Efficient biased transformed kernel estimation of extreme quantiles in heavy tailed distributions
Catalina Bolancé, Ramon Alemany and Montserrat Guillen
We propose a biased transformed kernel estimation methodology that improves exiting kernel estimators for extreme quantiles of heavy tailed distributions. We find the asymptotic mean squared error of the new estimator and additional results showing that a lognormal first transformation can be suitable in most cases. We give a simple expression for the choice of the optimal bandwidth. A similar procedure is presented for quantiles of truncated distributions. In a simulation study, we study a variety of nonparametric quantile estimators. We apply these results to the analysis of quantiles for the age-at-death distribution of the population in Spain.
The complete paper is now submitted
The complete paper is now submitted
- Bolancé, C., Alemany, R. and Guillen, M. (2018). Efficient biased transformed kernel estimation of extreme quantiles in heavy tailed distributions.
DATA DESCRIPTION
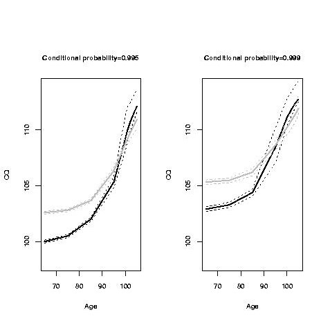
We analyse the longevity of the population over 65 years in Spain. Accurate estimation of the age-at-death distribution has significant economic consequences for planning the sustainability of public and private pensions, and other health and long-term care systems. For the population over 65, we fit the distribution of the age-at-death in months and we estimate extreme quantiles and conditional extreme quantiles with $p=0.995$ and $p=0.999$. The data were provided by the Spanish National Institute of Statistics (INE-Instituto Nacional de Estad\'istica) and contain information about the gender, the year and month of birth and the year and month of death of the population over 65 years that died in 2011 in Spain. The information available allows us to obtain the age-at-death in months but the results are shown in years given that they are easier to interpret.
Methodology
The results shown in this section are obtained using the AD2R estimation method and the Champernowne cdf for the first transformation.
Age-at-death conditional quantiles
Conditional quantiles of the age at death distribution of the population in Spain (2011). The vertical axis is the age-at-death quantile conditional on having survived a given age (horizontal axis). The BTKE for p_a=0.995 (left) and p_a=0.999 (right) and its corresponding bootstrap intervals at 95% confidence level (dashed lines) are shown in black (men) and grey (women).


