiento que se propone para la esperanza de vida estaría avalado, además, por los importantes beneficios que aún puede aportar la adopción de hábitos más saludables o los progresos en la medicina, por ejemplo, desde la genética. La exclusión de esta alternativa, como hacen otros estudios, puede impedir la correcta previsión de los acontecimientos futuros y, por tanto, la búsqueda de soluciones óptimas a los problemas que plantea la nueva situación demográfica.

El análisis propuesto se estructura del siguiente modo: en primer lugar, se describe la evolución de la esperanza de vida en España durante el siglo XX; en el segundo apartado, se revisan algunos estudios que describen el comportamiento de la longevidad en el marco internacional; en el tercero, se propone una metodología que, a partir de la información internacional, permite proyectar la capacidad de supervivencia de la población española a largo plazo; en el cuarto, se comparan las estimaciones obtenidas con las publicadas por INE y Eurostat; finalmente, se exponen las conclusiones de este trabajo.

Análisis retrospectivo de la esperanza de vida en España

Con el fin de determinar la evolución futura de la esperanza de vida nacional, se hace necesario conocer el comportamiento histórico de esta variable. Para ello, se utilizan los datos extraídos de la Human Mortality Database, que ofrece series de periodicidad anual diferenciadas por sexos para distintos países industrializados. En el caso español, estas series cubren el periodo 1908-2002, un lapso de tiempo suficientemente extenso que permite analizar la tendencia a largo plazo de la esperanza de vida. Las observaciones obtenidas de esta fuente apenas difieren de las aportadas por el INE desde 1975 hasta la actualidad o por Carreras (1989) y Carreras y Tafunell (2003) para el periodo 1900-1970. En ningún caso la elección de unos u otros datos altera las conclusiones del estudio.

 

Figura 1: Evolución de la esperanza de vida en España.
Fuente: Carreras (1989), Carreras y Tafunell (2003), INE y Human Mortality Database.
Nota: Los valores de las series desde 1908 a 2002 han sido extraídos de la Human Mortality Database. Los datos de 1900 y de los años múltiplos de diez hasta 1970, proceden de Carreras (1989) y Carreras y Tafunell (2003).

 

La Figura 1 resume la evolución de la esperanza de vida en España durante el siglo XX. En ella pueden apreciarse con claridad las marcas dejadas por la gripe de 1918 y por la Guerra Civil (1936-1939) y su posguerra (1939-1942). Cabe comentar que, si bien el brote vírico de 1918 afectó por igual, o tal vez más, a las mujeres que a los hombres, aproximando las esperanzas de vida de ambos sexos (30,8 años para las mujeres frente a 29,9 para los hombres), la contracción en la esperanza de vida durante la Guerra Civil resultó ser claramente mayor en la población masculina que en la femenina, ampliándose la distancia entre ambas series hasta los 9 años.

Excluyendo del análisis estas distorsiones debidas a casos evidentemente anómalos, el resto del periodo objeto de estudio (1900-2002) se caracteriza fundamentalmente por un fuerte alza de la esperanza de vida, que llega a incrementarse en el transcurso del siglo XX desde los 33,9 hasta los 75,8 años para los varones y desde los 35,7 hasta los 82,7 años para las mujeres. Esta prolongación de la vida, mayor en la población femenina que en la masculina (47 años de mejora en un siglo para las mujeres, frente a 41,9 para los varones), acentúa la tendencia divergente de las series representativas de cada sexo. De hecho, a medida que transcurre el tiempo, la brecha que separa ambas series tiende a ensancharse de forma más que proporcional. Si al inicio del siglo pasado las mujeres vivían 1,8 años más que los hombres, un 5% más, al cabo de cien años esta diferencia se ha elevado hasta los 6,8 años, lo cual supone que en la actualidad las mujeres lleguen a vivir un 8% más que los hombres (Goerlich y Pinilla, 2006).

En los últimos cien años, la vida de los españoles ha duplicado su duración, elevándose en más de 45 años para las mujeres y en más de 40 para los varones. Sin embargo, no parece que en el próximo siglo puedan repetirse unos progresos tan extraordinarios en la lucha contra la mortalidad como los realizados durante la última centuria. No es fácil ni siquiera imaginarse que al inicio del siglo XXII los españoles puedan llegar a disfrutar de esperanzas de vida próximas a los 120, o incluso a los 130 años, que serían las propias de mantenerse la fuerza media observada durante el siglo pasado. Seguramente, este extremo resulta tan difícil de creer como podía ser en 1900 la situación actual. No obstante, se pueden establecer importantes diferencias entre los márgenes de mejora existentes en el pasado, en los albores del siglo XX, y en el presente, al inicio del XXI.

Es cierto que en los últimos cien años la vida de los españoles ha duplicado su duración. Pero no es menos cierto que, a finales del siglo XIX, el 9% de la población superaba los 60 años de edad, muy por encima de su esperanza de vida, mientras que, en la actualidad, apenas el 4% supera los 80 y sólo el 0,01% llega a cumplir la centena, según se desprende de los datos del INE, cifra que dentro de un siglo, de repetirse las mejoras advertidas anteriormente, debería de ser habitual entre nuestros mayores.

A la luz de estas cifras, parece evidente que el ritmo de mejora de la esperanza de vida en España va a frenarse en el futuro, como ya lo viene haciendo al menos desde la década de los sesenta. Este crecimiento cada vez más moderado de la esperanza de vida encuentra su explicación en el hecho de que la evolución favorable de la mortalidad se debe a la drástica reducción de las muertes en las edades más jóvenes. Así, mientras es posible evitar el fallecimiento de un buen número de personas a edades tempranas, la esperanza de vida aumenta de forma acelerada. Pero, una vez agotada esa vía, cuando la mortalidad de los menores se aproxima a valores muy bajos, nuevas reducciones de la mortalidad infantil apenas aportan ganancias a la longevidad media, de manera que el avance de la esperanza de vida implica la mejora de la salud de los adultos, más difícil de conseguir, lo que frena el crecimiento de la longevidad media.

En el futuro, los progresos de la esperanza de vida deberán provenir necesariamente del aumento generalizado de la edad de fallecimiento del total de la población, no como en épocas anteriores cuando era suficiente con evitar la muerte de una “minoría” durante la infancia. A ello, hay que añadir el hecho de que la esperanza de vida, por definición, resulta ser una medida muy sensible a cambios en la mortalidad infantil y juvenil, esto es, en el extremo de la distribución, y que el retraso de la mortalidad adulta no disfruta de ese “efecto de palanca”. Por todo esto, diversos autores concluyen que la “rápida” desaceleración observada durante las últimas décadas en las series de esperanza de vida va a continuar en el futuro (Olshansky et al., 2001), lo que les lleva a proyectar su evolución mediante curvas de crecimiento cada vez más débil.

No obstante, si las series españolas, o las de cualquier otra población, se sitúan en el contexto internacional, su dinámica puede interpretarse de una manera un tanto diferente y, en consecuencia, inferir otro comportamiento para el futuro de la esperanza de vida. En este sentido, la Figura 2 presenta la serie española de esperanza de vida junto con las de otras naciones, como Francia e Italia, con las que España comparte un entorno geográfico y socioeconómico, o Noruega, Nueva Zelanda y Suecia, cuyas poblaciones han sido líderes en longevidad a lo largo del último siglo y medio. De este modo, se puede observar cómo las series de los países en principio atrasados se aproximan progresivamente a los valores habituales de las regiones más longevas, hasta igualarlos (Wilson, 2001; Bongaarts, 2006). Este proceso de convergencia[1] responde al hecho de que los progresos de un país no son independientes de lo que acontece en el resto. Los avances en la medicina, en la salud, en la alimentación o en las condiciones de trabajo, se transmiten cada vez con mayor facilidad de unos países a otros. La mejora de los transportes y de las comunicaciones ha facilitado la difusión internacional de los conocimientos, la tecnología y las prácticas de las poblaciones más sanas, contribuyendo de forma decisiva a la recuperación acelerada del diferencial existente entre las diversas naciones y los líderes mundiales en esperanza de vida. Esta relación, además, sigue actuando después de culminar la convergencia. Así, cuando un país alcanza a los líderes y dispone de sus mismos recursos en la lucha contra la muerte y a favor de la salud de su población, su esperanza de vida sigue creciendo, pero al ritmo de los líderes, que es inferior al observado durante la etapa en que aún se estaba aproximando a ellos.

 

Figura 2: Convergencia de las esperanzas de vida.
Fuente: Elaboración propia a partir de la Human Mortality Database.

 

De este modo, considerando el marco internacional y la existencia de convergencia, la desaceleración en el alza de la esperanza de vida que, por ejemplo, se advierte en el caso español (Figura 1) desde mediados de la década de los cincuenta, queda explicada por la sucesión de dos etapas: una primera de rápida mejora mientras se converge hacia el máximo; y una segunda, una vez culminada la convergencia, con menor ritmo de crecimiento, siguiendo la trayectoria de los países líderes. Mediante este proceso, España, que a principios del siglo XX era un país demográficamente atrasado, con una esperanza de vida 20 años inferior a la del líder (Nueva Zelanda), consiguió cerrar rápidamente esa brecha, que ya a finales de los cincuenta era de tan sólo 5 años. Desde entonces, dado el menor margen de mejora respecto a los líderes, la esperanza de vida ha venido creciendo a un ritmo más moderado.

La desaceleración advertida al comentar la Figura 1 no se correspondería, por tanto, con la imposibilidad de reducir aún más la mortalidad infantil como señalan algunos autores, sino con este proceso de convergencia hacia el máximo mundial y posterior evolución en paralelo. Culminada la convergencia, no cabe esperar nuevas desaceleraciones, o al menos no tan bruscas, en el crecimiento de la esperanza de vida, sino que las series nacionales sigan sendas semejantes a las del resto de países desarrollados. Por lo que es muy posible que en el futuro la esperaza de vida de la población española no sufra la “rápida” desaceleración que se suele pronosticar.

Análisis retrospectivo de la esperanza de vida internacional

A la vista de la relación existente entre la capacidad de supervivencia de las distintas poblaciones, se hace necesario analizar la evolución de la esperanza de vida en el contexto internacional. En este sentido, Oeppen y Vaupel (2002), y posteriormente White (2002), estudian el comportamiento de esta variable en varios países de forma simultánea a lo largo del último siglo y medio, encontrando que la tendencia de la esperanza de vida máxima crece de manera constante durante todo el periodo analizado, lo que contradice la desaceleración que muchos estudios advierten en la mejora de las longevidades medias.

Reproduciendo el análisis de Oeppen y Vaupel (2002) a partir de los datos extraídos de la Human Mortality Database para 26 poblaciones[2], la evidencia (Figuras 3A y 3B) sugiere que el valor máximo de la esperanza de vida a nivel mundial para cada año, a lo largo del último siglo y medio, sigue una tendencia creciente claramente lineal (R2=0,9814 para las mujeres y R2=0,9732 para los hombres), no apreciándose ninguna desaceleración importante en fechas recientes.

 

Figura 3A: Evolución de las esperanzas de vida femeninas máxima (1850-2002) y de España (1908-2002).
Fuente: Elaboración propia a partir de la Human Mortality Database.

 

Las Figuras 3A y 3B muestran cómo la alternancia de diversos países (Dinamarca, Holanda, Japón, Noruega, Nueva Zelanda[3] y Suecia, además de Suiza en la serie femenina y Australia en la masculina) en el liderato mundial de la esperanza de vida consigue suavizar el impacto de las ondulaciones propias de esta variable en cada población, confiriendo a la serie de máximos históricos un aspecto prácticamente lineal en el largo plazo. De este modo, la esperanza de vida, tanto para la serie masculina como para la femenina, se eleva de forma constante a lo largo del periodo considerado. Concretamente, la esperanza de vida masculina presenta una pendiente de 0,22, indicando que a lo largo del último siglo la longevidad media para los hombres ha aumentado en 22 años. En el caso femenino, la pendiente se eleva hasta 0,24, lo que, unido al hecho de que ya al inicio del siglo XX la esperanza de vida femenina superaba a la masculina, corrobora la evolución divergente advertida en el caso español para las series de ambos sexos.

 

Figura 3B: Evolución de las esperanzas de vida masculinas máxima (1850-2002) y de España (1908-2002).
Fuente: Elaboración propia a partir de la Human Mortality Database.

 

En consecuencia, si durante el último siglo y medio la esperanza de vida máxima ha venido creciendo a un ritmo constante, y nada indica que en las próximas décadas pueda sufrir un deterioro, es muy probable que en un futuro a corto o medio plazo la esperanza de vida máxima continúe creciendo y que, dadas las transferencias de salud entre países, la longevidad de los españoles también aumente. Pero, ¿es posible mantener el ritmo de crecimiento de la esperanza de vida una vez agotada la mortalidad infantil?

Atendiendo a la experiencia de ciertas poblaciones, no parece que el agotamiento de la mortalidad infantil afecte al ritmo de mejora de la esperanza de vida. Países que en 1970 presentaban tasas relativamente bajas de mortalidad infantil, como Japón (14‰) o Finlandia (13‰),  han seguido disfrutando desde entonces de importantes incrementos en la esperanza de vida de sus poblaciones (8,3 y 7,3 años de mejora respectivamente en tres décadas). España, que ha rebajado su tasa de mortalidad infantil desde el 27 al 4‰ en esos mismos treinta años, ha visto crecer su esperanza de vida femenina en 7,8 años y la masculina en 6,5, lo que implica unas ganancias para las mujeres de dos años y medio en cada década y de algo más de dos para los hombres.

Pese a que las nuevas reducciones de la mortalidad infantil apenas aportan ganancias a la longevidad media, la esperanza de vida mantiene su ritmo de crecimiento debido a la aceleración que ha experimentado el descenso de la mortalidad entre los mayores. Este fenómeno encuentra su explicación en la transición epidemiológica descrita por Omran (1971) y ampliada por Olshansky y Ault (1986). Según estos autores, las ganancias iniciales en longevidad se deben a la reducción de las muertes causadas por enfermedades infecciosas o desnutrición, con mayor incidencia entre los jóvenes. Una vez controladas las enfermedades de origen infeccioso (gripe, neumonía, bronquitis o viruela), aumenta la importancia relativa de la mortalidad adulta. Son más los que alcanzan edades elevadas y los que, por tanto, empiezan a padecer enfermedades degenerativas (cardiovasculares, cerebrovasculares o cancerosas). Al aumentar la importancia relativa de estas enfermedades, se produce un trasvase hacia otras áreas de la medicina de los recursos liberados del control y la investigación de las enfermedades infecciosas, prácticamente erradicadas de las causas de mortalidad. De esta forma, se acelera la reducción de la mortalidad a edades avanzadas, compensando la menor fuerza de la mortalidad infantil y haciendo posible que no decaiga la tendencia creciente de la esperanza de vida.

No obstante, algunos autores advierten que las causas de muerte de los mayores resultan más complejas que las de los jóvenes, por lo que la efectividad marginal de los recursos invertidos tiende a decrecer. En este sentido, Tuljapurkar et al. (2000) encuentran que históricamente el nivel de recursos destinados a reducir la mortalidad se ha ido incrementando a la vez que la efectividad marginal de los mismos iba decreciendo, y sugieren que el crecimiento exponencial de la renta nacional per cápita en los países avanzados puede ser suficiente como para cubrir el incremento del coste marginal que implica la reducción de la mortalidad.

Pese a ello, ni el aumento de los recursos, ni su trasvase hacia las enfermedades degenerativas, parecen tener la fuerza suficiente como para impulsar un descenso de la mortalidad adulta capaz de sostener a largo plazo el crecimiento de la esperanza de vida. Uno de los motivos que invita al pesimismo en este sentido aparece expuesto en la investigación de Olshansky et al. (1990 y 2001), quienes demuestran empíricamente para las tablas de supervivencia que a medida que aumenta la esperanza de vida al nacimiento ésta se vuelve menos sensitiva a cambios en los ratios de mortalidad, de modo que para mantener constante el ritmo de crecimiento de la esperanza de vida se hace necesaria una reducción cada vez mayor de los ratios de mortalidad a cada edad.

Hasta el momento, ha sido posible conseguir el ritmo de mejora necesario para alimentar el crecimiento constante de la longevidad media. Sin embargo, no parece que esta dinámica pueda mantenerse en el futuro. A medida que una parte mayor de la población logre sobrevivir hasta edades avanzadas, el margen de actuación se irá estrechando ya que, si bien la esperanza de vida ha aumentado de forma importante durante el último siglo, la longevidad máxima de la población apenas ha variado. Para el caso español, si a principios del siglo XX poca gente sobrevivía a partir de los noventa y cinco años de edad (el 0,01% de la población), en la actualidad son igual de escasos los que superan la centena (el mismo 0,01% de la población). La existencia de un límite hasta el momento inalterable que impide la prolongación de la vida humana más allá de una cierta edad dificultará seriamente el crecimiento lineal de la esperanza de vida, de manera especial cuando para ello no sólo es necesario que siga reduciéndose la mortalidad sino, además, que esta reducción se produzca de forma cada vez más acelerada.

La existencia de un techo, de una barrera temporal infranqueable para el ser humano, se ve confirmada desde el punto de vista biológico mediante la investigación realizada por Hayflick y Moorhead (1961), quienes observan un límite en el proceso de regeneración celular. Estudios posteriores (Counter, 1996) han revelado que los telómeros que cubren los extremos de los cromosomas se acortan en cada división celular llegando a agotarse tras cincuenta particiones aproximadamente (Hayflick, 1965), lo que detiene el sistema de regeneración y hace que las células envejezcan y mueran. Estas cincuenta divisiones celulares, según el propio Hayflick (1994 y 2000), impiden al ser humano superar una barrera situada en torno a los 120 años de edad, que algunos autores cuestionan. Dado ese máximo, el margen de mejora de la esperanza de vida irá menguando a medida que aumente la proporción de personas que sobrevive hasta edades cercanas al límite biológico y se vaya rectangularizando la curva de supervivencia (Fries, 1980; Muñoz Pradas, 2003).

Considerando estos aspectos, Lee (2003), a diferencia de Oeppen y Vaupel (2002), argumenta que la pendiente de la esperanza de vida máxima, no sólo se va a reducir en el futuro, sino que ya lo viene haciendo durante las últimas décadas, si bien esta desaceleración no ha sido muy acusada, como refleja el hecho de que los ajustes lineales para la totalidad del periodo presenten unos coeficientes de determinación muy elevados. Lee (2003) advierte que si se divide en tres subperiodos el análisis original de Oeppen y Vaupel (2002), las pendientes de las tendencias lineales presentan diferencias apreciables de un tramo a otro. La existencia de diversos tramos hace que la tendencia lineal propuesta inicialmente por Oeppen y Vaupel (2002) se torne en una curva “con una leve forma de S” (Lee, 2003), cuyo perfil ondulado responde a la concatenación de cuatro etapas: una primera caracterizada por el comportamiento errático de la esperanza de vida; una segunda etapa de crecimiento lento, al iniciarse la reducción de la mortalidad (1840-1900), que sirve de transición entre el periodo de estancamiento anterior y el de crecimiento acelerado posterior; una tercera etapa donde la longevidad media experimenta un importante aumento debido a la fuerte caída de la mortalidad de los jóvenes (1900-1950); y una última, de menor crecimiento de la esperanza de vida al nacer, una vez agotada la mortalidad fácil de combatir (1950-2000).

Teniendo en cuenta todo lo anterior, para inferir el comportamiento futuro de la esperanza de vida en España, habrá que prestar atención al marco internacional, ya que existen transferencias de salud entre las distintas poblaciones que, si no se consideran, llevan a predecir una desaceleración excesiva de la evolución de las series. No obstante, el modelo de regresiones lineales propuesto por Oeppen y Vaupel (2002) para el análisis de máximos mundiales de esperanza de vida no resulta satisfactorio a largo plazo. Por ello, se propone la utilización de una función alternativa para describir la evolución de los máximos de una forma más adecuada.

Metodología y evidencia empírica

Una vez que la población española ha culminado su proceso de convergencia con los líderes y dispone de sus mismos recursos para combatir la mortalidad, es de esperar que también comparta sus expectativas de supervivencia y que continúe evolucionando a su lado, dibujando una trayectoria levemente curvada. Por ello, la propuesta metodológica que se plantea en este apartado consiste en ajustar una curva logística a las series de máximos mundiales para, a partir de ese modelo común, estudiar el caso español considerando sus peculiaridades.

La idea de modelizar las esperanzas de vida mediante funciones logísticas fue propuesta inicialmente por Bulatao et al. (1989) y aplicada al caso español por Zamora (1994). A diferencia de estos autores, lo que se pretende en este trabajo es ajustar un modelo logístico a la serie de máximos mundiales y no a la serie nacional, como hicieron ellos, ya que esta última presenta una parte muy importante de datos (los anteriores a 1980, cuando se estaba convergiendo) que no son válidos para inferir su comportamiento futuro, de evolución junto a los líderes.

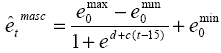
La forma funcional que mejor puede adaptarse a las etapas descritas por Lee (2003) para la evolución de la esperanza de vida (estancamiento, crecimiento lento, crecimiento acelerado y, de nuevo, crecimiento lento) es una curva logística de dos asíntotas del tipo:

,

donde  es la esperanza de vida al nacimiento estimada para el año t; d y c son constantes desconocidas;  es la esperanza de vida mínima; y es el nivel de saturación, el máximo valor que puede alcanzar la variable dependiente.

A la luz de diversos estudios históricos (Bagnall, 1993; Vallin, 1995; Livi-Bacci, 2002), el límite inferior de la esperanza de vida puede situarse en torno a los 25 años de edad. A diferencia de la esperanza de vida mínima, la máxima no puede conocerse a partir de la experiencia de ninguna población, ya que ese límite no ha sido alcanzado ni siquiera por los países líderes, que aún continúan mejorando sus expectativas de supervivencia. Asimismo, tampoco puede fijarse atendiendo a los estudios que han tratado de encontrar ese techo porque éstos han venido errando de forma sistemática en sus predicciones con independencia del método más o menos científico empleado en la investigación. Desde Dublin (1928), hasta Frejka (1981), pasando por otros autores (Dublin y Lotka, 1936; Whelpton et al., 1947; Bourgeois-Pichat, 1952), así como por proyecciones realizadas para organizaciones internacionales como el Banco Mundial o Naciones Unidas, la evidencia muestra que este tipo de predicciones subestima el límite máximo en la extensión de la esperanza de vida, ya que en todos los casos las cifras propuestas han sido superadas pocos años después de su publicación.

Ante la necesidad de conocer el nivel de saturación para poder estimar el modelo, se han utilizado distintos valores para la esperanza de vida límite en hombres y mujeres. De entre todos ellos, se han elegido los que generaban un error cuadrático medio menor, esto es, los que permiten un mejor ajuste de la curva logística a la realidad descrita por la serie de observaciones, que son 110 y 87 años para los casos femenino y masculino, respectivamente.

Aplicando la metodología descrita a la serie femenina de esperanza de vida se obtiene la correspondiente curva logística con coeficientes estadísticamente significativos c = -0,011822 y d = 22,81415, siendo el error cuadrático medio[4] igual a 2,056.

Este ajuste logístico puede compararse con el resultante de aplicar el análisis lineal propuesto por Oeppen y Vaupel (2002) sobre la misma serie de datos, obteniéndose en este caso un término independiente a = -397,9362, una pendiente b = 0,2412 y un error cuadrático medio de 2,153.

El modelo logístico supera al lineal en cuanto a bondad del ajuste, pero, además, es capaz de explicar la evolución de la esperanza de vida a lo largo de toda la historia, cosa que el lineal no hace. Como se observa en la Figura 4, durante el periodo 1850-2002 las regresiones lineal y logística para los datos femeninos son prácticamente coincidentes, de ahí que ambas expliquen de forma adecuada los datos disponibles. Sin embargo, fuera de ese periodo, los modelos divergen y, en los siglos anteriores, por ejemplo, cuando la recta de regresión lineal se muestra absolutamente incapaz de explicar la evolución de la longevidad media, anulándose en torno a 1650 y generando valores negativos para fechas anteriores, el modelo logístico describe la evolución de la esperanza de vida de forma consecuente con lo expuesto hasta el momento. Por ello, si el modelo lineal no permite explicar la evolución de la esperanza de vida en fechas anteriores a 1850, tal vez, tampoco resulte adecuado para la predicción más allá del siglo XX, sin olvidar que la esperanza de vida no puede elevarse hasta el infinito.

 

Figura 4: Estimaciones logística y lineal para los máximos internacionales (serie femenina).
Fuente: Elaboración propia.

 

El modelo logístico se comporta mejor que el lineal en la descripción de las series de esperanza de vida máxima, sin embargo, presenta un grave inconveniente. El hecho de que en épocas recientes la brecha que separa las longevidades medias de las poblaciones masculina y femenina haya comenzado a cerrarse en la mayoría de los países (Trovato y Lalu, 1996; Gerland, 2005), hace inviable aceptar que en el límite el diferencial de las esperanzas de vida pueda llegar a situarse próximo a los 23 años, una cifra excesiva que se ha obtenido al utilizar los datos del periodo durante el cual, precisamente, la distancia se estaba ensanchando.

Los distintos hábitos de cada sexo, pero sobre todo la disímil capacidad biológica para enfrentarse a ciertas enfermedades, llevan a que las series de esperanza de vida de hombres y mujeres se comporten de manera diferente. Por ello, aplicar el mismo modelo sobre ambas conduce al error.

En este caso, la diferencia fundamental en la evolución de las series masculina y femenina de esperanza de vida máxima se encuentra al afrontar el paso de la tercera a la cuarta etapa de la transición epidemiológica (Omran, 1971; Olshansky y Ault, 1986), cuando la existencia de unos ya bajos niveles de mortalidad infecciosa hace difícil seguir incrementando la longevidad por esta vía y la falta de progreso en el tratamiento de las enfermedades crónicas impide acceder a nuevos campos de actuación. Porque, si bien es cierto que una vez controladas las enfermedades de origen infeccioso, reducida la mortalidad de los más jóvenes, los recursos liberados del control y la investigación de estas dolencias encuentra realojo en la lucha contra las enfermedades degenerativas, propias de edades avanzadas, este proceso no es inmediato, ya que la reasignación de recursos requiere tiempo, afectando de forma desigual a cada sexo.

 

Figura 5: Evolución de las esperanzas de vida máximas (1850-2002).
Fuente: Elaboración propia a partir de la Human Mortality Database.

 

Debido a la existencia de este periodo de reasignación, como mencionan Kinsella y Gist (1998), desde principios de los cincuenta hasta principios de los setenta se produjo un estancamiento en la evolución de la esperanza de vida de los países líderes. Atendiendo a la Figura 5 puede comprobarse cómo, efectivamente, el tercer cuarto del siglo XX se caracteriza por la estabilidad de las esperanzas de vida, especialmente la masculina y no tanto la femenina (Cutler y Meara, 2004). La esperanza de vida máxima de la población masculina pasó de los 71,53 años de 1955 a los 72,02 en 1972, un incremento de medio año en el transcurso de diecisiete, mientras que la femenina aumentó en algo más de dos años durante ese mismo periodo, desde los 75,34 años a los 77,53. Así, el completo estancamiento de la serie masculina, unido al moderado avance de la femenina, contribuyó de manera determinante a abrir la brecha entre ambas series.

El retraso de la serie masculina respecto a la femenina durante el paso de la tercera a la cuarta etapa de la transición epidemiológica se debió principalmente a la menor incidencia de las afecciones degenerativas sobre las mujeres (Montagu, 1999) y a la mejor disposición de éstas para incorporar los nuevos avances de la medicina (Meslé, 2004; Gómez Redondo, 2005). Ello, junto al continuado descenso del número de hijos por mujer (Gjonça et al., 1999), a la mejora de las condiciones sanitarias en el alumbramiento y a la consecuente reducción del riesgo de muerte relacionado con la maternidad (Kinsella y Gist, 1998), reveló la superioridad biológica de las mujeres y sostuvo el crecimiento de la esperanza de vida femenina durante las décadas de los cincuenta y los sesenta. Si bien es cierto que este crecimiento se produjo a un ritmo algo inferior al de etapas precedentes o posteriores, mostró la intensidad suficiente como para abrir la distancia que todavía hoy persiste respecto a la serie masculina, por entonces, indudablemente estancada.

 

6A: Holanda (1950)
6B: Holanda (1970)
6C: Noruega (1950)
6D: Noruega (1970)
6E: Suecia (1950)
6F: Suecia (1970)

Figuras 6A a 6F: Tasas específicas de mortalidad por edades (1950-1970).
Fuente: Elaboración propia.

 

En las Figuras 6A a 6F se puede observar cómo en el periodo que transcurre entre 1950 y 1970 la tasa de mortalidad femenina se aleja de la masculina, especialmente a partir de los cuarenta años de edad, para tres de los países que por entonces disfrutaban de las esperanzas de vida más altas: Holanda, Noruega y Suecia. La apertura de esta diferencia a favor de una menor mortalidad de las mujeres adultas y ancianas en relación con la población masculina para el periodo señalado confirma el hecho de que los avances en el tratamiento de las enfermedades degenerativas tuvieron en sus primeros momentos un mayor éxito en la reducción de la mortalidad de las mujeres, mejor dotadas biológicamente para enfrentarse a este tipo de dolencias. Esta reducción relativa de las tasas de mortalidad de las mujeres adultas hizo posible que durante el periodo 1950-1970 la esperanza de vida de la población femenina siguiera expandiéndose, a diferencia de la masculina.

La inclusión en el análisis de este periodo excepcional en el que la esperanza de vida masculina permanece estancada, y la femenina continúa creciendo, distorsiona la tendencia reduciendo su pendiente de forma artificial y ampliando, en consecuencia, la brecha entre las series de ambos sexos, de modo que en el límite esa distancia resulta excesiva. Por este motivo, el lapso de tiempo en el que la esperanza de vida masculina permanece inalterada, tal vez, requiera un tratamiento diferente al del resto de la serie.

Tras analizar las causas de la sobremortalidad masculina y el origen del problema que lleva a inferir esa diferencia, se propone construir para la serie masculina un modelo dividido en tres tramos que permita recoger las distintas etapas que se advierten en su evolución: una primera de crecimiento, una segunda de estancamiento y una última de vuelta al crecimiento. Ajustando curvas logísticas en las etapas de crecimiento de la esperanza de vida y calculando valores constantes como la media de los valores observados en los extremos de la segunda etapa, se pueden estimar modelos para diversos intervalos eligiendo el de menor error cuadrático medio una vez seleccionado el nivel de saturación óptimo en cada caso. Procediendo de este modo, se llega a la conclusión de que la etapa de estancamiento en la serie masculina abarca desde 1956 a 1970, incluyendo ambos años, y que en el límite la esperanza de vida tiende a alcanzar los 104 años de edad, sólo seis por debajo de los 110 de la serie femenina, una diferencia consecuente con los aspectos comentados y compatible, incluso, con el límite de 120 años propuesto por Hayflick (1994 y 2000). Todo ello, surge de un modelo con dos tramos de curva logística estimados conjuntamente,

,

para , y

,

para , siendo , para los años comprendidos entre 1955 y 1971.

Este ajuste proporciona unos coeficientes estadísticamente significativos c = -0,0129 y d = 24,8902, con un error cuadrático medio de 1,778. El ajuste lineal propuesto por Oeppen y Vaupel (2002), aplicado a la misma serie de datos, conduce a un error cuadrático medio igual a 2,553.

 

Figura 7: Estimación logística para los máximos internacionales (serie masculina).
Fuente: Elaboración propia.

 

Análisis prospectivo de la esperanza de vida en España: comparación con los resultados de INE y de Eurostat

Una vez estimados los modelos idóneos para las esperanzas de vida máximas a nivel internacional, éstos pueden adaptarse para inferir el comportamiento futuro de la longevidad media también en el ámbito nacional. Para ello, hay que tener en cuenta la relación histórica que vienen manteniendo las series nacionales e internacionales de esperanza de vida durante el último siglo. Esta relación, como se ha visto, ha estado caracterizada por la convergencia de la esperanza de vida de los distintos países con la de los líderes debido a las trasferencias internacionales de salud y, una vez culminada la convergencia, por la evolución en paralelo de las series de estas poblaciones.

España habría finalizado su convergencia a principios de la década de los ochenta. Así, en 1980 la esperanza de vida masculina alcanzaba un valor de 72,31 años, situándose a tan sólo 1,07 años de los 73,38 de la población japonesa que, por entonces, disfrutaba del liderato. En 1982, con una esperanza de 73,09, los españoles eran los terceros más longevos del mundo (Cuadro 1), pese a que la diferencia respecto a Japón se había ampliado hasta los 1,16 años. Desde entonces, la distancia al máximo internacional en cada año ha oscilado entre esa cifra y los 2,73 años de diferencia observados en 1991.

Cuadro 1
Esperanzas de vida masculinas de los países líderes (1975-2002)

Año

Primero

Segundo

Tercero

1975

72,17

(Suecia)

71,74

(Japón)

71,70

(Noruega)

1976

72,16

(Suecia)

72,12

(Japón)

72,00

(Noruega)

1977

72,66

(Japón)

72,41

(Suecia)

72,23

(Noruega)

1978

72,95

(Japón)

72,46

(Suecia)

72,32

(Noruega)

1979

73,42

(Japón)

72,50

(Suecia)

72,43

(Holanda)

1980

73,38

(Japón)

72,78

(Suecia)

72,44

(Holanda)

1981

73,80

(Japón)

73,08

(Suecia)

72,69

(Holanda)

1982

74,25

(Japón)

73,43

(Suecia)

73,09

(España)

1983

74,23

(Japón)

73,63

(Suecia)

72,94

(Holanda)

1984

74,59

(Japón)

73,85

(Suecia)

73,35

(Suiza)

1985

74,88

(Japón)

73,78

(Suecia)

73,48

(Suiza)

1986

75,26

(Japón)

73,97

(Suecia)

73,66

(Suiza)

1987

75,63

(Japón)

74,16

(Suecia)

73,90

(Suiza)

1988

75,58

(Japón)

74,12

(Suecia)

73,89

(Suiza)

1989

75,96

(Japón)

74,78

(Suecia)

74,07

(Suiza)

1990

75,93

(Japón)

74,81

(Suecia)

74,23

(Canadá)

1991

76,15

(Japón)

74,94

(Suecia)

74,45

(Canadá)

1992

76,13

(Japón)

75,36

(Suecia)

74,71

(Canadá)

1993

76,27

(Japón)

75,49

(Suecia)

75,01

(Australia)

1994

76,59

(Japón)

76,08

(Suecia)

75,16

(Suiza)

1995

76,42

(Japón)

76,17

(Suecia)

75,50

(Australia)

1996

77,03

(Japón)

76,52

(Suecia)

75,96

(Suiza)

1997

77,24

(Japón)

76,70

(Suecia)

76,28

(Suiza)

1998

77,21

(Japón)

76,87

(Suecia)

76,43

(N. Zelanda)

1999

77,16

(Japón)

77,07

(Suecia)

76,80

(Suiza)

2000

77,70

(Japón)

77,38

(Suecia)

77,21

(Australia)

2001

78,07

(Japón)

77,63

(Australia)

77,54

(Suecia)

2002

78,34

(Japón)

77,78

(Australia)

77,77

(Suiza)

Fuente: Elaboración propia.

 

Para la población femenina, el punto más cercano al liderato se consiguió en 1982, cuando la esperanza de vida española únicamente distaba 0,41 años de la nipona. Desde entonces, la distancia al máximo internacional en cada año ha oscilado entre esa cifra y los 2,17 años de diferencia observados en 2002. No obstante, como se puede comprobar en el Cuadro 2 y pese al aparente retroceso de los últimos años, las españolas alcanzaron el tercer puesto en el ranking mundial de longevidad en los años 1995, 1997, 2000 y 2001, y el segundo puesto en 2002, precisamente cuando la diferencia respecto al líder se ampliaba hasta el máximo de las últimas décadas debido al fuerte crecimiento de la serie japonesa. En cualquier caso, finalizado el proceso de convergencia, las series nacionales de esperanza de vida han tendido a seguir una trayectoria paralela a la del resto de países desarrollados.

Cuadro 2
Esperanzas de vida femeninas de los países líderes (1975-2002).

Año

Primero

Segundo

Tercero

1975

78,03

(Noruega)

78,00

(Suiza)

77,94

(Suecia)

1976

78,16

(Noruega)

78,14

(Suiza)

77,96

(Suecia)

1977

78,67

(Suiza)

78,61

(Noruega)

78,57

(Suecia)

1978

78,69

(Suecia)

78,65

(Suiza)

78,55

(Noruega)

1979

78,88

(Holanda)

78,78

(Suiza)

78,75

(Japón)

1980

79,14

(Holanda)

79,09

(Noruega)

78,85

(Suecia)

1981

79,28

(Holanda)

79,17

(Noruega)

79,15

(Japón)

1982

79,71

(Japón)

79,43

(Noruega)

79,43

(Suiza)

1983

79,81

(Japón)

79,64

(Suecia)

79,57

(Holanda)

1984

80,25

(Japón)

80,03

(Suiza)

79,93

(Suecia)

1985

80,53

(Japón)

80,16

(Suiza)

79,73

(Canadá)

1986

80,97

(Japón)

80,30

(Suiza)

80,02

(Suecia)

1987

81,42

(Japón)

80,66

(Suiza)

80,30

(Francia)

1988

81,32

(Japón)

80,73

(Suiza)

80,50

(Francia)

1989

81,79

(Japón)

80,94

(Suiza)

80,67

(Francia)

1990

81,86

(Japón)

80,98

(Francia)

80,72

(Suiza)

1991

82,18

(Japón)

81,18

(Francia)

81,11

(Suiza)

1992

82,30

(Japón)

81,47

(Francia)

81,34

(Suiza)

1993

82,46

(Japón)

81,47

(Francia)

81,44

(Suiza)

1994

82,92

(Japón)

81,90

(Francia)

81,73

(Suiza)

1995

82,81

(Japón)

81,91

(Francia)

81,75

(España)

1996

83,54

(Japón)

82,06

(Francia)

82,02

(Suiza)

1997

83,77

(Japón)

82,32

(Francia)

82,24

(España)

1998

83,97

(Japón)

82,52

(Suiza)

82,42

(Francia)

1999

83,96

(Japón)

82,54

(Suiza)

82,52

(Francia)

2000

84,58

(Japón)

82,79

(Francia)

82,68

(España)

2001

84,91

(Japón)

83,01

(Suiza)

82,99

(España)

2002

85,22

(Japón)

83,05

(España)

83,02

(Suiza)

Fuente: Elaboración propia.

 

La Figura 8 presenta las distancias de las observaciones para la población española respecto a las estimaciones generadas por los modelos logísticos internacionales. Durante las décadas de los sesenta y los setenta las diferencias se van reduciendo progresivamente para culminar, a principios de los ochenta, el proceso de convergencia. La serie femenina se estabiliza de forma casi inmediata, avanzando en los ochenta y los noventa en paralelo a las estimaciones del modelo propuesto, a una distancia ligeramente inferior al año y medio. Por otra parte, la serie masculina no se estabiliza hasta la década de los noventa, progresando desde entonces al mismo ritmo que las estimaciones internacionales, a una distancia cercana a los dos años y medio.

 

Figura 8: Diferencia en años de las estimaciones con respecto a la esperanza de vida observada en España (1960-2002).
Fuente: Elaboración propia.

 

Suponiendo que en el futuro las series nacionales van a seguir evolucionando en paralelo a las de máximos, como viene ocurriendo en las últimas décadas desde que se completó la convergencia, se pueden obtener las estimaciones de la esperanza de vida en España detrayendo de las proyecciones internacionales las diferencias advertidas anteriormente: 1,5 años para las mujeres y 2,5 para los hombres. Las estimaciones así obtenidas para las series nacionales se pueden comparar con las empleadas por el INE o Eurostat en la elaboración de las proyecciones de población que ofrecen regularmente.

En relación con las cifras publicadas por el INE en diversos años (1981, 1987, 1995, 2001 y 2004), el análisis comparativo que aquí se pretende efectuar se centra en la revisión de los tres estudios más recientes: los de 1995 y 2001, basados en el censo de población de 1991, y el de 2004, elaborado a partir del censo de 2001. Para la construcción de las proyecciones publicadas en 1995, se recurrió a la extrapolación de las tasas de mortalidad correspondientes a los años 1980, 1985 y 1990. La elección de los valores observados en la década de los ochenta para inferir el comportamiento futuro de las series de esperanza de vida, provocó que las cifras de defunciones ofrecidas resultaran ser superiores en ciento cuarenta mil personas a las observadas posteriormente durante el periodo 1991-2000. Este desajuste fue debido a la desaceleración en la reducción de la mortalidad que se produjo durante la década de los ochenta, especialmente en la serie masculina (Figura 9). La proyección de estas tasas de mortalidad, prácticamente constantes, a lo largo de la década de los noventa, cuando la esperanza de vida en España reanudó su crecimiento, generó una gran diferencia entre los valores estimados y los observados, tanto mayor cuanto más profundo resultó el cambio de tendencia de una década a otra. Así, el menor crecimiento de la serie masculina durante los ochenta, y su mayor progresión durante los noventa, en relación con la serie femenina más estable durante ambas décadas, hizo que el error cometido al prolongar las tendencias de los ochenta resultase mayor en el caso de los hombres que en el de las mujeres. En el año 1997, la esperanza de vida observada para los varones superaba en 1,3 años a la estimada, mientras que la diferencia era de 0,56 en la población femenina (INE, 2001).

 

Figura 9: Evolución de la esperanza de vida en España (1975-2002).
Fuente: INE.

 

Como las estimaciones ofrecidas en 1995 resultaron ser bastante desacertadas, el INE decidió publicar en el año 2001 una revisión de las mismas tomando como base, de nuevo, el censo de población de 1991. Para corregir la subestimación del crecimiento de la esperanza de vida, se calcularon nuevos coeficientes de mejora de la mortalidad, para cada sexo y edad, como cocientes de las tasas de mortalidad de los años 1996 y 1995 (INE, 2001). Sin embargo, como se deduce de las cifras recogidas en las Figuras 10A y 10B, la revisión de 2001 no pudo corregir los defectos del estudio original, especialmente en la estimación de la tendencia de la población masculina. Así, por ejemplo, INE (2001) proyecta para los varones, en el año 2026, una longevidad media de 77,65 años, apenas año y medio superior a los 76,12 observados en 2001, y por debajo de los 77,7 que ya alcanzaban los japoneses en 2000. Algo más optimistas se muestran las estimaciones para la esperanza de vida femenina, que llega alcanzar los 85,5 años en 2026, superando en dos años y medio a la observación de 2001 (82,99 años) y en menos de medio año a la de Japón en 2002 (85,22).

 

Figura 10A: Proyección de la esperanza de vida femenina en España (INE).
Fuente: INE (2001), INE (2004) y elaboración propia.

 

Figura 10B: Proyección de la esperanza de vida masculina en España (INE).
Fuente: INE (2001), INE (2004) y elaboración propia.

 

Si bien es cierto que en la revisión de 2001 se vuelve a utilizar un pequeño grupo de observaciones para inferir el comportamiento de la esperanza de vida durante un largo periodo de tiempo, en este caso los datos corresponden a una etapa en la que no se produce ningún estancamiento evidente de las series analizadas. No obstante, las estimaciones desaceleran su crecimiento de una forma bastante importante. Ello es debido a la utilización de una hipótesis ad hoc que trata de reflejar la dinámica de la serie española evaluada al margen del contexto internacional y que consiste en “suponer que se van a producir nuevas mejoras en la mortalidad, pero con menor intensidad que en el periodo precedente” (INE, 2001). La inclusión de este supuesto en el análisis hace que las series de estimaciones elaboradas en 2001 se sitúen por debajo de las observaciones más recientes, de las estimaciones de nuestros modelos y, también, de las que el propio INE publica tres años más tarde.

Las proyecciones de población elaboradas a partir del Censo de 2001 (INE, 2004) hacen uso de los coeficientes de mejora de la mortalidad observados durante la década de los noventa. De este modo, extrapolando las tendencias de un periodo en el que la esperanza de vida aumenta a un ritmo rápido, en paralelo al máximo mundial, el INE consigue unas estimaciones que, a corto plazo, superan incluso a las que aquí se presentan, pero que desde 2011 en la población femenina y desde 2020 en la masculina vuelven a situarse por debajo de los valores generados por los modelos logísticos. La intuición de que “al depender el aumento futuro de la esperanza de vida sobre todo de la reducción de la incidencia de la mortalidad en edades más elevadas, el resultado esperable será un menor ritmo de mejora de la vida media” (Hernández, 2004) parece tener mayor peso que el hecho de estar errando proyección tras proyección al incorporar este supuesto de deceleración inducida en la reducción de la mortalidad. De cualquier modo, no hay que olvidar que los modelos logísticos propuestos en los apartados anteriores también incorporan este supuesto, aunque de forma implícita, permitiendo un ritmo de crecimiento de la esperanza de vida semejante al actual, con una desaceleración más lenta que en las proyecciones del INE. Es importante tener en cuenta que, por ejemplo, de evolucionar la esperanza de vida en el futuro a un ritmo semejante al actual, la proyección de una rápida desaceleración y de un estancamiento a partir de la década de los treinta, justo cuando la generación del baby boom se esté jubilando, puede conducir a un importante error en el número previsto de jubilados y, por tanto, en la elección de las medidas a adoptar para compensar este hecho.

Pese a este riesgo, ni el modo de proceder, ni la subestimación de la capacidad de mejora de la esperanza de vida son algo exclusivo del INE. Las proyecciones de Eurostat también adolecen de estos defectos. Así, por ejemplo, los datos estimados en el año 2000 pronto se vieron superados por los valores observados en la realidad, tanto para la población masculina como para la femenina. Ello, no sólo forzó su revisión al alza, como se puede apreciar en las Figuras 11A y 11B, sino que además llevó a la elaboración de proyecciones para tres escenarios alternativos según la mortalidad futura resultase alta, media o baja, configurando todo un rango de posibles valores en un intento por escapar de la limitada eficacia del escenario único.

De la comparación entre las distintas estimaciones de Eurostat y de los resultados obtenidos mediante los modelos logísticos cabe destacar dos aspectos que se verifican para las poblaciones de ambos sexos. El primero de ellos, como ya se ha comentado, es que los nuevos valores de esperanza de vida que ofrece Eurostat superan en todos los casos, incluso en su opción más modesta, a la estimación anterior, publicada pocos años antes. El segundo aspecto relevante es que sólo la serie correspondiente al escenario de mortalidad baja (esperanza de vida alta) se asemeja a la propuesta en este trabajo, y ello únicamente a medio plazo porque, a partir del año 2025 para la serie masculina y del 2020 para la femenina, las estimaciones más optimistas de Eurostat también se sitúan por debajo de las logísticas.

 

Figura 11A: Proyección de la esperanza de vida femenina en España (Eurostat).
Fuente: Eurostat y elaboración propia.
Nota: Los valores de Eurostat (2000) han sido extraídos de Comité de Política Económica (2000). Los de Eurostat (2006), del sitio web oficial de este organismo en la fecha señalada, que a su vez se corresponden con los de Comité de Política Económica (2005).

 

Figura 11B: Proyección de la esperanza de vida masculina en España (Eurostat).
Fuente: Eurostat y elaboración propia.

 

Según los modelos logísticos propuestos en este trabajo, en el año 2050 la esperanza de vida masculina en España alcanzará un valor de 85,38 años, superando en más de nueve al observado en el inicio del siglo XXI y en dos al femenino actual. La longevidad media de las mujeres llegará hasta los 91,97 años en 2050, lo que representa un incremento de nueve años respecto al valor observado en 2001. Estas cifras suponen que la esperanza de vida ha de aumentar aproximadamente en dos años por cada década transcurrida, a un ritmo semejante al que lo viene haciendo desde que en 1980 culminara la convergencia y algo inferior al que Oeppen y Vaupel (2002) detectan para las series de máximos mundiales durante el último siglo y medio (2,2 años por década para los hombres y 2,4 para las mujeres).

El hecho de que estas predicciones para el año 2050 superen en casi cinco años, la femenina, y en más de cuatro, la masculina, a las propuestas por INE (2004), y en tres y dos años respectivamente a las de Eurostat en su escenario más optimista, es debido a que en el límite las series aquí expuestas tienden a alcanzar un máximo próximo a los 110 años para la población femenina y a los 104 para la masculina. Estos valores se sitúan muy por encima de cualquiera de los límites propuestos hasta el momento por la literatura (Bourgeois-Pichat, 1952; Oeppen y Vaupel, 2002), lo que tal vez los haga parecer exagerados. Sin embargo, no hay que olvidar que se trata de longevidades a muy largo plazo y que, además, el resto de propuestas ha venido incurriendo de forma sistemática en graves subestimaciones que cada pocos años han tenido que corregirse. Lo que se está proponiendo es que dentro de 45 años la esperanza de vida puede llegar a situarse en torno a los 85 años para los hombres y a los 92 para las mujeres, valores factibles, ya que en 2001, con el 0,56% de la población por encima de esas cifras, el 15% de las muertes ya superaba esas edades.

Considerando un siglo y medio de experiencia internacional, sin olvidar las peculiaridades propias del caso español, resulta difícil pronosticar para los próximos años una reducción en el ritmo de crecimiento de la esperanza de vida, al menos, de la intensidad señalada por otros estudios. Cuando no existe ninguna evidencia biológica que cuestione la continuidad del avance a corto o medio plazo, ni nada que indique un estancamiento de los progresos médicos en próximas fechas, sino todo lo contrario, no es posible justificar unas mejoras tan nimias como las propuestas por el INE o por Eurostat, especialmente a partir de la tercera década del presente siglo.

En el futuro, disfrutando de una vida más saludable, de un trabajo con menores requerimientos físicos y de todos los avances científicos que aún están por llegar, es muy posible que resulte más sencillo de lo que ha sido para nuestros mayores sobrevivir hasta edades avanzadas. Con un mejor cuidado desde la infancia, se alcanzará la vejez en condiciones más favorables, y ello ayudará al control de las enfermedades crónicas y degenerativas propias de las últimas etapas de la vida. Los progresos en el diagnóstico y tratamiento de la hipertensión o del cáncer, por ejemplo, aún pueden reportar grandes beneficios a la salud y a la longevidad de la población anciana.

Por el momento, el ser humano apenas ha podido incrementar su longevidad mediante “intervenciones moleculares o alterando el código genético” (Manton et al., 1997). No obstante, ya se ha probado que la manipulación genética puede prolongar la vida de los nemátodos y de la levadura (Jazwinski, 1996), así como de la mosca del vinagre (Fridell et al., 2005). También se ha demostrado que una reducción de un 40% en la ingesta de calorías de los roedores eleva su longevidad hasta en un 50% al limitar la oxidación celular (Sohal y Weindruch, 1996; Miller, 1997). Es posible que algún día estos avances en la extensión de la vida de organismos sencillos puedan aplicarse a la especie humana (Roth et al., 1999). Aunque también es posible que esto último no sea más que ciencia ficción y que los nuevos progresos no lleguen a compensar el deterioro causado por la realización de trabajos más estresantes, la aparición de enfermedades nuevas o la degradación de las condiciones medioambientales. Desde luego, lo que parece necesario, cuanto menos, es contemplar la posibilidad de que la esperanza de vida llegue a describir una trayectoria similar a la indicada en este trabajo.

Conclusiones

Como se ha visto para el caso español, la evolución de la esperanza de vida de una población depende de lo que ocurre en los restantes países. Situando las series nacionales en el contexto internacional se advierte que sus trayectorias responden a un proceso de convergencia hacia las longevidades propias de las regiones líderes. Esto es debido a que los avances en la medicina, en la salud, en la alimentación y en las condiciones de vida son cada vez más homogéneos a nivel planetario. Si se ignora esta relación y se consideran únicamente los datos de la población objeto de estudio como si estuviese aislada del resto, se tiende a subestimar la capacidad de mejora de su esperanza de vida. Por ello, se hace necesario incorporar al análisis la información internacional.

El método aquí propuesto para proyectar la evolución de la esperanza de vida parte de las correspondientes series de máximos mundiales, a las que se ajustan sendos modelos logísticos que, finalmente, se adaptan a las peculiaridades de la población que se pretende estudiar. Con ello, se consigue que las trayectorias proyectadas sean consecuentes, no sólo con el pasado de esa población, sino también con la dinámica histórica de los líderes mundiales en esperanza de vida.

Los valores así obtenidos para el caso español (85,38 años para los hombres y 91,97 para las mujeres en 2050) superan ampliamente a los propuestos por el INE (81 y 87 años, respectivamente) o por Eurostat (83,1 y 89,2 en su escenario más favorable). Esto es debido a que, probablemente, las proyecciones de estos organismos estén subestimando de forma sistemática las posibilidades de crecimiento de la esperanza de vida, de manera especial a largo plazo, donde la longevidad media según sus previsiones apenas aumenta, algo que no encuentra justificación ni en la dinámica pasada de las series ni en la capacidad de adopción de costumbres más sanas o de mejora de la medicina que aún parece existir. La continua corrección al alza de las cifras de esperanza de vida que estos organismos utilizan en sus proyecciones refuerza esta intuición.

En consecuencia, para evitar que una posible subestimación del aumento de la longevidad media impida la correcta previsión de los acontecimientos futuros y la búsqueda de soluciones óptimas, se propone la elaboración de escenarios alternativos que tengan en cuenta las esperanzas de vida generadas por los modelos logísticos expuestos en este trabajo.

 

Notas

[*] Los autores desean agradecer las sugerencias realizadas por los evaluadores, que han contribuido a la mejora del trabajo.

[1] Se puede comprobar que, durante el siglo XX, para un grupo 14 poblaciones desarrolladas (Australia, Canadá, Dinamarca, España, Finlandia, Francia, Holanda, Inglaterra y Gales, Islandia, Italia, Noruega, Nueva Zelanda, Suecia y Suiza), existe una fuerte relación inversa entre los niveles de esperanza de vida a principios de siglo y sus tasas de crecimiento (convergencia β según la terminología propuesta por Barro y Sala-i-Martín (1995)). Además, para el mismo conjunto de datos, se produce una importante reducción de la dispersión de los niveles de esperanza de vida durante el periodo considerado (convergencia σ). Pese a ello, también es cierto que en fechas recientes en algunos países, sobre todo del este de Europa, se ha producido un estancamiento o incluso un retroceso en la esperanza de vida y, por tanto, una divergencia respecto al resto de poblaciones (Wilson, 2001). Según Puyol (2005), el aumento de la pobreza provocado por la disminución de los salarios, el deterioro de las condiciones de vida o los cambios introducidos en los sistemas de salud explican una parte importante de la pobre evolución que ha tenido la longevidad media en Europa Oriental durante las últimas décadas. Livi-Bacci (2002) sitúa como causa principal el deterioro y posterior colapso del sistema político.

[2] Las series de esperanza de vida que se han utilizado son las correspondientes a: Alemania Occidental (1956-2002), Alemania Oriental (1956-2002), Australia (1921-2003), Austria (1947-2002), Bélgica (1931-2002), Bulgaria (1947-2003), Canadá (1921-2002), República Checa (1950-2003), Dinamarca (1835-2004), Eslovaquia (1980-2003), España (1908-2002), Estados Unidos (1959-2002), Finlandia (1878-2002), Francia (1899-2002), Holanda (1850-2003), Hungría (1950-2001), Inglaterra y Gales (1841-2003), Italia (1872-2001), Japón (1950-2002), Letonia (1959-2003), Lituania (1959-2003), Noruega (1846-2002), Nueva Zelanda (1876-2003), Rusia (1959-2001), Suecia (1751-2003) y Suiza (1876-2003).

[3] Para el cálculo de la esperanza de vida en Nueva Zelanda, se considera únicamente la población no maorí, de la que se tiene información desde 1876. Para la población total, incluida la maorí, se dispone de datos únicamente a partir de 1948.

[4] El estudio de la bondad del ajuste en modelos no lineales mediante el coeficiente de determinación lineal, R2, puede ser erróneo, ya que, al no estar garantizada la descomposición de la varianza, este coeficiente podría tomar valores no comprendidos entre 0 y 1. Debido a ello, el empleo del error cuadrático medio resulta más adecuado.

 

Bibliografía

BAGNALL, Roger. Egypt in late antiquity. Princeton: Princeton University Press, 1993.

BARRO, Robert J. y Sala-i-Martín, Xabier. Economic growth. Nueva York: McGraw-Hill, 1995, cap. 11, pp. 382-413.

Becker, Gary S., GLAESER, Edward L. y MURPHY, Kevin. Population and economic growth. American Economic Review, 1999, vol. 89, núm. 2, pp. 145-149.

BOLTHO, Andrea. What’s wrong with Europe? New Left Review, 2003, núm. 22, pp. 5-26.

BONGAARTS, John. How long will we live? Policy Research Division Working Paper, Population Council, Nueva York, 2006, núm. 215.

BOULDING, Kenneth. The menace of Methuselah: Possible consequences of increased life expectancy. Journal of the Washington Academy of Sciences, 1965, vol. 55, núm. 7, pp. 171-179. Reimpreso en Population and Development Review, 2003, vol. 29, núm. 3, pp. 493-504.

BOURGEOIS-PICHAT, Jean. Essai sur la mortalité ‘biologique’ de l´homme. Population, 1952, vol. 7, núm. 3, pp. 381-394.

BRYANT, John, TEASDALE, Audrey, TOBIAS, Martin, CHEUNG, Jit y McHUGH, Mhairi. Population ageing and government health expenditures in New Zealand, 1951-2051. New Zealand Treasury Working Paper, 2004, núm. 04/14.   <http://www.treasury.govt.nz/workingpapers/2004/twp04-14.pdf>

BULATAO, Rodolfo, BOS, Eduard, STEPHENS, Patience W. y VU, My. Projecting mortality for all countries. Policy, Planning, and Research Working Papers, 1989, núm. 337, World Bank, Washington D.C.

CARRERAS, Albert. Estadísticas históricas de España: siglos XIX-XX. Madrid: Fundación Banco Exterior, 1989.

CARRERAS, Albert y TAFUNELL, Xavier. Historia económica de la España contemporánea. Barcelona: Crítica, 2003.

COMITÉ DE POLÍTICA ECONÓMICA. Progress report to the Ecofin Council on the impact of ageing populations on public pension systems. EPC/ECFIN/581/00-EN-Rev.1, Bruselas, 6 de noviembre de 2000.

COMITÉ DE POLÍTICA ECONÓMICA. European economy. The 2005 EPC projections of age-related expenditure (2004-2050) for the EU-25 member states: underlying assumptions and projection methodologies. European Commission, Directorate-General for Economic and Financial Affairs, Special Report No 4/2005, ECFIN/CEFCPE(2005)REP/55087, Bruselas, 8 de noviembre de 2005.

COUNTER, Christopher. The roles of telomeres and telomerase in cell life span. Mutation Research, 1996, vol. 366, núm. 1, pp. 45-63.

CUTLER, David y MEARA, Ellen. Changes in the age distribution of mortality over the twentieth century. En WISE, David A. (ed.): Perspectives on the economics of aging. Chicago: University of Chicago Press, 2004, cap. 9, pp. 333-365.

DUBLIN, Louis I. Health and Wealth. A survey of the economics of world health. Nueva York: Harper & Brothers, 1928.

DUBLIN, Louis I. y LOTKA, Alfred J. Length of life. A study of the life table. Nueva York: The Ronald Press Company, 1936.

FREJKA, Tomas. Long-term prospects for world population growth. Population and Development Review, 1981, vol. 7, núm. 3, pp. 489-511.

FRIDELL, Yih-Woei C., SÁNCHEZ-BLANCO, Adolfo, SILVIA, Brian A. y HELFAND, Stephen L. Targeted expression of the human uncoupling protein 2 (hUCP2) to adult neurons extends life span in the fly. Cell Metabolism, 2005, vol. 1, núm. 2, pp. 145-152.

FRIES, James F. Aging, natural death, and the compression of morbidity. New England Journal of Medicine, 1980, vol. 303, núm. 3, pp. 130-135.

GERLAND, Patrick. From divergence to convergence in sex differentials in adult mortality in developed countries. XXV Conferencia Internacional de Población, Tours, Francia, 18 a 23 de julio de 2005.

GIL, Enrique. El «poder gris». Consecuencias culturales y políticas del envejecimiento de la población. Información Comercial Española, 2004, núm. 815, pp. 219-230.

GJONÇA, Arjan, TOMASSINI, Cecilia y VAUPEL, James W. Male-female differences in mortality in the developed world. MPIDR Working Paper, 1999, núm. 1999-009.

GOERLICH, Francisco José y PINILLA, Rafael. Esperanza de vida en España a lo largo del siglo XX: las tablas de mortalidad del Instituto Nacional de Estadística. Documentos de Trabajo (Fundación BBVA), 2006, núm. 11.

GÓMEZ REDONDO, Rosa. La mortalidad en España durante la segunda mitad del siglo XX: evolución y cambios. Papeles de Economía Española, 2005, núm. 104, pp. 37-56.

HAYFLICK, Leonard. The limited in vitro lifetime of human diploid cell strains. Experimental Cell Research, 1965, vol. 37, pp. 614-636.

HAYFLICK, Leonard. How and why we age. Nueva York: Ballantine Books, 1994.

HAYFLICK, Leonard. The future of ageing. Nature, 2000, vol. 408, pp. 267-269.

HAYFLICK, Leonard y MOORHEAD, Paul S. The serial cultivation of human diploid cell strains. Experimental Cell Research, 1961, vol. 25, pp. 585-621.

HERNÁNDEZ, Juan Antonio. Evolución futura de la población. En ARROYO, Andrés (coord.): Tendencias demográficas durante el siglo XX en España. Madrid: INE, 2004, pp. 255-294.

INE. Proyección de la población española para el periodo 1978-1995. Madrid: INE, 1981.

INE. Proyecciones de población 1980-2010. Resultados del conjunto nacional. Madrid: INE, 1987.

INE. Proyecciones de la población de España calculadas a partir del Censo de Población de 1991. Madrid: INE, 1995.

INE. Proyecciones de la población de España calculadas a partir del Censo de Población de 1991. Evaluación y revisión. Madrid: INE, 2001.

INE. Proyecciones de la población de España calculadas a partir del Censo de 2001. Notas de Prensa, 19 de agosto de 2004.   <http://www.ine.es/prensa/np341.pdf>

JAZWINSKI, S. Michal. Longevity, genes, and aging. Science, 1996, vol. 273, núm. 5271, pp. 54-49.

KINSELLA, Kevin y GIST, Yvonne. Gender and aging. Mortality and health. US Census Bureau, 1998, International Brief 98-2.

LEE, Ronald D. Mortality forecasts and linear life expectancy trends. Center for the Economics and Demography of Aging, 2003, paper 2003-0003CL.     <http://repositories.cdlib.org/iber/ceda/papers/2003-0003CL/>

LIVI-BACCI, Máximo. Historia mínima de la población mundial. Barcelona: Ariel, 2002.

MANTON, Kenneth G., STALLARD, Eric y CORDER, Larry. The limits of longevity and their implications for health and mortality in developed countries. Symposium on Health and Mortality, Bruselas, Bélgica, 19-22 de noviembre de 1997.

MESLÉ, France. Espérance de vie: un avantage féminin menacé? Population et Sociétés, 2004, núm. 402.

MILLER, Richard A. When will the biology of aging become useful? Future landmarks in biomedical gerontology. Journal of the American Geriatrics Society, 1997, vol. 45, núm. 10, pp. 1258-1267.

MONTAGU, Ashley. The natural superiority of women. Walnut Creek: AltaMira Press, 1999.

MUÑOZ PRADAS, Francisco. Rectangularización y evolución de la mortalidad en la población española del siglo XX. Sistema, 2003, núm. 175-176, pp. 141-160.

NAREDO, José Manuel. Perspectivas de la vivienda. Información Comercial Española, 2004, núm. 815, pp. 143-154.

OEPPEN, Jim y VAUPEL, James W. Broken limits to life expectancy. Science, 2002, vol. 296, núm. 5570, pp. 1029-1031.

OLIVERA, Ana. La demografía y el futuro de la educación. Papeles de Economía Española, 2005, núm. 104, pp. 302-315.

OLSHANSKY, S. Jay y AULT, A. Brian. The fourth stage of epidemiologic transition: The age of delayed degenerative diseases. The Milbank Memorial Fund Quarterly, 1986, vol. 64, núm. 3, pp. 355-391.

OLSHANSKY, S. Jay, CARNES, Bruce A. y CASSEL, Christine. In search of Methuselah: estimating the upper limits to human longevity. Science, 1990, vol. 250, núm. 4981, pp. 634-640.

OLSHANSKY, S. Jay, CARNES, Bruce A. y DÉSESQUELLES, Aline. Prospects for human longevity. Science, 2001, vol. 291, núm. 5508, pp. 1491-1492.

OMRAN, Abdel R. The epidemiologic transition. The Milbank Memorial Fund Quarterly, 1971, vol. 49, núm. 4, pp. 509-538.

OVERBEEK, Johannes. Historia de las teorías demográficas. México: Fondo de Cultura Económica, 1984.

PUJOLAR, David y RAYMOND, José L. Estructura del gasto y perfiles de edad en la economía española. Papeles de Economía Española, 2005, núm. 104, pp. 270-283.

PUYOL, Rafael. La población española en el marco de la Unión Europea. Papeles de Economía Española, 2005, núm. 104, pp. 2-16.

ROTH, George S., INGRAM, Donald K. y LANE, Mark A. Calorie restriction in primates. Will it work and how will we know? Journal of the American Geriatrics Society, 1999, vol. 47, núm. 7, pp. 896-903.

SOHAL, Rajindar S. y WEINDRUCH, Richard. Oxidative stress, caloric restriction, and aging. Science, 1996, vol. 273, núm. 5271, pp. 59-63.

TROVATO, Frank y LALU, N.M. Narrowing sex differentials in life expectancy in the industrialized world: early 1970’s to early 1990’s. Social Biology, 1996, vol. 43, núm. 1-2, pp. 20-37.

TULJAPURKAR, Shripad, LI, Nan y BOE, Carl. A universal pattern of mortality decline in the G7 countries. Nature, 2000, vol. 405, pp. 789-792.

VALLIN, Jacques. La demografía. Madrid: Alianza, 1995.

VINUESA, Julio. Dinámica demográfica, mercado de vivienda y territorio. Papeles de Economía Española, 2005, núm. 104, pp. 253-269.

WHELPTON, Pascal K., ELDRIDGE, Hope T. y SIEGEL, Jacob S. Forecasts of the population of the United States 1945-1975. Washington D.C.: U.S. Bureau of the Census, 1947.

WHITE, Kevin M. Longevity advances in high-income countries, 1955-96. Population and Development Review, 2002, vol. 28, núm. 1, pp. 59-76.

WILSON, Chris. On the scale of global demographic convergence 1950-2000, Population and Development Review, 2001, vol. 27, núm. 1, pp. 155-171.

ZAMORA, Francisco. Proyecciones demográficas. En VINUESA, Julio (ed.): Demografía: análisis y proyecciones. Madrid: Sintesis, 1994, cap. 8, pp. 237-358.

 

© Copyright Marta Guijarro y Óscar Peláez, 2008.
© Copyright Scripta Nova, 2008.

Ficha bibliográfica:
GUIJARRO, M. y PELÁEZ, O. de. La longevidad globalizada: un análisis de la esperanza de vida en España (1900-2050). Scripta Nova. Revista Electrónica de Geografía y Ciencias sociales. Barcelona: Universidad de Barcelona, 1 de marzo de 2008, vol. XII, núm. 260 <http://www.ub.es/geocrit/sn/sn-260.htm>. [ISSN: 1138-9788].

Índice de Scripta Nova Menú principal