Menú principal

Índice de Scripta Nova

Scripta Nova
REVISTA ELECTRÓNICA DE GEOGRAFÍA Y CIENCIAS SOCIALES
Universidad de Barcelona. ISSN: 1138-9788. Depósito Legal: B. 21.741-98
Vol. XVI, núm. 405, 20 de junio de 2012
[Nueva serie de Geo Crítica. Cuadernos Críticos de Geografía Humana]

 

DISTRIBUCIÓN ESPACIAL Y DESIGUALDAD DE LA RENTA SALARIAL EN EL ÁREA METROPOLITANA DE BARCELONA

Rafa Madariaga
Grupo de Investigación Distribució Espacial de la Població, l’Activitat i la Renda (DEPAR)
Dept. d’Economia i Empresa – Universitat de Vic
rafa.madariaga@uvic.cat

Joan Carles Martori
Grupo de Investigación Distribució Espacial de la Població, l’Activitat i la Renda (DEPAR)
Dept. d’Economia i Empresa – Universitat de Vic
martori@uvic.cat

Ramon Oller
Grupo de Investigación Distribució Espacial de la Població, l’Activitat i la Renda (DEPAR)
Dept. d’Economia i Empresa – Universitat de Vic
ramon.oller@uvic.cat

Recibido: 12 de enero de 2011. Devuelto para revisión: 8 de noviembre de 2011. Aceptado: 12 de diciembre de 2011.

Distribución espacial y desigualdad de la renta salarial en el Área Metropolitana de Barcelona (Resumen)

Las diferencias geográficas en los niveles de ingresos son importantes para elaborar e implementar políticas en las ciudades. Con el objetivo de estimar el nivel de ingresos y analizar su distribución espacial se presenta un método alternativo e innovador que enlaza estimaciones de salarios provenientes de la Encuesta de Estructura Salarial (EES) con datos del padrón de habitantes (1996) y del Censo (2001) desagregados por secciones censales. Los resultados tienen un nivel de detalle espacial significativamente mejor que los disponibles. Se obtiene el valor de la Renta Salarial Media para cada una de las 2500 secciones censales de los 36 municipios pertenecientes a la AMB y para dos periodos. La Renta Salarial presenta una elevada autocorrelación espacial positiva; zonas con niveles similares se concentran espacialmente. La desigualdad en el AMB ha aumentado en el periodo analizado. Este aumento se debe principalmente al componente intra-municipal, es decir, las diferencias en el interior de cada municipio.

Palabras clave: distribución espacial de salarios, autocorrelación espacial, índices de desigualdad.

Spatial distribution and inequality of wage income in the Barcelona Metropolitan Area (Abstract)

Geographical differences among income levels are important for policy in cities. An innovative and alternative approach to estimate the income levels and analyse their distribution is presented. The wage income is obtained matching wage estimations from the Wage Structure Survey (WSS) with data from Census (1996-2001) broken down by census tract. The spatial resolution improves significantly existing data. Average wage income for each one of the 2500 census tracts of the 36 municipalities pertaining to the BMA for two periods is obtained. Average wage income shows high positive spatial autocorrelation; zones with similar levels tend to be spatially concentrated. Inequality has increased in this period. Intra-municipality component, differences inside municipalities, is the main cause of this growth.

Key words: spatial distribution of wages, spatial autocorrelation, inequality indices.


La información sobre la distribución de los ingresos económicos y, en general, del bienestar entre las zonas o barrios de las ciudades es importante para la planificación y la gestión de las políticas públicas. Es determinante para decidir la localización de escuelas, institutos, hospitales, centros de atención primaria y otros servicios sociales. Asimismo, es útil para la actividad privada, especialmente para la localización de las empresas comerciales y de servicios. Aunque el Área Metropolitana de Barcelona (AMB) se considera una conurbación con un nivel de ingreso medio elevado, la distribución es poco uniforme. Coexisten, obviamente, zonas con elevadas diferencias en los ingresos.

A pesar del interés de esa información, existen importantes problemas metodológicos y estadísticos para la creación u obtención en España de datos para diferentes niveles espaciales (municipios, distritos, barrios). En otros países desarrollados, este tipo de datos son elaborados por las oficinas oficiales de estadística. En Cataluña, la estimación de la renta o de otros conceptos relativos a los ingresos de la población para diferentes niveles espaciales tiene una cierta tradición y existen diversas aproximaciones desde el estudio pionero de Muns (1971)[1]. En la comunidad de Madrid, el instituto de estadística proporciona datos a nivel inframunicipal elaborados a partir de las declaraciones del IRPF[2].

El primer objetivo de este artículo es presentar una nueva aproximación para medir los ingresos económicos en zonas pequeñas utilizando una metodología inédita y considerando una unidad espacial -la sección censal-, mucho más reducida y por tanto detallada que la considerada en los estudios existentes[3]. El indicador de Renta Salarial por secciones censales se obtiene enlazando datos de las Encuestas de Estructura Salarial de 1995 y 2002 (EES95 y EES02) con datos del Padrón de habitantes (1996) y del Censo (2001)[4]. La renta salarial estimada para las más de 2500 secciones censales que constituyen la AMB, permiten obtener una panorámica complementaria sobre la distribución de las condiciones económicas. El segundo objetivo del artículo es analizar la distribución espacial de la renta salarial, centrando la atención en el fenómeno de la autocorrelación espacial. Para ello se utilizan los estadísticos I de Moran y su versión local (LISA). Por último, se mide la desigualdad espacial y su evolución entre los dos periodos considerados. Además, el índice de desigualdad utilizado permite descomponer la desigualdad total existente en un componente “Inter-municipal” -diferencias entre los 36 municipios que componen el AMB- y otro “intra-municipal” -diferencias localizadas en el interior de cada uno de los municipios-.

El artículo está organizado del siguiente modo: en el próximo apartado se exponen, desde un punto de vista general, las variables utilizadas para medir la actividad del sistema económico. Por otro lado se revisan los estudios disponibles en Cataluña, atendiendo a las variables utilizadas para medir el bienestar económico y los métodos utilizados, lo que permite valorar la aportación presentada. El tercero expone la metodología utilizada para la creación de la base de datos. El cuarto presenta y describe los resultados obtenidos. En el quinto se analiza la distribución espacial de la variable estimada, analizando y cuantificando la autocorrelación espacial. El sexto presenta los índices de desigualdad obtenidos, sus valores municipales y su evolución. El último, presenta las principales conclusiones.


La estimación de macromagnitudes para áreas pequeñas en Cataluña

La contabilidad nacional es el conjunto de conceptos, definiciones operativas y  técnicas que se utilizan para medir la actividad del sistema económico. Para hacer comparables los datos correspondientes a diferentes países, existe un conjunto de normas comunes para los países europeos, el llamado Sistema Europeo de Cuentas nacionales y regionales, SEC-95. Es un sistema de representación que permite obtener una descripción cuantitativa y simplificada de la actividad económica y su desagregación regional. Esta desagregación regional es la base habitual para las estimaciones de ingresos para niveles espaciales más desagregados.

Existen diversas macromagnitudes para aproximar el bienestar económico de los individuos. En función de los objetivos propuestos y de la disponibilidad de información pueden utilizarse unas u otras. La macromagnitud más habitual para cuantificar la actividad del sistema es el Producto Interior Bruto, pero cuando el objetivo es medir directamente los ingresos de que disponen los residentes de un territorio para destinarlos al consumo y al ahorro, la variable adecuada es la Renta Familiar Disponible. La Renta Familiar Disponible incluye los ingresos de las familias que están vinculados a las retribuciones obtenidas por su participación en el sistema económico y considera la influencia de la política redistributiva del estado por medio de los impuestos, las cotizaciones sociales y las prestaciones. El primer componente, incluye la Remuneración de los asalariados, el conjunto de salarios recibidos por los residentes, el Excedente bruto de explotación, que son los beneficios empresariales distribuidos por las empresas y los generados por las actividades profesionales y las rentas de la propiedad. En cuanto a la influencia del estado, se consideran las prestaciones, es decir, transferencias de las administraciones públicas a los hogares, como pensiones, prestaciones por desempleo o invalidez, las cotizaciones sociales que pagan las empresas o los trabajadores y los impuestos, sean sobre la renta de las personas físicas, de las sociedades o del patrimonio. La relación contable es la siguiente:

+Remuneración de Asalariados
+Excedente Bruto de Explotación
+Prestaciones sociales
-Cotizaciones sociales
-Impuestos
= Renta Familiar Disponible.

La estimación de macromagnitudes para áreas pequeñas requiere crear datos donde no los hay: inferir los valores de las macromagnitudes para áreas reducidas partiendo de datos conocidos para áreas mayores. En España, el INE elabora las macromagnitudes agregadas y para las comunidades autónomas siguiendo las normas del SEC 95. Los datos regionales del INE son la base de las estimaciones del bienestar económico para áreas más reducidas.

En principio existen tres métodos para la estimación. El primero y más sencillo, consistiría en llevar a cabo un recuento. Es decir, recoger de manera sistemática todas las transacciones que se producen en el interior del área considerada y de ésta con el exterior para aproximar el nivel de bienestar de los residentes. Independientemente del coste de una operación como esta, la principal dificultad sería la de controlar todas las diversas relaciones con el resto del mundo. El segundo método se denomina predicción o extrapolación espacial y utiliza métodos de inferencia ecológica. Se trata de estimar un modelo econométrico donde la macromagnitud objeto de estudio se relaciona con variables independientes y conocidas, tanto a nivel espacial agregado como para las unidades espaciales pequeñas. El modelo proporciona unos coeficientes estimados que relacionan las variables independientes con la macromagnitud. Suponiendo que las relaciones estimadas para el área grande se mantienen para las áreas pequeñas, se utilizan las variables del área pequeña y  los coeficientes estimados para obtener una predicción[5]. El tercer método es el método contable. El método contable requiere la utilización de muchas fuentes de información complementarias que permitan obtener conceptos contables específicos. Las reglas de cálculo contable permiten operar con estos conceptos para obtener las macromagnitudes. La principal ventaja de este método es que proporcionan un conjunto de resultados articulados y que los resultados de las áreas pequeñas son coherentes con la información disponible para las áreas mayores.

El Institut d’Estadística de Catalunya (IDESCAT) publica periódicamente una estimación de la Renta Familiar Disponible y sus componentes para las 41 comarcas de Cataluña, los municipios de más de 5000 habitantes y las capitales comarcales. Es una estimación basada en el método contable y utiliza datos de las declaraciones de impuestos, (IRPF, Sociedades, Patrimonio), del Impuesto de Actividades Económicas (IAE), de la población asalariada residente obtenidos de la Encuesta de Población Activa, de los registros de afiliados a la Seguridad Social y de los sectores económicos de la Contabilidad Regional de España. Proporciona datos articulados y coherentes con las macromagnitudes agregadas para Cataluña.

El Anuari Econòmic Comarcal[6], elaborado por CatalunyaCaixa en colaboración con un equipo de investigación de la Universidad Autónoma de Barcelona, publica desde 1994 una estimación del PIB comarcal. El procedimiento utilizado parte de la estimación de la estructura comarcal y sectorial del empleo total de Cataluña para un determinado año base y estima productividades aparentes del trabajo para los sectores de actividad considerados. Suponiendo constantes las productividades aparentes y considerando la evolución del empleo, se obtienen estimaciones de la evolución anual del PIB Comarcal. Debe señalarse también que los datos desagregados son coherentes con las variables para el conjunto de Cataluña. Desde el año 2000, se ha introducido una novedad considerable; gracias a las mejoras en la información estadística se han considerado las diferencias en las productividades aparentes según el tamaño de las empresas. Para ello, se han separado cuatro tramos del tamaño de las empresas, estimando para cada uno de ellos productividades específicas.

El Ayuntamiento de Barcelona ha publicado desde 2007 los resultados de un indicador de Renta Familiar disponible desagregado para los 10 distritos de la ciudad, para 38 Zones de recerca grans y 248 Zones de recerca petites[7]. La variable inicial considerada es la Renta Familiar Disponible publicada por el IDESCAT para la ciudad de Barcelona. El estudio aplica una técnica de inferencia espacial, teniendo en cuenta variables relacionadas con las características de la población (tasa de titulados universitarios, tasa de paro), los precios de la vivienda y las compras de automóviles. Considerando los parámetros estimados para el conjunto del municipio y los datos referidos a cada una de las áreas pequeñas, se obtiene una estimación desagregada para las unidades espaciales menores.

Para situar los resultados que presentamos en este trabajo en el contexto de los estudios existentes, deben considerarse dos cuestiones:


La creación de la base de datos

Esta investigación utiliza por vez primera un nuevo método para la estimación de los ingresos salariales a nivel de sección censal. Las secciones censales son las unidades administrativas y espaciales utilizadas para la organización de las elecciones y reguladas por ley. En cada proceso electoral, la Oficina del Censo Electoral determina el número y los límites de las secciones censales de cada municipio. Los límites establecidos por la ley son un mínimo de 500 y un máximo de 2000 votantes. Ni el Padrón de habitantes de 1996 ni el Censo de 2001 proporcionan información sobre ingresos económicos de los residentes, de modo que la estimación debe utilizar otras fuentes. Pero proporciona el número de ocupados clasificados según la actividad económica y la profesión desempeñada[8],[9]. Para cada una de las secciones censales, y para los dos periodos (1996 y 2001), disponemos de la variable , que proporciona el número de ocupados separado en 9 sectores de actividad económica (r = 1,…9) y 8 ocupaciones (s = 1,…8).

Para cada una de las celdas sector-ocupación, disponemos de una estimación del salario medio correspondiente, obtenida a partir de dos submuestras para Cataluña de las EES95 y EES02. Ambas son grandes: 12.833 individuos en 1995 y 19.872 en 2002. Proporcionan información sobre características individuales de los trabajadores (sexo, formación, ocupación, años de experiencia, antigüedad en la empresa y otras) y de las empresas (tamaño, sector de actividad, mercado, propiedad). Incluye datos de los asalariados a tiempo completo y con contrato indefinido que han trabajado todo el año. De este modo se tiene en cuenta únicamente la parte más estable de la fuerza de trabajo. Se ha calculado el salario medio anual separado para cada una de los sectores económicos y ocupaciones, . La variable utilizada es el salario base anual medio, excluyendo cualquier tipo de remuneración extraordinaria. Excluye también las retenciones del IRPF y las contribuciones a la Seguridad Social a cargo de los trabajadores. Dado que la liquidación del IRPF depende de características personales de las que no tenemos información, el salario debe considerarse antes de impuestos. Los datos están expresados en Euros de 2002; los salarios de 1995 han sido actualizados mediante la evolución del Índice de Precios al Consumo entre Octubre de 1995 y el mismo mes de 2002.

La base de datos se ha obtenido asignando a cada individuo de cada sección censal, dependiendo del sector económico y la ocupación, el salario medio obtenido con las submuestras de la EES. De este modo, la Renta Salarial Total para la i-ésima sección censal se obtiene como:

La Renta Salarial Total de cada sección censal puede ponderarse por el total de individuos de la sección censal, obteniendo la Renta Salarial Media per cápita, por el número de familias, obteniéndose la Renta Salarial media por familia, o por el número de ocupados, obteniéndose la Renta Salarial media por ocupado. En este caso, se ha ponderado por el número de ocupados para los que se dispone de información. El número de ocupados para el que disponemos de información salarial es aproximadamente el 75% del total de ocupados. De este modo, la variable utilizada a lo largo de todo el estudio es:

El procedimiento tiene algunas implicaciones destacables, que deben considerarse en comparación a las estimaciones ya existentes:


Análisis descriptivo

El Área Metropolitana de Barcelona se localiza en la costa central catalana e incluye la conurbación que rodea el término municipal de la capital. Desde un punto de vista geográfico incluye tres zonas diferentes. La primera es el término municipal de Barcelona. La segunda es la zona limítrofe que conforma un espacio urbano continuo. Aquí se encuentran algunos de los municipios más poblados, como L’Hospitalet de Llobregat, Badalona, Santa Coloma de Gramenet, Cornellà de Llobregat o Esplugues de Llobregat. Las fronteras entre los municipios son calles, avenidas o simplemente los cauces de los ríos Llobregat y Besós. La tercera zona, más alejada del centro, está dominada por una mezcla de áreas residenciales, polígonos industriales y zonas forestales o de uso agrícola. Como ejemplo de las primeras, destacan los municipios de Sant Cugat del Vallés, Begues o Tiana. En general, esta tercera zona es más heterogénea en cuanto a las características socioeconómicas y de usos del suelo.

La AMB incluye 36 municipios y un total de 2531 secciones censales en 2001 y 35 municipios[10] con 2598 secciones en 1996. Agrupa municipios con un número de habitantes muy diferente. Los seis municipios más poblados (Barcelona, Badalona, L’Hospitalet de Llobregat, Santa Coloma de Gramenet, Cornellà de Llobregat y Sant Boi de Llobregat) sumaban, en 2001 el 76% de la población total del AMB. El tamaño de las secciones censales en España se sitúa en un terreno intermedio a los distritos y los blocks utilizados en otros países. El número de secciones censales por municipio varía, en 2001, entre las 1491 de Barcelona y sólo una en municipios como La Palma de Cervelló.

El área total es de 633 km2, lo que supone aproximadamente el 2% de toda Cataluña. La población total era de 2,9 millones, un 47% del total. Estas cifras dan una idea del nivel de concentración de la población catalana y de la importante densidad de población del área. Es una de las regiones industriales más importantes de la Unión Europea, concretamente la quinta región metropolitana por empleo industrial. El aumento de la densidad de población durante la segunda mitad del siglo pasado ha sido atípico en relación a otras áreas metropolitanas de Europa Occidental. Además, desde 1987, no existe ninguna forma institucionalizada de planificación para toda la zona; sólo los municipios han tenido sus propias autoridades planificadoras, sin coordinación entre ellos. Esta falta de planificación general ha tenido efectos importantes sobre la distribución de la población y de las actividades económicas en el territorio. La estructura urbana es irregular y la población está altamente concentrada en áreas reducidas o distribuida en áreas periféricas.

La figura 1 presenta el mapa de la AMB y la localización de los municipios. El cuadro 1 presenta los datos descriptivos básicos del AMB.

 

nomsmunicipis

Figura 1. Mapa del AMB.

1. Badalona 2.Badia del Valles 3.Barberà del Vallès 4.Barcelona 5.Begues 6. Castellbisbal 7.Castelldefels 8.Cerdanyola del Vallès 9.Cervelló 10.Corbera de Llobregat 11.Cornellà de Llobregat 12.El Papiol 13.El Prat de Llobregat 14.Esplugues de Llobregat 15.Gavà 16.L’L’Hospitalet de Llobregat 17.La Palma de Cervelló 18.Molins de Rei 19. Montcada i Reixac 20.Montgat 21.Pallejà 22.Ripollet 23.Sant Adrià de Besòs 24.Sant Andreu de la Barca 25.Sant Boi de Llobregat 26.Sant Climent de Llobregat 27.Sant Cugat del Vallès 28.Sant Feliu de Llobregat 29.Sant Joan Despí 30.Sant Just Desvern 31.Sant Vicenç dels Horts 32.Santa Coloma de Cervelló 33.Santa Coloma de Gramenet 34.Tiana 35.Torrelles de Llobregat 36.Viladecans.

 

Cuadro 1.
Datos Básicos AMB.

 

1995/96

2001/02

Municipios

35

36

Secciones Censales

2 596

2 531

Población

2 919 610

2 917 858

Ocupados

1 026 383

1 286 691

Asalariados/Ocupados

82.82%

85.26%

Fuente: Elaboración propia. Padrón municipal de habitantes 1996, Censo de Población y Vivienda 2001, EES 1995 y 2002.

 

En el periodo considerado, la población de Cataluña ha crecido. Sin embargo, las limitaciones geográficas y del mercado de la vivienda han inducido un incremento de población localizado en los municipios del perímetro exterior del AMB. El resultado ha sido una reducción, pequeña (0,006%), de la población del AMB. El número de ocupados ha aumentado (25%) en buena parte debido a la incorporación al mercado laboral de cohortes jóvenes muy numerosas y al aumento de la tasa de actividad de las mujeres. Esta evolución divergente de la población y de la ocupación ha agravado los problemas de movilidad del área.

 

Cuadro 2.
Descripción de la Renta Salarial media por ocupado y sección censal.

 

1995/96

2001/02

Media

22 291.6

20 300.7

Desviación típica

2995.1

3336.6

Mínimo

15055.4

14387.7

Máximo

32793.3

33502.2

Percentil 25

19919.0

17787.4

Percentil 50

21602.5

19482.6

Percentil 75

24026.1

21995.0

Fuente: Elaboración propia. Padrón municipal de habitantes 1996, Censo de Población y Vivienda 2001, EES 1995 y 2002.

 

El cuadro 2 presenta los descriptivos de la variable utilizada. Puede apreciarse en primer lugar una reducción de la media (8,9%) y un aumento de la variabilidad medida mediante la desviación típica (11,4%). En segundo lugar, ha aumentado el rango, debido tanto a la reducción del mínimo como al aumento del máximo. Por último, puede apreciarse una reducción del valor de los tres percentiles presentados. Una manera alternativa de apreciar los cambios entre ambos periodos lo constituyen las funciones de densidad.

 

Figura 2. Funciones de densidad de la Renta Salarial por ocupado.

 

La figura 2 presenta las funciones de densidad de la distribución de la Renta Salarial por ocupado correspondientes a ambos periodos. Puede apreciarse un desplazamiento hacia la izquierda en 2002. También puede apreciarse una mayor asimetría en su cola superior. Para entender esta evolución debe considerarse el método para la obtención de la variable. La Renta Salarial por sección censal depende por un lado, de la evolución de los salarios reales, que muestran, en términos reales, una reducción entre ambos periodos. Esta evolución de los salarios reales se ha constatado también en otros países (Comisión Europea, 2007)[11] y su análisis está relacionado con la creciente literatura sobre la desigualdad salarial[12]. El segundo determinante es la composición de ocupados (según  la ocupación y la industria) de las secciones censales. Si el proceso de suburbanización ha desplazado hacia localizaciones externas al AMB ocupados pertenecientes a ocupaciones y sectores con mayor renta salarial hay un segundo efecto que tiende a reducir la Renta Salarial.

El cuadro 3 presenta las estimaciones de la Renta Salarial por ocupado para todos los municipios y los dos periodos ordenados en sentido descendente e incluye también la media ponderada del AMB. La figura 3 presenta el mapa de los resultados para los municipios (parte superior), agrupados en 4 tramos y para las secciones censales (parte inferior) agrupados en 6 tramos.

 

Cuadro 3.
Renta Salarial por ocupado.

 

Municipio

RSAL 1995/96

Municipio

RSAL 2001/02

1

Sant Cugat del Vallès

26.446,52

Sant Cugat del Vallès

26.490,00

2

Sant Just Desvern

26.353,05

Sant Just Desvern

25.105,10

3

Tiana

26.212,88

Tiana

25.009,39

4

Begues

25.150,88

Begues

24.368,41

5

Corbera de Llobregat

24.676,16

Corbera de Llobregat

22.531,32

6

Torrelles de Llobregat

24.229,80

La Palma de Cervelló

22.296,14

7

Cervelló

23.910,57

Torrelles de Llobregat

22.009,52

8

Barcelona

23.827,16

Cervelló

21.706,05

9

Castelldefels

23.535,76

Castelldefels

21.700,06

10

Montgat

23.073,41

Barcelona

21.653,69

11

El Papiol

22.487,99

Santa Coloma de Cervelló

20.987,94

12

Pallejà

22.398,77

El Papiol

20.981,24

13

AMB

22.291,60

Montgat

20.822,07

14

Molins de Rei

22.220,68

Esplugues de Llobregat

20.525,46

15

Cerdanyola del Vallès

22.144,34

Sant Joan Despí

20.444,28

16

Esplugues de Llobregat

22.103,36

Pallejà

20.411,23

17

Santa Coloma de Cervelló

22.088,88

AMB

20.300,70

18

Sant Joan Despí

21.556,22

Cerdanyola del Vallès

20.277,38

19

Castellbisbal

21.302,41

Molins de Rei

20.274,46

20

Gavà

21.262,73

Sant Climent de Llobregat

20.244,07

21

Sant Climent de Llobregat

21.172,69

Sant Feliu de Llobregat

19.592,30

22

Sant Feliu de Llobregat

20.947,31

Castellbisbal

19.454,68

23

Montcada i Reixac

20.918,98

Barberà del Vallès

19.330,23

24

Barberà del Vallès

20.436,29

Gavà

19.303,94

25

Sant Andreu de la Barca

20.388,68

Montcada i Reixac

18.683,69

26

Badalona

20.344,86

Ripollet

18.477,68

27

L’Hospitalet de Llobregat

20.235,91

Cornellà de Llobregat

18.415,98

28

Cornellà de Llobregat

20.209,23

Sant Vicenç dels Horts

18.323,35

29

Sant Vicenç dels Horts

20.204,23

Sant Boi de Llobregat

18.275,25

30

Sant Boi de Llobregat

20.160,41

Viladecans

18.223,02

31

Ripollet

19.972,13

Sant Andreu de la Barca

18.209,54

32

El Prat de Llobregat

19.884,30

Badalona

18.174,32

33

Sant Adrià de Besòs

19.736,02

L’Hospitalet de Llobregat

17.958,62

34

Viladecans

19.722,24

El Prat de Llobregat

17.765,38

35

Santa Coloma de G.

19.478,18

Sant Adrià de Besòs

17.643,74

36

Badia del Vallès

18.745,18

Santa Coloma de G.

17.489,76

37

   

Badia del Vallès

16.627,52

Fuente: Elaboración propia.

 

La ordenación de los municipios según la Renta Salarial no ha experimentado grandes cambios entre ambos periodos. A pesar de la reducción generalizada y de la media, los municipios con Renta Salarial superior en 1995 mantienen exactamente la posición en 2002. En la figura 3 se puede apreciar que estos municipios, excepto Sant Just Desvern, ocupan posiciones periféricas en el AMB. Son municipios caracterizados básicamente por el uso residencial, en algunos casos con viviendas muy dispersas en urbanizaciones. La misma estabilidad puede observarse también en el límite inferior. Los municipios de Badia, Santa Coloma de Gramenet, Sant Adrià del Besòs y El Prat de Llobregat ocupan las últimas posiciones en ambos periodos. En el mapa, puede apreciarse que los municipios con Renta Salarial menor se sitúan al suroeste y al noreste del municipio de Barcelona y en zonas limítrofes. En la parte inferior de la figura 3 puede apreciarse además que esas dos zonas son las que concentran las secciones censales con menor Renta Salarial. Por otro lado, puede apreciarse que los seis municipios más poblados exceptuando Barcelona, se sitúan por debajo de la media en ambos periodos.

 

municipis_27_3_09

 

rendamunicipis02_27-3-09

a) AMB 1995 (Municipios).

 

b) AMB 2002 (Municipios).

     

rendaseccions96_27-3-09

 

rendaseccions02_27-3-09

c)  AMB 1995  (Secciones Censales).

 

d)  BMA 2002 ( Secciones Censales).


Figura 3. Renta Salarial por ocupado.
Fuente: Elaboración propia.

 

Pautas de distribución espacial

En la distribución espacial de una variable económica como la renta salarial existen dos  efectos que deben tomarse en consideración; la autocorrelación espacial y la heterogeneidad espacial. La primera permite contrastar si la distribución de la renta salarial es aleatoria o si, por el contrario, hay un patrón de dependencia espacial entre zonas vecinas. En este apartado investigamos la existencia de estos patrones espaciales en la base de datos creada. El objetivo es determinar si la proximidad implica también relaciones entre las rentas salariales. Si las zonas de una determinada renta salarial tienden a estar próximas, hablamos de autocorrelación positiva. En caso contrario hablamos de autocorrelación negativa. El interés del análisis es detectar zonas potencialmente conflictivas; aquellas en las que los niveles de renta salarial son muy diferentes a pesar de su proximidad. Además, tiene interés analizar la evolución temporal de esas diferencias y el efecto que las intervenciones públicas pueden tener.

Diversos índices pueden usarse para medir la autocorrelación espacial (Cliff y Ord, 1973, Anselin, 1988, Getis y Ord, 2003). La medida más común es el estadístico I de Moran (Moran, 1948). Formalmente, la I de Moran para N observaciones de una variable se obtiene como:

Donde μ es la media de la variable y, cij son los elementos de la matriz espacial de ponderaciones y S0 es un factor de normalización igual a la suma de los elementos de la matriz. Hemos utilizado el paquete estadístico SPDEP R-package  (Bivand, 2002, 2004) para realizar los cálculos.

Un problema común a los índices que miden la autocorrelación espacial es establecer la matriz de ponderaciones adecuada para la estructura espacial considerada (Anselin, 1988). La matriz especifica los vínculos espaciales particulares entre las unidades. En la literatura se han propuesto diferentes aproximaciones (Dacey, 1969; Cliff y Ord, 1973; Bodson y Peeters, 1975; Anselin, 1980; Case et al., 1993). Los tres criterios más utilizados son el de conectividad binaria, el de la menor distancia y el de distancia entre centroides. Dada la complejidad de las interacciones entre unidades espaciales, es aconsejable contrastar estrategias alternativas. En este trabajo se han utilizado matrices de ponderación espacial basadas en el criterio rook de conectividad binaria y en el de menor distancia. El primero se refiere al número de secciones censales contiguas a una dada y permite considerar varios órdenes de contigüidad. Así, el orden 1 implica que sólo se consideran las estrictamente contiguas. El orden 2 implicaría considerar también las contiguas a las contiguas.

En cuanto al segundo criterio, aplicamos las k zonas más próximas (KNN). Es una definición de vecindad basada en la distancia, donde k se refiere al número de vecinos de una localización. Se mide por la distancia entre un punto y los puntos de los k vecinos más próximos, es decir, la distancia entre los puntos centrales de los polígonos. Se utiliza a menudo, cuando, como es el caso de las secciones censales, las áreas tienen tamaños diferentes. Sirve para garantizar que para cada unidad se considera el mismo número de unidades vecinas, independientemente de la superficie. Hemos utilizado dos alternativas: utilizar KNN con cuatro y con diez zonas vecinas. El cuadro 4 muestra las características de las cuatro matrices de ponderación espacial e ilustra las diferencias existentes entre los diferentes criterios.

 

Cuadro 4.
Características de la matriz de ponderaciones espaciales. 2001/02.

Características

Rook
Orden 1

Rook
Orden 4

4-Zonas más
cercanas

10- Zonas más
cercanas

Número de secciones

2 531

2 531

2 531

2 531

Número de enlaces no nulos

73 069

105 778

10 124

25 310

Porcentaje de ponderaciones no nulas

0.20

1.65

0.15

0.39

Número medio de enlaces

5.24

41.80

4

10

Fuente: elaboración propia.

 

En el cuadro 5 se presenta una selección de los resultados que permite analizar la dependencia espacial y su evolución entre ambos periodos. El cuadro contiene los índices correspondientes al criterio Rook de orden 1 y al de las cuatro zonas de menor distancia para ambos periodos.

 

Cuadro 5.
Estadístico I de Moran (Renta salarial por ocupado).

Orden

Rook
(1995/96)

KNN-4
(1995/96)

Rook
(2001/02)

KNN-4
(2001/02)

1

0.4592**
(37.01)

0.4749**
(36.55)

0.6805**
(54.28)

0.6656**
(50.56)

2

0.3482**
(44.13)

0.3769**
(36.77)

0.5816*
(73.08)

0.5948**
(56.87)

3

0.2907**
(50.17)

0.3107**
(34.64)

0.4937**
(84.51)

0.5480**
(60.28)

4

0.2214**
(48.42)

0.2797**
(33.47)

0.4104**
(88.84)

0.4989**
(59.32)

Nota: ** Significativo al 0.1%. Valores Z entre paréntesis.
Fuente: elaboración propia.

 

El cuadro 5 muestra que hay autocorrelación positiva para el conjunto de la AMB. Esta dependencia espacial no se limita a las unidades más próximas; se extiende también hasta el cuarto orden de proximidad. Aunque los valores estimados son diferentes, se obtiene el mismo resultado mediante los dos criterios. Por otro lado, se constata que la dependencia espacial ha aumentado entre ambos periodos.

Los resultados presentados apuntan al proceso de suburbanización que ha experimentado la AMB, es decir, a la movilidad de las familias que ha tendido a alejar a las familias de las zonas ya urbanizadas para desplazarse a zonas de nueva urbanización. La escasez de suelo para nuevas construcciones ha impulsado el desplazamiento hacia zonas más alejadas del centro. Se plantean dos posibles explicaciones. Por un lado, podría ser que la movilidad de las familias con rentas salariales situadas en los extremos de la distribución haya provocado que las secciones censales de cada agrupación hayan aproximado los niveles de renta salarial. Por otro lado, el resultado puede deberse a la emergencia de nuevas agrupaciones o clusters. El estadístico I de Moran es una medida global de autocorrelación espacial que no permite distinguir entre ambas explicaciones. Además, como medida global ignora localizaciones atípicas. Por ello es razonable contrastar si la magnitud de la autocorrelación espacial de la renta salarial no es uniforme en toda el área; que haya zonas con valores elevados y zonas con valores reducidos.

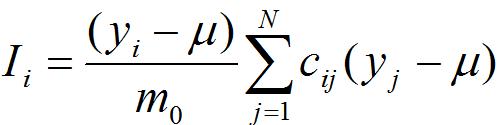
Para analizar esta cuestión utilizamos Indicadores Locales de Autocorrelación Espacial (LISA). Siguiendo a Anselin (1995), los indicadores LISA detectan patrones locales de autocorrelación espacial, asociaciones importantes en torno a una localización individual y zonas aisladas o valores atípicos. Su cálculo permite afinar el análisis de los patrones espaciales de la distribución. El estadístico I local de Moran se define como:

El sumatorio considera sólo las j unidades más próximas a la unidad i-ésima. Para estos cálculos hemos utilizado el software GeoDa (Anselin, 2003) debido a la facilidad para generar mapas que visualicen la autocorrelación espacial local.

Los valores Ii obtenidos permiten caracterizar cuatro tipos de zonas o agrupaciones. Las secciones censales con autocorrelación positiva pueden dividirse en dos grupos: secciones de renta salarial elevada con secciones vecinas con renta salarial elevada (llamadas HH, High-High) o secciones de renta salarial baja rodeadas de secciones con renta salarial baja (llamadas LL, Low-Low). Si la autocorrelación es negativa, aparecen secciones de renta salarial elevada rodeadas de secciones de renta salarial reducida (llamadas HL, High-Low) y secciones de renta salarial reducida rodeadas de secciones con renta salarial elevada (LH, Low-High). Cada uno de estos tipos identifica pautas de similitud y disimilitud espacial.

Las figuras 4, 5 y 6 presentan los mapas de indicadores locales para el AMB, Barcelona, L’Hospitalet de Llobregat, Badalona y Santa Coloma de Gramenet. Para el conjunto de la AMB, se observa una mayor extensión de zonas con valores HH en 2002. Lo mismo ocurre con las zonas LL, aunque la ampliación es menor. Este resultado apunta a un proceso de polarización espacial de la renta salarial por el que se refuerza la existencia de zonas muy localizadas que podríamos caracterizar de “ricas” y “pobres”, separadas espacialmente. Para el municipio de Barcelona, este proceso aparece muy claramente: la zona de elevados ingresos está concentrada en la zona este del municipio y es más extensa en 2002. En este periodo se configuran dos zonas de bajos ingresos, situadas claramente al Noreste y al suroeste del municipio. Las zonas con autocorrelación local negativa casi desaparecen en el segundo periodo. En el municipio de L’Hospitalet de Llobregat se aprecia un fenómeno similar en referencia a las rentas altas, que se extienden y se concentran en el Este y el Oeste del término. En Badalona, se extiende la zona de autocorrelación positiva HH en la zona centro del municipio. También se aprecia una extensión de zonas con autocorrelación negativa, LH, en zonas periféricas del norte del municipio. En Santa Coloma de Gramenet se puede apreciar que la autocorrelación espacial es relativamente limitada en ambos periodos. Se consolida en 2002 una zona con autocorrelación positiva LL en el norte del municipio.

El cuadro 6 presenta la superficie y el número de secciones según las categorías del indicador LISA para el total del AMB y para el municipio de Barcelona. Se observa una clara extensión de la superficie y del número de secciones censales con autocorrelación positiva, valores HH y LL. También puede apreciarse una reducción de la superficie y el número de secciones con valores LH y HL.

 

Cuadro 6.
Superficie y número de secciones según valor de LISA.

Tipo de zona

AMB (1995/96)
Superficie  (ha) Nº Secciones

AMB (2001/02)
Superficie  (ha) Nº Secciones

Barcelona (1995/96)
Superficie  (ha)
Nº Secciones

Barcelona (2001/02)
Superficie  (ha)
Nº Secciones

HH

16054.96
228
18100.74
317
1120.94
142
1850.62
207

LL

4854.28
254
5476.36
435
1332.55
170
3374.36
267

LH

2550.18
31
2297.50
16
366.08
17
11.97
4

HL

1078.70
40
147.54
26
844.62
27
77.05
12

 

Estos resultados proporcionan evidencia empírica sobre el proceso de polarización de las zonas del AMB en el periodo.

 

lisaamb_v1

 

lisaamb01_v1

a) LISA  AMB 1995.

 

b) LISA  AMB 2002.

     

lisabarcelona96_v1

 

lisa_barcelona02_v1

c)  LISA Barcelona 1995.

 

d) LISA Barcelona 2002.


Figura 4. Mapas de I Local (I).

 

lisahospitalet96_v1

 

lisa_hospitalet02_v1

a) LISA  L’Hospitalet de Llobregat 1995.

 

b) LISA  L’Hospitalet de Llobregat 2002.

     

lisabadalona96_v1

 

lisa_badalona02_v1

c) LISA Badalona 1995.

 

d) LISA Badalona 2002.


Figura 5. Mapas de I Local (II).

 

lisasantacoloma96_v1

 

lisa_santacoloma02_v1

a) LISA  Santa Coloma de Gramenet 1995.

 

b) LISA  Santa Coloma de Gramenet 2002.


Figura 6. Mapas de I Local (III).

 

La desigualdad espacial de la Renta Salarial

En relación a la heterogeneidad espacial, la Renta salarial por ocupado permite analizar las diferencias existentes entre las secciones censales del AMB y en los municipios mediante el cálculo de la desigualdad. Un índice de desigualdad es una representación numérica escalar de las diferencias entre individuos sobre alguna variable relacionada con el bienestar. Su cálculo requiere establecer las unidades individuales con las que se trabaja, la variable o atributo medido para cada individuo y el nivel de agregación de las unidades. En este caso, las unidades son las secciones censales. La variable es la Renta Salarial media por ocupado. Consideramos dos métodos de agregación: considerar todas las secciones censales conjuntamente y agruparlas por municipios. Dado que las secciones censales son diferentes, las hemos ponderado por el número de ocupados. Este doble nivel de agregación permite descomponer la desigualdad total en sus componentes “inter-municipal” e “intra-municipal”.

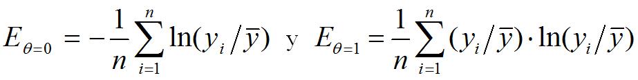
En la literatura sobre medidas de desigualdad existen tres enfoques[13]: El normativo, el de la teoría de la información y el Estructural o Positivo. Desde cada enfoque se han propuesto diversos índices. Los de Atkinson, Dalton, Theil y Gini son quizás los más conocidos y utilizados. De la amplia variedad existente hemos escogido el Índice General de Entropía (IGE) por varias razones. En primer lugar, cumple una serie de axiomas que el enfoque estructural considera imprescindibles para garantizar medidas robustas. Está relacionado con otros índices; dando diferentes valores a un parámetro obtenemos, fácilmente otros índices. Genera cierto consenso en la literatura. Por último, es un índice descomponible, lo que se ajusta al propósito de analizar la heterogeneidad de los municipios. La expresión de los IGE es[14]:

En el término entre paréntesis, yi es la renta salarial media de cada sección censal e es la renta salarial media de la AMB. El parámetro w establece el peso de cada sección censal para el cálculo de las diferencias entre secciones. Se ha ponderado por el número de ocupados de cada sección censal. El número de secciones consideradas en cada agrupación (el AMB para el total y el municipio en cada caso) es n y θ es un parámetro que permite variar el peso que se le atribuye a cada parte de la distribución. Puede tomar cualquier valor positivo, negativo o nulo. En función del valor del parámetro, se obtienen otros índices. Para θ=1 se obtiene el índice de Theil. Para θ=2 se obtiene un índice ordinalmente equivalente al de Hefindahl. Para valores negativos se obtienen índices ordinalmente equivalentes a los de Dalton y Atkinson. Con objeto de comprobar que los resultados presentados son robustos y siguiendo la recomendación de Figini (1998), hemos calculado los valores del IGE para trece valores del parámetro θ; todos los comprendidos entre 3 y -3 variando a intervalos de media unidad.

El cuadro 7 presenta los índices de Entropía para el conjunto de las secciones censales de la AMB, para ambos periodos y considerando tres valores del parámetro. También presenta la descomposición del índice en sus componentes inter-municipal e intra-municipal. Para interpretar los resultados debe tenerse en cuenta que para muestras grandes el índice varía entre 0 e infinito. Valores mayores implican mayor desigualdad.

 

Cuadro 7.
Índices de Entropía. Renta Salarial por ocupado.

 

 

1995

2002

1995

2002

1995

2002

Total

0.0082

0.0118

0.0087

0.0129

0.0090

0.0135

Inter.

0.0037

0.0046

0.0036

0.0046

0.0035

0.0046

 

(44.48%)

(39.33%)

(40.82%)

(35.89%)

(39.27%)

(34.37%)

Intra

0.0046

0.0072

0.0052

0.0082

0.0055

0.0089

 

(55.52%)

(60.67%)

(59.18%)

(64.11%)

(60.73%)

(65.63%)

Fuente: Elaboración propia.

 

El primer resultado puede apreciarse en la primera fila. La desigualdad de la Renta Salarial por ocupado entre las secciones censales del AMB ha aumentado independientemente del parámetro considerado. Aunque los valores del índice son reducidos, los aumentos son superiores al 40%. Un segundo aspecto a destacar es que el componente intra-municipal es, para cualquier valor del parámetro, el más importante, presentando valores comprendidos entre el 55% y el 65%. Obsérvese también que este componente ha aumentado. Por tanto, el componente principal de la desigualdad se sitúa en el interior de los municipios, que se han  hecho más heterogéneos. El componente Inter-municipal varía entre el 34% y el 44% y puede apreciarse, para cualquier valor del parámetro, una reducción entre los dos periodos.

El cuadro 8 presenta los índices de desigualdad de los 24 municipios más poblados y que tienen más de 7 secciones censales. La tabla incluye también el número de secciones en cada periodo.

 

Cuadro 8.
Índices de Entropía por municipios: Renta Salarial por ocupado.

 

Municipio (n1995, n2002)

1995

2002

1995

2002

1995

2002

Barcelona (1582, 1491)

0.0068

0.0119

0.0070

0.0122

0.0071

0.0125

L’Hospitalet Ll. (226, 226)

0.0015

0.0018

0.0016

0.0019

0.0016

0.0019

Badalona (155, 157)

0.0045

0.0061

0.0051

0.0071

0.0053

0.0075

Santa Coloma G. (99, 99)

0.0010

0.0012

0.0011

0.0012

0.0011

0.0013

Cornellà Ll. (70, 70)

0.0019

0.0027

0.0020

0.0027

0.0020

0.0027

Sant Boi Ll. (49, 51)

0.0014

0.0022

0.0014

0.0023

0.0014

0.0023

El Prat Ll. (37, 36)

0.0035

0.0029

0.0034

0.0028

0.0033

0.0028

Viladecans (35, 41)

0.0013

0.0019

0.0013

0.0019

0.0013

0.0019

Sant Cugat V. (30, 30)

0.0075

0.0097

0.0073

0.0090

0.0072

0.0090

Esplugues Ll. (29, 29)

0.0063

0.0087

0.0071

0.0100

0.0075

0.0107

Cerdanyola V. (28, 29)

0.0042

0.0061

0.0048

0.0066

0.0051

0.0069

Sant Feliu Ll. (26, 29)

0.0028

0.0067

0.0029

0.0069

0.0029

0.0070

Gavà (25, 25)

0.0046

0.0051

0.0051

0.0055

0.0053

0.0057

Sant Adrià B. (23, 23)

0.0036

0.0036

0.0035

0.0035

0.0035

0.0034

Castelldefels (22, 26)

0.0084

0.0107

0.0082

0.0098

0.0082

0.0097

Barberà V. (20, 20)

0.0018

0.0027

0.0019

0.0027

0.0019

0.0027

Sant Vicenç H. (19, 20)

0.0013

0.0015

0.0013

0.0015

0.0013

0.0015

Sant Joan Despí (18, 20)

0.0074

0.0105

0.0083

0.0110

0.0087

0.0113

Ripollet (16, 16)

0.0007

0.0014

0.0007

0.0014

0.0008

0.0014

Montcada i Reixac (15, 15)

0.0025

0.0017

0.0024

0.0017

0.0024

0.0017

Molins de Rei (12, 12)

0.0035

0.0031

0.0034

0.0031

0.0033

0.0031

Badia V. (12, 12)

0.0002

0.0004

0.0002

0.0004

0.0002

0.0004

Sant Just Desvern (8, 8)

0.0034

0.0026

0.0030

0.0024

0.0030

0.0023

Sant Andreu B. (7, 8)

0.0004

0.0005

0.0004

0.0004

0.0004

0.0004

Fuente: Elaboración propia.

 

Considerando θ=1, se observa un aumento generalizado de la desigualdad municipal. De los 24 municipios considerados, el nivel de desigualdad se ha mantenido en dos (Sant Adrià del Besòs y Sant Andreu de la Barca) y se ha reducido sólo en cuatro (El Prat de Llobregat, Montcada i Reixac, Molins de Rei y Sant Just Desvern). En 1995, los municipios con mayor desigualdad son Sant Joan Despí, Castelldefels, Sant Cugat del Vallés, Esplugues de Llobregat y Barcelona. Los mismos municipios ocupan también las primeras posiciones en 2002. El importante aumento del municipio de Esplugues de Llobregat, lo sitúa en posiciones destacadas en este periodo. En el otro extremo se sitúan, en 1995, los municipios de Badia, Sant Andreu de la Barca, Ripollet y Santa Coloma de Gramenet. Los mismos municipios mantienen las posiciones en 2002, aunque han experimentado un aumento de la desigualdad. A la vista de esta evolución, concluimos que en un contexto general de aumento de la desigualdad, puede apreciarse una elevada estabilidad en las posiciones relativas de los municipios. Una interesante cuestión pendiente es analizar esta evolución de la desigualdad municipal en relación al fuerte desarrollo urbano del periodo.


Conclusiones

En este trabajo hemos presentado un nuevo enfoque para aproximar las condiciones económicas de los ciudadanos teniendo en cuenta su localización. Para ello se mide la Renta Salarial por ocupado por secciones censales para los municipios del AMB. Como en cualquier estimación del bienestar económico para áreas pequeñas, la obtención de las variables requiere hipótesis y operaciones estadísticas siempre discutibles. La gran ventaja del método presentado respecto a las estimaciones existentes es el grado de detalle espacial que permite el procedimiento. Sólo existe para el municipio de Barcelona una estimación de bienestar económico a un nivel de desagregación como el de las secciones censales. La base de datos creada permite describir la distribución espacial de la Renta Salarial por ocupado, analizar las pautas de la distribución mediante el cálculo de indicadores de autocorrelación y calcular índices de desigualdad, descomponiendo sus componentes inter e intra-municipales. Además, la disponibilidad de datos para dos periodos posibilita analizar la evolución temporal.

 

Notas

[1] La publicación del Ayuntamiento de Barcelona (2007) contiene una revisión de trabajos.

[2] La información sobre el indicador se encuentra en: <http://www.madrid.org/iestadis/gazeta/publicaciones/irf00cd.htm> [Novembre 2011] Lamentablemente, no es posible conocer la metodología para la elaboración del indicador. Moreno et al. (2003) presentan un análisis descriptivo.

[3] En los estudios del Ayuntamiento de Barcelona (1991, 1999), también se utiliza la sección censal, pero la metodología para la obtención del índice de capacidad económica es diferente.

[4] Hentschel et.al.(2000) presentan una metodología similar para elaborar mapas de pobreza en Ecuador.

[5] Chasco, C. (2003) proporciona una visión general.

[6]Accesible en: <http://www.catalunyacaixa.com/Portal/ca/Particulares/Anuario_Comarcal+Comarcal+2010?subtipus=6> [Novembre 2011]

[7] En 2006 el Ayuntamiento de Barcelona aprobó una nueva división en 73 barrios. La presentación de los resultados en 2008 y 2009, adaptada a esta nueva división, se encuentra en la revista Barcelona Economia nos 71 y 74, respectivamente. Todas las publicaciones son accesibles en: <http://w3.bcn.es/V38/Home/V38HomeLinkPl/0,3526,57975652_57984660_1,00.html> [Novembre 2011].

[8] La clasificación de sectores económicos y profesiones utilizadas por el Padrón y el Censo no son las mismas que las utilizadas en la EES. En el anexo se expone el criterio para enlazar las clasificaciones.

[9] Para el Padrón de 1996, el Idescat (Institut d’Estadística de Catalunya), realizó una operación estadística de ampliación respecto a los datos disponibles en el INE. Los datos se han obtenido de la publicación correspondiente: IDESCAT (1997): Estadística de Població. 1996, vols. 8, 9,10 y 11.

[10] En 1998 La Palma de Cervelló se segregó del municipio de Cervelló, dando lugar a un nuevo municipio.

[11] Roach (2006), Bernanke (2007).

[12] Para una panorámica general, Machin, (2008)

[13] Los lectores interesados pueden consultar, por ejemplo, Cowell (2009)

[14] En los casos q=0 y q=1, deben utilizarse, respectivamente, las formulaciones:
 

 

Bibliografía

Ajuntament de Barcelona. Caixa d’Estalvis i Pensions de Barcelona. Índex de capacitat econòmica familiar a la ciutat de Barcelona. 1991.

Ajuntament de Barcelona. Índex de capacitat econòmica familiar a la ciutat de Barcelona II. 1999.

Ajuntament de Barcelona. Distribució territorial de la Renda Familiar a Barcelona. 2007.

AJUNTAMENT DE BARCELONA. Distribució Territorial de la Renda Familiar per càpita a Barcelona (2008). Barcelona Economia, Noviembre 2009, nº 71, p. 80-87.

AJUNTAMENT DE BARCELONA. Distribució Territorial de la RFD per càpita a Barcelona (2009). Barcelona Economia, Noviembre 2010, nº 74, p. 78-80.

Anselin, L. Estimation methods for spatial autoregressive structures. Regional Science Dissertation and Monograph Series. New York: Ithaca, 1980.

Anselin, L. Spatial econometrics: methods and models. Dordrecht: Kluwer Academic Publisher, 1988.

Anselin, L. Local indicators of spatial Association-LISA. Geographical Analysis, 1995, vol. 27, p. 93-115.

Anselin, L. GeoDa 0.9 User's Guide. Spatial Analysis Laboratory, University of Illinos, Urbana-Champaign, IL, 2003.

Arcarons, J. Luria, J. Tarrach, A. Poveda, C. Estimació de l’indicador de Renda Familiar Disponible de les Comarques i els Municipis de Catalunya. 1989-1995. Barcelona: Direcció General de Programació Econòmica, Generalitat de Catalunya, 1998.

Atkinson, A.B. Bourguignon, F. Handbook of Income Distribution, Amsterdam: Elsevier, 2000.

BERNANKE,B. The Level and Distribution of Economic Well-Being. Omaha,  2007. <http://www.federalreserve.gov/newsevents/speech/bernanke20070206a.htm>. [Noviembre 2010].

Bivand, R.S. Spatial econometrics functions in R: classes and methods. Journal of Geographical System, 2002, vol. 4, p. 405-421.

Bivand, R.S. SPDEP: Spatial dependence: Weighting schemes, statistics and models. 2004. <http://cran.r-project.org/src/contrib/spdep_0.2-17.tar.gz>.

Bodson, P. Peeters, D.  Estimation of the coefficients of a linear regression in the presence of spatial autocorrelation. An application to a Belgian labour-demand function. Environment and Planning A, 1975, vol. 7, p. 455-472.

Case, A. Rosen H. Hines, J. Budget spillovers and fiscal policy interdependence: evidence from the states. Journal of Public Economics, 1993, vol. 52, p.285-307.

CHASCO, C. Predicción - Extrapolación especial de datos microterritoriales. Tesis Doctoral. Madrid: Consejería de Economía e Innovación Tecnológica. Comunidad de Madrid, 2003.

Cliff, A. Ord, J.K. Spatial autocorrelation. London: Pion, 1973.

COMISIÓN EUROPEA. Employment in Europe 2007. Luxemburg: Office for Official Publications of the European Communities. 2007.

Cowell, F. Measuring Inequality. LSE Perspectives in Economic Analysis. Oxford: University Press. 2009. <http://darp.lse.ac.uk/papersdb/Cowell_measuringinequality3.pdf>. [Noviembre 2010].

Cowell, F. Measurement of Inequality. In ATKINSON, A.B., BOURGUINGNON, F. 2000.

Dacey, M.F.  Similarities in the area distributions of houses in Japan and Puerto Rico. Area, 1969, vol. 3, p. 33-57.

Figini, P. Measuring Inequality: on the correlation between indices. Trinity Economic Paper Series, 1998, Technical paper nº 98/7.

Getis A. Ord, J.K. The analysis of spatial association by use of distance statistics. Geographical Analysis, 1992, vol. 24, p. 189-206.

HENTSCHEL, J. LANJOUW, P. POGGI, J. Combining Census and Survey Data to Trace the Spatial Dimmensions of Poverty: A Case Study of Ecuador. The World Bank Economic Review, 2000, 14 (1).

MACHIN, S. An appraisal or economic research on changes in wage inequality. LABOUR 2008. 22 (Special Issue), p. 7-26.

Moran, P. The interpretation of statistical maps. Journal of the Royal Statistical Society B, 1948, vol. 10, p. 243-251.

MORENO JIMÉNEZ, A. (Dir.). La distribución espacial de la renta en la Comunidad de Madrid. Análisis y aplicaciones. Madrid: Instituto de Estadística, Consejería de Economía e Innovación Tecnológica. 2003. <http://www.madrid.org/iestadis/gazeta/publicaciones/iesparentano.htm>. [Noviembre 2011].

ROACH, S.  Labor versus Capital. Morgan Stanley Global Economic Forum, 2006. <http://www.morganstanley.com/views/gef/archive/2006/20061023-Mon.html>. [Noviembre 2010].


ANEXO

Cuadro 1.
Correspondencia profesiones del censo y ocupaciones CNO 94.

 

Profesiones del censo.

 

ocupaciones CNO 94

1

Personal directivo de les empresas y administraciones públicas

1

Directores

   

2

profesiones 2º ciclo

2

Técnicos y profesionales, científicos i intelectuales

2

profesiones 1º ciclo

3

Técnicos y profesionales de soporte

3

técnicos soporte

4

Empleados administrativos

4

administración

5

Trabajadores de servicios y vendedores de comercio

5

servicios, seguridad y comercio

6

Trabajadores calificados en actividades agrarias y pesqueras

   

6

Artesanos y trabajadores cualificados de las industrias y la construcción

6

cualificados

7

Operadores de instalaciones, maquinaria y montadores

7

operadores maquinaria

8

Trabajadores no cualificados

8

no cualificados servicios

   

8

peones

 

Cuadro 2.
Correspondencia Ramas de actividad del censo y CNAE93.

Ramas de Actividad del censo

CNAE93

Agricultura, ganadería, caza y selvicultura

No disponible

Pesca

No disponible

Industrias extractivas

C

Industrias manufactureras

D

Producción i distribución de energía eléctrica,  gas y agua

E

Construcción

F

Comercio; reparación de vehículos de motor, motocicletas y ciclomotores,
y artículos personales y de uso doméstico

G

Hostelería

H

Transporte, almacenamiento y comunicaciones

I

Mediación financiera

J

Actividades inmobiliarias y de alquiler; servicios empresariales

K

Administración pública, defensa y Seguridad Social

No disponible

Educación

M*

Actividades sanitarias y veterinarias; servicios sociales

N*

Otras actividades sociales y de servicios prestados a la comunidad; servicios personales.

O*

Hogares que ocupan personal doméstico

No disponible

Organismos extraterritoriales

No disponible

* Sectores analizados en la EES02 pero no en la EES95. Para homogeneizar los datos no hemos utilizado esta información salarial.

 


© Copyright Rafa Madariaga, Joan Carles Martori y Ramon Oller, 2012.
© Copyright Scripta Nova, 2012.

 

Edición electrónica del texto realizada por Jenniffer Thiers.

 

Ficha bibliográfica:

MADARIAGA, Rafa; Joan Carles MARTORI; y Ramon OLLER. Distribución espacial y desigualdad de la renta salarial en el Área Metropolitana de Barcelona. Scripta Nova. Revista Electrónica de Geografía y Ciencias Sociales. [En línea]. Barcelona: Universidad de Barcelona, 20 de junio de 2012, vol. XVI, nº 405. <http://www.ub.es/geocrit/sn/sn-405.htm>. [ISSN: 1138-9788].

Índice de Scripta Nova